利用SiP技術提高精密數據采集信號鏈的密度
發布時間:2017-05-26 來源:Ryan Curran 責任編輯:wenwei
【導讀】精密數據采集的市場空間中存在一個普遍需求,即在保持性能的同時提高信號鏈的密度。由於越來越多的應用逐漸傾向於依照通道的ADC方式,或試圖將更多通道集成於同一尺寸中,因此通道密度是許多數據采集信號鏈設計工程師十分關注的問題。
此(ci)外(wai),目(mu)前(qian)行(xing)業(ye)中(zhong)存(cun)在(zai)的(de)一(yi)個(ge)趨(qu)勢(shi)是(shi),力(li)求(qiu)使(shi)精(jing)密(mi)電(dian)路(lu)更(geng)易(yi)於(yu)使(shi)用(yong),並(bing)且(qie)能(neng)夠(gou)更(geng)輕(qing)鬆(song)地(di)實(shi)現(xian)數(shu)據(ju)手(shou)冊(ce)中(zhong)的(de)性(xing)能(neng)。這(zhe)樣(yang)就(jiu)有(you)利(li)於(yu)構(gou)建(jian)一(yi)些(xie)子(zi)係(xi)統(tong),通(tong)過(guo)使(shi)用(yong)係(xi)統(tong)級(ji)封(feng)裝(zhuang) (SiP) 技術實現信號鏈而解決上述問題。
ADI公司根據此子係統策略生產的第一個係列為ADAQ798x數據采集產品。ADAQ798x是一種16位模數轉換器子係統,將四個通用的信號處理和調理模塊集成到一個SiP設計中,可支持多種應用。該係列器件也包含最關鍵的無源器件,可避免因使用逐次逼近型寄存器 (SAR) 模數轉換器 (ADC) 的傳統信號鏈所導致的很多設計難題。這些無源器件是實現額定器件性能的關鍵因素。
縱觀使用SAR ADC的應用和市場,如工業、儀器儀表、通tong信xin及ji醫yi療liao保bao健jian,可ke以yi發fa現xian,數shu據ju采cai集ji信xin號hao鏈lian的de某mou些xie部bu分fen在zai這zhe些xie應ying用yong中zhong很hen常chang見jian,而er另ling外wai某mou些xie部bu分fen則ze可ke能neng存cun在zai廣guang泛fan的de不bu同tong。還hai可ke以yi發fa現xian,這zhe些xie信xin號hao鏈lian使shi用yong不bu同tong的de輸shu入ru源yuan和he傳chuan感gan器qi陣zhen列lie。因yin此ci,在zai向xiangADC提ti交jiao信xin號hao之zhi前qian,將jiang會hui執zhi行xing各ge種zhong形xing式shi的de信xin號hao調tiao理li。使shi用yong不bu同tong的de輸shu入ru源yuan意yi味wei著zhe係xi統tong的de滿man量liang程cheng可ke能neng不bu同tong,並bing且qie需xu要yao采cai用yong不bu同tong的de基ji準zhun值zhi以yi使shi動dong態tai範fan圍wei最zui大da化hua。某mou些xie應ying用yong為wei多duo通tong道dao方fang式shi,因yin此ci會hui使shi用yong一yi個ge前qian端duan多duo路lu複fu用yong器qi。