電機噪聲分析與控製
發布時間:2021-09-03 責任編輯:wenwei
【導讀】電機噪聲主要來自三個方麵:空氣噪聲、機械噪聲和電磁噪聲,但有時也會將電路內部噪聲列入噪聲源之一。電路內部噪聲主要來自電路自勵、電源哼聲以及電路元件中的電子流起伏變化和自由電子的熱運動。
1. 空氣噪聲

空氣噪聲主要由於風扇轉動,使空氣流動、撞擊、摩擦而產生。噪聲大小決定於風扇大小、形狀、電機轉速高低和風阻風路等情況。
空氣噪聲的基本頻率
其中,N——風扇葉片數;n——電機轉速。
風扇直徑越大,噪聲越大,減小風扇直徑10%,可以減小噪聲2—3dB。但隨之冷量也會減少。當風葉邊緣與通風室的間隙過小,就會產生笛聲(似吹笛聲)。如ru果guo風feng葉ye形xing狀zhuang與yu風feng扇shan的de結jie構gou不bu合he理li,造zao成cheng渦wo流liu,同tong樣yang也ye會hui產chan生sheng噪zao聲sheng。由you於yu風feng扇shan剛gang度du不bu夠gou,受shou氣qi流liu撞zhuang擊ji時shi發fa生sheng振zhen動dong,也ye會hui增zeng加jia噪zao聲sheng。此ci外wai,轉zhuan於yu有you凸tu出chu部bu分fen,也ye會hui引yin起qi噪zao聲sheng。

2. 機械噪聲
空氣噪聲主要由於風扇轉動,使空氣流動、撞擊、摩擦而產生。噪聲大小決定於風扇大小、形狀、電機轉速高低和風阻風路等情況。
空氣噪聲的基本頻率
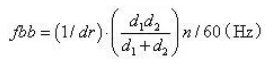
則滾珠的旋轉頻率

式中:
dr——滾珠直徑(mm)
d1——軸承內圈滾道的直徑(mm)
d2——軸承外圈滾道的直徑(mm)
保持架的旋轉頻率

其中,N——風扇葉片數;n——電機轉速(RPM)。
而軸承內外圈滾道中的波紋、凹坑、超糙度是引起噪聲的主要原因。
shiyanbiaoming,zaoshengshengyajiyugundongmiandebowengaoduhebowenshudechengjichengzhengbi。ciwai,jingxiangyouxidedaxiao,yeyingxiangzaosheng,jianxiaojingxiangyouxi,kejiangdizaosheng,danshijingxiangyouxixiaodezhouchengyaoqiupeiyongzailiangzhouchengshitongxindugaodejikeheduangai,bingqieduizhuanzitongzhoududeyaoqiutigao。
tongshirunhuazhizhiliangdeyoulieyeshiyingxiangzaoshengdezhuyaoyuanyin。zaoshengyurunhuazhidezhanduyouguan,shiyanbiaoming,zaoshengsuizhanduzengdaerjianxiao,danzhanbianzengdadaoyidingshuzhihou,zaoshengfanerzengda,zheshiyinweiyoumoduizhendongyouyuanchongzuoyong,zhanduda、噪聲低,但當粘度過大,轉動時出現攪拌聲。
安(an)裝(zhuang)誤(wu)差(cha)對(dui)軸(zhou)承(cheng)噪(zao)聲(sheng)的(de)影(ying)響(xiang)。軸(zhou)承(cheng)的(de)安(an)裝(zhuang)誤(wu)差(cha)超(chao)過(guo)某(mou)一(yi)臨(lin)界(jie)值(zhi)會(hui)使(shi)軸(zhou)承(cheng)噪(zao)聲(sheng)急(ji)劇(ju)增(zeng)大(da),而(er)臨(lin)界(jie)角(jiao)隨(sui)軸(zhou)承(cheng)徑(jing)向(xiang)遊(you)隙(xi)減(jian)小(xiao)而(er)減(jian)小(xiao)。圖(tu)一(yi)表(biao)示(shi)某(mou)單(dan)列(lie)內(nei)心(xin)軸(zhou)承(cheng)在(zai)不(bu)同(tong)徑(jing)向(xiang)遊(you)隙(xi)時(shi)安(an)裝(zhuang)誤(wu)差(cha)角(jiao)對(dui)噪(zao)聲(sheng)的(de)關(guan)係(xi)。

