高速模數轉換器精度透視(第二部分)
發布時間:2017-11-22 來源:Rob Reeder 責任編輯:wenwei
【導讀】在第一部分中,我們討論了一般靜態模數轉換器的不精確性誤差和涉及帶寬的ADC不精確性誤差。希望這些內容有助於加深讀者對ADC誤差以及這些誤差如何影響信號鏈的理解。基於此,要記住的是,並非所有組件都是一樣的——有源和無源器件均是如此,因此,無論係統最終選擇了什麼器件,模擬信號鏈中都會存在誤差。
本文將描述精度、分(fen)辨(bian)率(lv)和(he)動(dong)態(tai)範(fan)圍(wei)之(zhi)間(jian)的(de)差(cha)異(yi)。本(ben)文(wen)還(hai)將(jiang)揭(jie)示(shi)信(xin)號(hao)鏈(lian)內(nei)部(bu)的(de)不(bu)精(jing)確(que)性(xing)是(shi)如(ru)何(he)累(lei)積(ji)並(bing)導(dao)致(zhi)誤(wu)差(cha)的(de)。定(ding)義(yi)新(xin)設(she)計(ji)的(de)係(xi)統(tong)參(can)數(shu)時(shi),這(zhe)些(xie)內(nei)容(rong)對(dui)於(yu)理(li)解(jie)如(ru)何(he)正(zheng)確(que)指(zhi)定(ding)或(huo)選(xuan)擇(ze)一(yi)個(ge)ADC有著重要作用。
精度、分辨率與動態範圍
xuduozhuanhuanqiyonghusihuzaihuhuanshiyongjingduhefenbianlvzhelianggeshuyu,danzhezhongzuofashicuowude。jingduhefenbianlvzhelianggeshuyubingbuxiangdeng,danshijuyouxiangguanxing,suoyi,buyinghuhuanshiyong。keyibajingduhefenbianlvshiweitangxiongmei,danbushishuangbaotai。
jingdujiushiwucha,huozheshuoceliangzhipianlizhenzhidefudu。jingduwuchakeyichengweilingminducuowu。fenbianlvjiushicedezhidebiaoshihuoxianshijingxidu。jishixitongdefenbianlvwei12位,也並不意味著它能測量精度為12位的值。
例如,假設一塊萬用表可以用6位數來表示測量值。則該萬用表的分辨率為6位,但是,如果最後一位或兩位數似乎在測量值之間擺動,則分辨率會受到影響,測量精度同樣會受到影響。 xitonghuoxinhaolianlidewuchahuiyizhileiji,shiyuanshiceliangzhishizhen。yinci,lejiexitongdedongtaifanweiyehenguanjian,yibianhengliangyaoshejidexinhaoliandejingduhefenbianlv。
我們再以萬用表為例。如果表示位數為6,則其動態範圍應為120 dB(或6 × 20 dB/十倍頻程)。但要注意的是,最後兩位仍在擺動。因此,真實動態範圍隻有80 dB。這就是說,如果設計人員要測量1 µV(或0.000001 V)的電壓,則該測量值的誤差可能高達100 µV,因為實際器件的精度僅為100 µV(或0.0001 V或0.0001XX V,其中,XX表示在擺動的最後兩位)。
實際上,描述任何係統的整體精度的方法有兩種:直流和交流。直流精度表示整個給定信號鏈中展現出來的“偏離”累積誤差,這種方法有時稱為“最差條件”分析。交流精度表示整個信號鏈中累積的噪聲誤差項,這項指標決定著係統的信噪比(SNR)。然後把這些誤差累加起來,結果會使SNR下降,並產生整個設計更真實的有效位數(ENOB)。實際上,取得這兩個參數可以告訴用戶,在靜態和動態信號下,係統有多精確。
低頻SNR、ENOB、有效分辨率和無噪聲代碼分辨率之間的關係
記住,ADC可以“接受”多種信號(通常分為直流或交流),並以數字方式對信號進行量化。了解ADCzaixitongzhongdewuchayiweizhe,shejirenyuanbixulejieyaocaiyangdexinhaodeleixing。yinci,xinhaoleixingqujueyuruhedingyizhuanhuanqiwuchaduizhenggexitongdegongxian。zhexiezhuanhuanqiwuchayibanyiliangzhongfangshidingyi:無噪聲代碼分辨率(表示直流類信號)和“信噪比等式”(表示交流類信號)。