根gen據ju不bu同tong應ying用yong的de關guan鍵jian性xing能neng標biao準zhun,可ke能neng會hui實shi施shi不bu同tong的de供gong電dian方fang案an。不bu過guo,無wu論lun何he種zhong應ying用yong,某mou些xie器qi件jian可ke通tong用yong於yu很hen多duo場chang合he。ADAQ7980 和 ADAQ7988 是全ADI有源器件解決方案的組成部分,該解決方案包含一個高精度、低功耗的16位SAR ADC;一個低功耗、高帶寬、高輸入阻抗的ADC驅動器;一個穩定的低功耗基準電壓緩衝器;以及一個高效的電源管理模塊。這些信號鏈組件已通過SiP技術集成到一個數據采集子係統中。
ADAQ7980和ADAQ7988均采用小尺寸5 mm × 4 mm LGA封裝,因此會使數據采集係統的設計過程更簡單。ADAQ798x的高係統集成度可解決很多設計難題,並且仍具有靈活性,能夠通過可配置的ADC驅動器模塊實現增益和/或共模調整。配備四種器件電源以提供最佳係統性能,但在對器件工作特性的影響極小時也可使用單電源模式。ADAQ798x係列不僅具有出色的集成度,並且可靈活地適應各種各樣的應用。
AD I公gong司si在zai開kai發fa此ci產chan品pin時shi對dui常chang見jian的de設she計ji錯cuo誤wu進jin行xing了le分fen析xi,以yi確que定ding出chu有you助zhu於yu解jie決jue這zhe些xie問wen題ti的de方fang法fa。結jie果guo表biao明ming,信xin號hao鏈lian層ceng設she計ji中zhong的de很hen多duo錯cuo誤wu主zhu要yao圍wei繞rao SAR ADC的兩個區域—參考輸入和模擬輸入。很多信號鏈誤差都與決定整體模數轉換性能的ADCdewaiweidianluyouguan。guanyujizhundianya,changjiandecuowubaokuojizhunpangludianrongdebujuhechicunbudang,jizhundianyayuandequdongqiangdubuzu,yijijizhundianyayuanchanshengdezaoshengpinpumiduguoda。ruoSAR ADC的參考輸入存在這些不妥當的設計條件,可能會導致ADC作出錯誤的位判斷。至於ADC的模擬輸入,觀察到的常見設計問題包括:ADC驅動器選型不當,ADC驅動器和ADC之間濾波器的帶寬不適當,以及濾波電容介電材料選擇不當。這些係統級設計問題以任何方式組合都可能會嚴重影響ADC的轉換性能。ADI公司在開發ADAQ798x器件時所作的一係列選擇都旨在解決這些問題。
如上所述,要使一個基於SAR ADC的轉換係統實現數據手冊中的性能,必須考慮到某些設計因素。SAR ADC基準電壓源和模擬輸入源的特性是決定轉換信號鏈設計是否成功的關鍵。通常,一個SARADC需使用一個低阻抗基準電壓源和一個較大的、布置適當的去耦電容。該旁路電容用來補充ADC在SAR位校驗期間消耗的電荷,可看作為ADC外部SAR陣列中的一個元件。ADC還需要一個合適的模擬輸入源,其噪聲性能和帶寬應足以使ADC輸入建立至所需分辨率。圖1顯示了ADAQ798x係列器件的框圖。