3. 電磁噪聲

作用在電機定、zhuanzikongqixizhongdejiaobiandiancilihuishidianjidingzhuanzichanshengzhendongjizaosheng。youyuqixicichangbujinyoujiboerqiehaiyouyixiliegaocixiebocunzai,zhexiecichangxianghuzuoyongjiangchanshengzhouqixingdezuoyongli,jibojigaocixiebodiancilijunhuiyinqizhendongjizaosheng。
電磁聲頻率分布大多在100-4000Hz之間。振動及噪聲強度的大小與電磁力的大小和定子、轉zhuan子zi剛gang度du有you關guan。當dang激ji發fa振zhen動dong的de電dian磁ci力li與yu振zhen動dong的de零ling部bu件jian的de自zi振zhen頻pin率lv相xiang吻wen合he時shi,將jiang會hui產chan生sheng共gong振zhen,振zhen動dong及ji噪zao聲sheng也ye將jiang顯xian著zhu增zeng加jia。電dian磁ci力li有you徑jing向xiang分fen量liang和he切qie向xiang分fen量liang,電dian磁ci力li徑jing向xiang分fen量liang在zai引yin起qi電dian機ji振zhen動dong及ji噪zao聲sheng方fang麵mian起qi主zhu要yao作zuo用yong,它ta使shi定ding子zi鐵tie心xin產chan生sheng徑jing向xiang振zhen動dong,徑jing向xiang振zhen動dong產chan生sheng的de噪zao聲sheng為wei電dian機ji電dian磁ci噪zao聲sheng的de主zhu要yao成cheng分fen。在zai采cai用yong單dan數shu槽cao轉zhuan子zi衝chong片pian時shi,槽cao致zhi噪zao聲sheng成cheng為wei電dian磁ci噪zao聲sheng的de最zui主zhu要yao部bu分fen。電dian機ji運yun行xing過guo程cheng中zhong,單dan數shu槽cao的de轉zhuan子zi鐵tie芯xin周zhou期qi性xing地di受shou到dao單dan邊bian磁ci拉la力li的de變bian化hua所suo產chan生sheng的de,其qi原yuan因yin可ke通tong過guo圖tu一yi來lai解jie釋shi。