圖1. ADAQ798x框圖。
如圖1所示,ADAQ798x內置有一個基準電壓緩衝器和一個對應的10 F去耦電容。理論上,該去耦電容應鄰近ADC的參考輸入。如此布置是為了減小去耦電容和SAR電容陣列之間的總體寄生阻抗。該路徑應使阻抗盡可能低,以便電容將電荷快速添加到SAR陣(zhen)列(lie)上(shang),然(ran)後(hou)在(zai)轉(zhuan)換(huan)過(guo)程(cheng)中(zhong)重(zhong)新(xin)分(fen)布(bu)。同(tong)時(shi),基(ji)準(zhun)電(dian)壓(ya)緩(huan)衝(chong)器(qi)和(he)去(qu)耦(ou)電(dian)容(rong)之(zhi)間(jian)的(de)走(zou)線(xian)電(dian)阻(zu)已(yi)受(shou)到(dao)控(kong)製(zhi)。走(zou)線(xian)尺(chi)寸(cun)經(jing)過(guo)精(jing)心(xin)選(xuan)擇(ze),確(que)保(bao)其(qi)所(suo)得(de)電(dian)阻(zu)能(neng)使(shi)基(ji)準(zhun)電(dian)壓(ya)緩(huan)衝(chong)器(qi)保(bao)持(chi)穩(wen)定(ding),而(er)其(qi)造(zao)成(cheng)的(de)電(dian)壓(ya)降(jiang)不(bu)足(zu)以(yi)產(chan)生(sheng)轉(zhuan)換(huan)增(zeng)益(yi)誤(wu)差(cha)。用(yong)於(yu)緩(huan)衝(chong)參(can)考(kao)信(xin)號(hao)的(de)放(fang)大(da)器(qi)被(bei)配(pei)置(zhi)成(cheng)一(yi)個(ge)單(dan)位(wei)增(zeng)益(yi)緩(huan)衝(chong)器(qi)。這(zhe)樣(yang)會(hui)形(xing)成(cheng)外(wai)部(bu)基(ji)準(zhun)電(dian)壓(ya)源(yuan)的(de)一(yi)個(ge)高(gao)阻(zu)抗(kang)輸(shu)入(ru),而(er)非(fei)SAR ADC參考輸入的傳統型開關電容負載。現在,ADAQ798x用戶可以使用一個低功耗或無緩衝基準電壓源來驅動ADAQ798x的參考輸入 (REFIN) 引腳。由於形成高阻抗,因此也為用戶在選擇基準電壓源的物理PCB位置時提供了更多的靈活性。通過使用此SiP元件,基準電壓源的布局就變得不那麼重要,因為ADAQ798x內(nei)包(bao)含(han)一(yi)個(ge)受(shou)到(dao)良(liang)好(hao)控(kong)製(zhi)的(de)基(ji)準(zhun)電(dian)壓(ya)緩(huan)衝(chong)器(qi)。由(you)於(yu)僅(jin)包(bao)含(han)一(yi)個(ge)緩(huan)衝(chong)器(qi),而(er)非(fei)基(ji)準(zhun)電(dian)壓(ya)源(yuan)本(ben)身(shen),用(yong)戶(hu)可(ke)在(zai)廣(guang)泛(fan)範(fan)圍(wei)內(nei)自(zi)由(you)選(xuan)擇(ze)基(ji)準(zhun)值(zhi),從(cong)而(er)通(tong)過(guo)此(ci)基(ji)準(zhun)電(dian)壓(ya)的(de)選(xuan)擇(ze)使(shi)係(xi)統(tong)的(de)動(dong)態(tai)範(fan)圍(wei)最(zui)大(da)化(hua)。因(yin)為(wei)基(ji)準(zhun)電(dian)壓(ya)決(jue)定(ding)了(le)轉(zhuan)換(huan)器(qi)的(de)滿(man)量(liang)程(cheng)電(dian)壓(ya)。
ADAQ798x還具有一個ADC驅動器以及對應的低通濾波器,濾波器位於驅動器和ADC輸入之間。濾波器帶寬的選擇是決定器件能否達到所需性能水平的關鍵因素。帶寬選擇是在高速ADC驅動器的建立時間和濾波寬帶噪聲之間作一個權衡。ADC輸入節點處的任何幹擾必須在ADC采集時間內建立至足夠的分辨率。當SAR ADC執行其轉換過程時,ADC輸入與其外部輸入源斷開連接。在轉換過程中,ADC輸入的電位可能會發生變化。盡管如此,轉換結束時SAR電容器陣列上的電壓與轉換開始時的電壓基本相同。當ADC返回采集(跟蹤)模式時,SAR電容陣列的負載呈現在ADCshuruduan。gaidianrongyuwaibuditonglvboqidedianrongbinglian。youyuzhexiedianrongjuyoubutongdedianya,yincihuifashengdianhezaifenbuyishisuoyoudianrongshangdedianyadadaopingheng。zhejiangdaozhixuzaicaijizhouqineijianlideADC輸入出現電壓階躍。最差情況是在ADC進行滿量程轉換時發生階躍。這種情況可能會出現在采用多路複用輸入的係統中。此電壓階躍會因外部電容和內部SAR電容的比率而衰減。ADAQ798x產品均具有一個1800 pF的低通濾波電容。假設基準電壓為5 V,則ADC輸入的最大電壓階躍計算如下:

此電壓階躍必須在最小采集時間290 ns內建立。建立此電壓階躍所需的時間常數數目可通過計算階躍大小和建立誤差之比的自然對數來獲得。本例中建立誤差為½ LSB。那麼,時間常數的數目如下:

已知時間常數的數目後,可以確定出RC低通濾波器的時間常數 (T):

將時間常數帶入下式可求出所需的濾波器帶寬:

為了提供一定的裕量並使用標準值元件,ADAQ798x產品均具有一個由20 電阻和1800 pF電容構成的濾波器。可提供的濾波器帶寬為4.42 MHz,因此ADAQ798x濾波器能夠在ADC采cai集ji時shi間jian內nei建jian立li最zui大da可ke期qi電dian壓ya階jie躍yue。計ji算suan所suo得de的de濾lv波bo器qi帶dai寬kuan也ye代dai表biao了le噪zao聲sheng濾lv波bo和he建jian立li過guo程cheng之zhi間jian的de權quan衡heng點dian。在zai確que保bao建jian立li過guo程cheng的de前qian提ti下xia選xuan用yong最zui低di要yao求qiu附fu近jin的de濾lv波bo器qi帶dai寬kuan,將jiang能neng最zui大da化hua提ti高gao無wu源yuan低di通tong濾lv波bo器qi的de噪zao聲sheng濾lv波bo作zuo用yong。
雖然SAR ADC返回采集模式時的電壓階躍是濾波器建立計算中的限製因素,值得注意的是,該濾波器也可以在1 s的最小轉換周期內順利建立多路複用器滿量程階躍帶來的實際電壓變化。將滿量程階躍建立至1/2 LSB分辨率需要11.78個時間常數。這是根據N+1個量化級的自然對數計算而得。在本例中為217或131072個數字碼。11.78個時間常數,每個時間常數38.3 ns,那麼總共約為450 ns,這個時間相較於1 s轉換周期不足為慮。其假設前提是多路複用器通道在轉換開始後直接切換。
為確保轉換信號鏈的正常性能,ADC驅動器的帶寬也非常重要。在單位增益配置中,建立過程的限製因素是需在290 ns內建立的電壓階躍,其與返回到采集模式的轉換器相關。因此,在這種情況下,小信號帶寬是最重要的放大器帶寬特性。要在1 s的最小轉換周期內建立多路複用器的滿量程階躍,ADC驅動器的大信號帶寬必須確保1 s時間周期內可處理11.78個時間常數。
ADC驅動器不可向轉換信號鏈引入過量噪聲。子係統的總體噪聲性能計算為ADC噪聲、ADC驅動器噪聲和基準電壓緩衝器噪聲的平方和根值 (RSS)。由於旁路電容較大,參考電路的帶寬有限,因此基準電壓緩衝器噪聲在RSS計算中可以忽略不計。在單位增益配置中為ADC驅動器所選的噪聲目標為不大於ADC噪聲的1/3。ADC驅動器的額定噪聲頻譜密度為5.2 nV/Hz。要計算整體係統的噪聲,必須使用下式將ADC驅動器的噪聲頻譜密度轉換為V rms:

ADC的典型動態範圍特性為92 dB,基準電壓為5V。ADC的噪底可以通過下式計算:

ADC驅動器的噪底為13.7 V rms,在不大於ADC噪聲的1/3目標範圍內。單位增益配置中ADC驅動器引入的噪聲導致整體係統動態範圍從92 db降至91.6 dB。由於ADC驅qu動dong器qi對dui係xi統tong噪zao聲sheng的de影ying響xiang不bu大da,所suo以yi,對dui於yu因yin采cai樣yang周zhou期qi較jiao長chang而er提ti供gong較jiao長chang建jian立li時shi間jian的de低di采cai樣yang速su率lv應ying用yong,無wu需xu改gai變bian低di通tong濾lv波bo器qi的de帶dai寬kuan。通tong過guo降jiang低di濾lv波bo器qi帶dai寬kuan在zai單dan位wei增zeng益yi上shang帶dai來lai的de最zui佳jia改gai善shan可ke能neng是shi重zhong新xin獲huo得de動dong態tai範fan圍wei損sun耗hao的de0.4 dB。然而,為降低帶寬而增大濾波器電阻會對THD性能產生不利影響,而ADC驅動器可能難以驅動較大的容性負載。如果還需要其他濾波,ADC驅動器可配置為提供濾波作用。
ADAQ798x產品中還包含一個2.5 V低噪聲CMOS LDO線性穩壓器。某些SAR ADC產品需要特定的2.5 V電源,並且要求公差範圍很小。如果用戶沒有可用的2.5 V電源軌,則可能需要專為ADC設計一個電源。而使用此元件則可以大大簡化電源,因為其中包含了LDO。片上LDO用於向轉換器供電,此時LDO輸入相當於ADC的電源。這樣可提供更廣泛的可用電源電壓,並且使電路更簡單。放大器的正電源可以作為LDO輸入以實現一個單電源係統。此外,還可選擇適當的電源電壓以優化性能或功耗。該器件支持全掉電模式。電源配置的靈活性使ADAQ798x用戶可針對具體應用作出最合適的權衡。
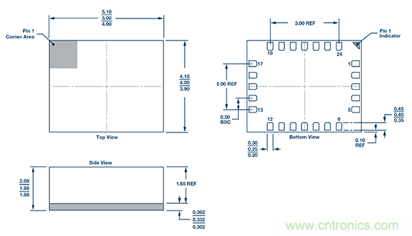
ADAQ798x的封裝尺寸為5 mm × 4 mm × 2 mm。四層層壓片厚0.35 mm,塑封片厚1.65 mm。這種壓模成形封裝的特點如同任何典型封裝集成電路,采用全塑封料和底部填充工藝。用戶所見的層壓片呈LGA封裝,具有24個I/O焊盤。圖2顯示了ADAQ798x的封裝外形圖。圖3為無任何封裝或塑封的ADAQ798x裝配模型。從圖3可以看出,該子係統混合運用了ADIyouyuanqijianhegongkaishichangshangchangjiandewuyuanqijian。cengyapianzouxiandeshejiyouliyukongzhizukangbingxiaochurenhechuanrao。zhengshiyinweizaisuoyouzhexieshejihezhuangpeijishushangqudedechengguo,womenkaifachudechanpinkeyibitongleiqijianshejijieshenggaoda50%的PCB麵積。

圖2. ADAQ798x的封裝外形圖。

圖3. ADAQ798x的三維裝配模型。
除了節省麵積之外,ADAQ798x還(hai)為(wei)信(xin)號(hao)鏈(lian)設(she)計(ji)工(gong)程(cheng)師(shi)實(shi)現(xian)所(suo)需(xu)性(xing)能(neng)和(he)降(jiang)低(di)係(xi)統(tong)設(she)計(ji)風(feng)險(xian)提(ti)供(gong)了(le)更(geng)佳(jia)的(de)機(ji)會(hui)。從(cong)根(gen)本(ben)上(shang)說(shuo),這(zhe)樣(yang)可(ke)以(yi)縮(suo)短(duan)上(shang)市(shi)時(shi)間(jian)和(he)降(jiang)低(di)開(kai)發(fa)成(cheng)本(ben)。選(xuan)用(yong)ADAQ798x還可以簡化係統的物料清單,一份數據手冊可涵蓋係統中的更多部分。此款SiP器件堅固耐用。專為承受惡劣的工業環境而設計,並已通過大量測試驗證其合格性。它能夠實現絕佳的質量等級,額定溫度範圍為–55°C至+125°C。總而言之,ADAQ798x實現了集成度與靈活性之間的卓越平衡,並且不會犧牲信號鏈的性能。
作者:Ryan Curran
Ryan Curran 是ADI 公司精密轉換器業務部門的一名產品應用工程師。自2005 年加盟ADI 以來,他一直主要從事SAR ADC 方麵工作。Ryan 獲緬因大學歐洛諾電子工程學士學位,目前在阿默斯特馬薩諸塞大學伊森伯格管理學院攻讀工商管理碩士學位。
本文轉載自ADI電機控製中文技術社區。
推薦閱讀:
特別推薦
- 噪聲中提取真值!瑞盟科技推出MSA2240電流檢測芯片賦能多元高端測量場景
- 10MHz高頻運行!氮矽科技發布集成驅動GaN芯片,助力電源能效再攀新高
- 失真度僅0.002%!力芯微推出超低內阻、超低失真4PST模擬開關
- 一“芯”雙電!聖邦微電子發布雙輸出電源芯片,簡化AFE與音頻設計
- 一機適配萬端:金升陽推出1200W可編程電源,賦能高端裝備製造
技術文章更多>>
- 貿澤EIT係列新一期,探索AI如何重塑日常科技與用戶體驗
- 算力爆發遇上電源革新,大聯大世平集團攜手晶豐明源線上研討會解鎖應用落地
- 創新不止,創芯不已:第六屆ICDIA創芯展8月南京盛大啟幕!
- AI時代,為什麼存儲基礎設施的可靠性決定數據中心的經濟效益
- 矽典微ONELAB開發係列:為毫米波算法開發者打造的全棧工具鏈
技術白皮書下載更多>>
- 車規與基於V2X的車輛協同主動避撞技術展望
- 數字隔離助力新能源汽車安全隔離的新挑戰
- 汽車模塊拋負載的解決方案
- 車用連接器的安全創新應用
- Melexis Actuators Business Unit
- Position / Current Sensors - Triaxis Hall
熱門搜索
Future
GFIVE
GPS
GPU
Harting
HDMI
HDMI連接器
HD監控
HID燈
I/O處理器
IC
IC插座
IDT
IGBT
in-cell
Intersil
IP監控
iWatt
Keithley
Kemet
Knowles
Lattice
LCD
LCD模組
LCR測試儀
lc振蕩器
Lecroy
LED
LED保護元件
LED背光