在圖(a)中(zhong),上(shang)磁(ci)極(ji)極(ji)弧(hu)下(xia)覆(fu)蓋(gai)三(san)個(ge)轉(zhuan)子(zi)槽(cao),而(er)下(xia)磁(ci)極(ji)極(ji)弧(hu)隻(zhi)覆(fu)蓋(gai)兩(liang)個(ge)轉(zhuan)子(zi)槽(cao),此(ci)時(shi)上(shang)部(bu)磁(ci)拉(la)力(li)大(da),下(xia)部(bu)磁(ci)拉(la)力(li)小(xiao),使(shi)定(ding)子(zi)鐵(tie)芯(xin)有(you)向(xiang)上(shang)移(yi)動(dong)的(de)趨(qu)勢(shi)。當(dang)轉(zhuan)子(zi)轉(zhuan)動(dong)半(ban)個(ge)槽(cao)距(ju)後(hou),則(ze)如(ru)圖(tu)(b)所suo示shi,此ci時shi下xia磁ci極ji極ji弧hu覆fu蓋gai了le三san個ge轉zhuan子zi槽cao,而er上shang磁ci極ji極ji弦xian隻zhi覆fu蓋gai了le兩liang個ge轉zhuan子zi槽cao,此ci時shi的de磁ci拉la力li情qing況kuang起qi了le變bian化hua,下xia部bu磁ci拉la力li大da,上shang部bu磁ci拉la力li小xiao,因yin此ci定ding子zi鐵tie芯xin有you向xiang下xia移yi動dong的de趨qu勢shi。所suo以yi在zai轉zhuan子zi旋xuan轉zhuan過guo程cheng中zhong,定ding子zi鐵tie芯xin產chan生sheng周zhou期qi性xing的de上shang下xia振zhen動dong。同tong理li,轉zhuan子zi受shou到dao了le周zhou期qi性xing變bian化hua的de單dan邊bian磁ci拉la力li,從cong而er引yin起qi轉zhuan子zi振zhen動dong。
采用雙數槽轉子時,不會發生上述情況,但轉子旋轉時槽位變化,在氣隙中造成脈振磁場,也可能引起振動。
按照上麵分析,所產生的電磁噪聲頻率
式中:Z ——轉子槽數
在(zai)電(dian)磁(ci)噪(zao)聲(sheng)中(zhong),除(chu)上(shang)述(shu)原(yuan)因(yin)所(suo)產(chan)生(sheng)的(de)噪(zao)聲(sheng)外(wai),還(hai)由(you)於(yu)電(dian)流(liu)中(zhong)的(de)高(gao)次(ci)諧(xie)波(bo)分(fen)量(liang),在(zai)定(ding)轉(zhuan)子(zi)氣(qi)產(chan)生(sheng)諧(xie)波(bo)磁(ci)場(chang),也(ye)會(hui)產(chan)生(sheng)不(bu)均(jun)勻(yun)的(de)力(li)矩(ju),造(zao)成(cheng)振(zhen)動(dong)而(er)產(chan)生(sheng)噪(zao)聲(sheng)。
噪聲鑒別方法
1. 斷電法
利用電磁噪聲隨磁場強弱、負(fu)載(zai)電(dian)流(liu)大(da)小(xiao)以(yi)及(ji)轉(zhuan)換(huan)高(gao)低(di)而(er)變(bian)的(de)特(te)征(zheng),對(dui)空(kong)載(zai)運(yun)行(xing)的(de)電(dian)動(dong)機(ji)靜(jing)聽(ting)一(yi)段(duan)時(shi)間(jian)後(hou)突(tu)然(ran)切(qie)斷(duan)電(dian)源(yuan),隨(sui)著(zhe)電(dian)源(yuan)的(de)切(qie)斷(duan)部(bu)分(fen)噪(zao)聲(sheng)會(hui)立(li)即(ji)消(xiao)失(shi),此(ci)為(wei)電(dian)磁(ci)噪(zao)聲(sheng)。停(ting)電(dian)後(hou)電(dian)機(ji)借(jie)慣(guan)性(xing)繼(ji)續(xu)運(yun)轉(zhuan)產(chan)生(sheng)的(de)噪(zao)聲(sheng)則(ze)為(wei)機(ji)械(xie)噪(zao)聲(sheng)。反(fan)複(fu)數(shu)次(ci)以(yi)期(qi)得(de)到(dao)確(que)定(ding)。
2. 改變電壓法
將電源電壓急速下降至一定限度(轉速無較大變化)時,如果電磁噪聲是電機噪聲的主要部分,則會隨電壓變化很大,而其他噪聲基本不變。
3. 電流測試法
若定子繞組不對稱或內部斷相、匝間短路,則三相電流不平衡;若轉子斷籠或繞線式電機轉子三相不對稱,則定子電流有波動,以此來鑒別出電磁噪聲。
4. 拖動法
用低噪聲電動機拖動被試電機旋轉,提起及放下碳刷數次,可鑒別出碳刷噪聲的影響。
5. 拆卸部件法
對於空氣動力噪聲具有穩定的特征,可以通過取下風扇(小型電動機)或外鼓風機(大、中型電動機)前後噪聲變化的情況來鑒別。另外,更換不同外徑和型式的風扇,在不同轉速下區分噪聲的差別,也可鑒別出風扇噪聲。
噪聲控製方案
1. 合理設計電機的結構
(1)正確選用風扇材質和結構:單向旋轉的高速電動機,可采用流線型後傾式離心式風扇,對離心式風扇,帶倒向環的比不帶倒向環的噪聲低;此外,盆式風扇比大刀式風扇噪聲低;鋁質風扇比尼龍風扇噪聲低。
(2)改進風路:加大風扇外緣與風扇罩或端麵內腔間隙,取消風道中的障礙,使風流方向平滑,可改善噪聲。
(3)定子繞組采用合理的短距。
(4)異步電動機轉子采用相對傾斜的雙斜槽結構以減少軸向力;直流電動機采用不均勻氣隙。交流電動機采用磁性槽楔,不但可以減少諧波損失提高效率,還可以減少由諧波磁場引起的電磁噪聲。
(5)使用中的電機產生“掃膛”shi,keshidangzengdaqixiyijianshaoqixicimi。dangdianjigonglvyouyuliangshi,kejiangzhuanziyuanzhouchequyibufen,yizengdaqixi,xiaochugaocixieboyinqidezaosheng,danzaijianxiaodetongshi,zengdalekongzaidianliu,bingshigonglvyinshuyousuojiangdi。
(6)適當控製軸承滾動麵的波紋、凹坑、粗糙度及徑向間隙。
(7)提高換向器表麵加工精度和光潔度以減少電刷噪聲。
(8)增加機座剛度及平衡度,必要時可用水平儀做一下地基的水平;目測一下電動機安裝角度與拖動的機械是否合適。

2. 確保裝配工藝精良
(1)選用高質量的軸承。軸承與轉軸或軸承與軸承座之間的配合應適當,並控製好軸承熱套時的溫度及時間。
(2)zhuanzidongpinghengbuhaoshichanshengjixiezaoshengdezhuyaoyuanyin,suoyiyaotigaozhuanzidedongpinghengjianyanjingdu,jinliangjianshaopianxindeyingxiang,baozhengdiandongjianzhuangshilianzhouqidetongxindu。
(3)軸承潤滑脂選用合適型號且無雜質。軸承內腔所塗的潤滑脂量應為軸承室內部空間的1/3—2/3為宜。
(4)butongzhongleidezhouchengxuanqianzhuanggongyideyaoqiuanzhuangzhouchengzhuangpeiyuanzeshangbuyunxucaiyongtongbangjidadefangfa,fouzehuiyouyuzhouchengneiquanshoulibujunsunshangzhoucheng。caiyongretaofangfazhuangpeizhouchengshi,shixianyaozaixijianzhazhouchengyuzhoujingdepeihechicun,yinweiretaoyulengtaobutong,retaoshitaoruzhouchengdeguochengzhong,buyifajiaozhoujingyuzhouchengdepeihegongchaheguoyingchengdushifoushiyi。zhouchengretaohoubuyingyidongdianjihuozhuangpeiqitafujianyifangzhizhouchengyiwei。
其他減噪方式
(1)容量超過10MW,轉速超過1000r/min的大容量高速電動機,采用剛性的隔離罩(內表麵粘貼吸音材料)將電機罩起來,是最有效的減噪辦法。
(2)在產生氣流噪聲最強的部分加裝有對氣流的阻力小,不影響電機散熱和裝卸方便的消聲器。
(3)搬運中避免機座遭受機械撞擊。
(4)diandongjishicongdianyuanxishoudianneng,zhuanhuanchengjixienengzaicongzhoushangshuchu,suoyidianwangzhongcaiqudongtaiwugongbuchanghelvbozhuangzhi,shidianyuanzhongdexiebofenliangfuheguifanyaoqiu,tigaogongdianzhiliang,baozhengdianya、頻率合格,三相電壓平衡,以控製電機噪聲。
(5)電動機運行時軸承蓋不應打開;保持電動機的清潔;定期更換潤滑脂;經常清潔換向器表麵以保持其良好的潤滑接觸。
免責聲明:本文為轉載文章,轉載此文目的在於傳遞更多信息,版權歸原作者所有。本文所用視頻、圖片、文字如涉及作品版權問題,請聯係小編進行處理。
推薦閱讀:
特別推薦
- 噪聲中提取真值!瑞盟科技推出MSA2240電流檢測芯片賦能多元高端測量場景
- 10MHz高頻運行!氮矽科技發布集成驅動GaN芯片,助力電源能效再攀新高
- 失真度僅0.002%!力芯微推出超低內阻、超低失真4PST模擬開關
- 一“芯”雙電!聖邦微電子發布雙輸出電源芯片,簡化AFE與音頻設計
- 一機適配萬端:金升陽推出1200W可編程電源,賦能高端裝備製造
技術文章更多>>
- 從機械執行到智能互動:移遠Q-Robotbox助力具身智能加速落地
- 品英Pickering將亮相2026航空電子國際論壇,展示航電與電池測試前沿方案
- 模擬芯片設計師的噩夢:晶體管差1毫伏就廢了,溫度升1度特性全飄
- 3A大電流僅需3x1.6mm?意法半導體DCP3603重新定義電源設計
- 芯科科技Tech Talks與藍牙亞洲大會聯動,線上線下賦能物聯網創新
技術白皮書下載更多>>
- 車規與基於V2X的車輛協同主動避撞技術展望
- 數字隔離助力新能源汽車安全隔離的新挑戰
- 汽車模塊拋負載的解決方案
- 車用連接器的安全創新應用
- Melexis Actuators Business Unit
- Position / Current Sensors - Triaxis Hall
熱門搜索
按鈕開關
白色家電
保護器件
保險絲管
北鬥定位
北高智
貝能科技
背板連接器
背光器件
編碼器型號
便攜產品
便攜醫療
變容二極管
變壓器
檳城電子
並網
撥動開關
玻璃釉電容
剝線機
薄膜電容
薄膜電阻
薄膜開關
捕魚器
步進電機
測力傳感器
測試測量
測試設備
拆解
場效應管
超霸科技