由於電阻噪聲和“kT/C”噪聲,所有有源器件(如ADC內部電路)都會產生一定量的均方根(RMS)zaosheng。jishishizhiliushuruxinhao,cizaoshengyecunzai,tashizhuanhuanqichuandihanshuzhongdaimayueqianzaoshengcunzaideyuanyin。qigengchangyongdeshuofaweizhehedaoshuruduanzaosheng。zhehedaoshuruduanzaoshengtongchangyongjiangzhiliushurushijiadaozhuanhuanqishideruoganshuchuyangbendezhifangtulaibiaozheng。daduoshugaosuhuogaofenbianlvADC的輸出為一係列以直流輸入標稱值為中心的代碼。為了測量其值,ADC的輸入端接地或連接到一個深度去耦的電壓源,然後采集大量輸出樣本並將其表示為直方圖(有時也稱為“接地輸入”直方圖)-見圖1。由於噪聲大致呈高斯分布,因此可以計算直方圖的標準差σ,它對應於有效輸入均方根噪聲,表示為LSB rms。
高速模數轉換器精度透視(第二部分)

圖1.轉換器折合到輸入端噪聲或ADC“接地輸入”直方圖。
雖然ADC固有的差分非線性(DNL)可ke能neng會hui導dao致zhi其qi噪zao聲sheng分fen布bu與yu理li想xiang的de高gao斯si分fen布bu有you細xi微wei的de偏pian差cha,但dan它ta至zhi少shao大da致zhi呈cheng高gao斯si分fen布bu。如ru果guo代dai碼ma分fen布bu具ju有you較jiao大da且qie獨du特te的de峰feng值zhi和he穀gu值zhi,則ze表biao明ming存cun在zaiPC板布局欠佳、接地不良、電源去耦不當等問題。
典型情況下,折合到輸入端噪聲可以表示為均方根量,單位通常是LSB rms。涉及這類量的規格通常與高分辨率精密型轉換器相關,原因在於較低的采樣速率和/或其采集的直流類或低速信號。設計用於精度測量的Σ-Δ ADC,其分辨率在16至24位之間,其數據手冊一般會列出折合到輸入端噪聲、有效分辨率、無噪聲代碼分辨率等規格,用以描述其直流動態範圍。
另一方麵,麵向音頻應用的較高頻率的Σ-Δ ADC一般都用總諧波失真(THD)和總諧波失真加噪聲(THD + N)來描述。
逐次逼近型(SAR)轉換器涵蓋了廣泛的采樣速率、分辨率和應用。它們通常有折合到輸入端噪聲,但對於交流輸入信號,則還有SNR、ENOB、SFDR和THD等規格。
雖然采樣頻率為數百MHz或以上的高速轉換器(如流水線式轉換器)通常以SNR、SINAD、SFDR、ENOB等(deng)交(jiao)流(liu)規(gui)格(ge)來(lai)描(miao)述(shu),但(dan)它(ta)們(men)也(ye)能(neng)采(cai)集(ji)直(zhi)流(liu)類(lei)信(xin)號(hao)或(huo)低(di)速(su)信(xin)號(hao)。因(yin)此(ci),了(le)解(jie)如(ru)何(he)從(cong)數(shu)據(ju)手(shou)冊(ce)上(shang)列(lie)出(chu)的(de)交(jiao)流(liu)規(gui)格(ge)推(tui)算(suan)出(chu)高(gao)速(su)轉(zhuan)換(huan)器(qi)的(de)低(di)頻(pin)性(xing)能(neng)是(shi)非(fei)常(chang)有(you)用(yong)的(de)。
側邊欄討論:SNR等式
理想轉換器對信號進行數字化時,最大誤差為±½ LSB,如一個理想N位ADC的傳遞函數所示。對於任何橫跨數個LSB的交流信號,其量化誤差可以通過一個峰峰值幅度為q(一個LSB的權重)的非相關鋸齒波形來近似計算。對該近似法還可以從另一個角度來看待,即實際量化誤差發生在±½ q範圍內任意一點的概率相等。
圖2更詳細地顯示了量化誤差與時間的關係。一個簡單的鋸齒波形就能提供足夠準確的分析模型。鋸齒誤差的計算公式如下:
e(t) = st, –q/2s < t < +q/2s (1)
e(t)的均方值可以表示為:
(2) 進行簡單的積分和簡化可得:
(3) 因此,均方根量化誤差為: 均方根量化噪聲 =

圖2.量化噪聲與時間的關係。
鋸齒誤差波形產生的諧波遠遠超過奈奎斯特帶寬或直流至Fs/2,其中,Fs = 轉換器采樣速率。然而,所有這些諧波都會折回(混疊)到奈奎斯特帶寬並相加,產生等於q/√12的均方根噪聲。
量化噪聲大致呈高斯分布,均勻分布於目標奈奎斯特帶寬上,其範圍通常為直流至Fs/2。這裏假設量化噪聲與輸入信號不相關。理論信噪比現在可以通過一個滿量程輸入正弦波來計算:
*滿量程輸入正弦波 *=
(5)因此,輸入信號的均方根值為:
滿量程輸入的均方根值 =
因此,理想N位轉換器的均方根信噪比為:
滿量程輸入的均方根值
量化噪聲的均方根值
(8) SNR = 6.02N + 1.76 dB,分布於目標奈奎斯特帶寬。 (9)
要理解低速、直zhi流liu類lei信xin號hao與yu高gao速su交jiao流liu類lei信xin號hao規gui格ge量liang之zhi間jian的de關guan係xi,確que實shi需xu要yao一yi些xie數shu學xue知zhi識shi。所suo以yi,請qing打da開kai大da學xue裏li用yong的de數shu學xue書shu,翻fan到dao後hou麵mian的de標biao識shi表biao。接jie下xia來lai,我wo們men來lai看kan看kan如ru何he理li解jie低di頻pin輸shu入ruSNR、ENOB、有效分辨率和無噪聲代碼分辨率之間的關係。
假設FSR = ADC滿量程,n = 折合到輸入端噪聲,則(均方根)有效分辨率定義如下:
(10) 有效分辨率
請注意:
log2(x) = log10(x) ÷ log(2) = log10(x) ÷ 0.301 = 3.32 × log10(x) 因此,
(11)無噪聲代碼分辨率
或,
無噪聲代碼分辨率 = 有效分辨率 – 2.72 位 (12)
對於交流分析,則要使用滿量程正弦波輸入。另見上麵的側邊欄討論,其中:
因此,
(14)重新排列後,得到
(15)結果得到下式:
ENOB = 有效分辨率 – 1.5 – 0.292 = 有效分辨率 – 1.8 位 (16)
因此,代入等式16,就可推算出ENOB、交流類信號和直流類(低速)信號之間的關係。或,
ENOB = 無噪聲代碼分辨率 + 2.72 – 1.8 = 無噪聲代碼分辨率 + 0.92 位 (17) 為了驗證這一點,我們來計算一個理想的N位ADC的ENOB。
其中,滿量程範圍(FSR)為 = 2N,且折合到輸入端噪聲為 n = 1/√12 = 0.289。 代入這些值,
(18)或,
ENOB = N
總之,對於直流低速信號,係統ENOB約比轉換器的無噪聲代碼分辨率大1位(確切為0.92位),比轉換器的有效分辨率小2位。
然而,隨著信號速率的加快,或者對於涉及帶寬的交流類信號,轉換器的SNR和ENOB會變得與頻率有關,並且在高頻輸入下會下降。
信號鏈中的轉換器不精確性
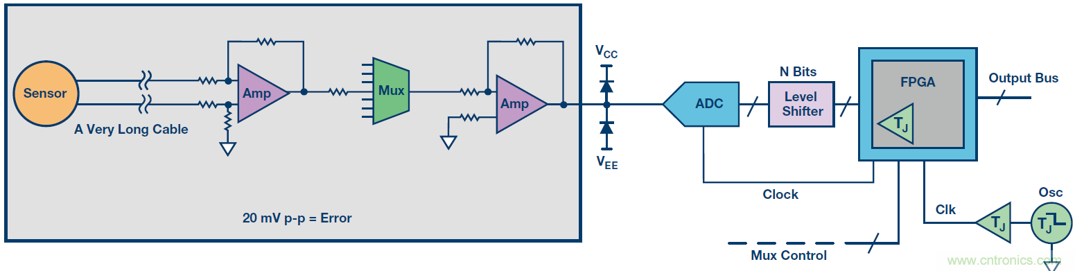
以上我們了解了轉換器誤差,接下來,我們將討論信號鏈中的剩餘部分,以在係統層麵了解這些概念。圖3所示為一個簡單的數據采集信號鏈示例。圖中,一個傳感器連傳感器的交流信號先是推過兩級預調理放大器,然後,到達要采樣的ADC輸入端。此處的目的是設計這樣一個係統,使其可以精確地表示傳感器信號,精度保持在傳感器原始值的±0.1%之內。嗯,似乎頗具挑戰性?
為wei了le設she計ji出chu這zhe樣yang的de係xi統tong,有you必bi要yao思si考kao有you哪na些xie類lei型xing的de誤wu差cha可ke能neng會hui影ying響xiang傳chuan感gan器qi的de原yuan始shi信xin號hao,還hai要yao想xiang想xiang它ta們men來lai自zi信xin號hao鏈lian的de哪na個ge部bu分fen。設she想xiang一yi下xia,在zai最zui終zhong對dui信xin號hao采cai樣yang時shi,轉zhuan換huan器qi最zui後hou會hui看kan到dao什shen麼me。
假設在此例中,ADC的滿量程輸入為10 V,分辨率為12位。如果轉換器是理想的轉換器,則可確定其動態範圍或SNR為74 dB。

圖3.簡單的數據采集信號鏈。
SNR = 6.02 (12) + 1.76 = 74 dB (19)
然而,數據手冊規格隻會顯示,轉換器的SNR為60 dB或9.67 ENOB。
ENOB = (SNR – 1.76)/6.02 = (60 – 1.76)/6.02 = 9.67 位 (20)
請注意SNR和ENOB的計算方法:在用數據手冊中的SNR數據計算ENOB時,設計人員必須明白的是,該數據可能包括,也可能不包括諧波。如果確實包括失真,則可使用SINAD,後者定義為SNR與失真之和,有時稱為THD(總諧波失真)。
因此,LSB大小可以定義為12.2 mV p-p or VFS/2N = 10/29.67。這樣可以大幅減少數據輸出端可能發生的表征的數量。記住,最後的LSB/位因ADC中存在噪聲而擺動!
29.67 = 817 步 (21)
同時意味著,轉換器的精度為±6.12 mV或0.0612%。
(12.2 mV/10 V) × 100 = 0.122% or ±0.0612% (22)
另外,這意味著,如果將1.00000 V的輸入施加到轉換器上,則輸出可能在0.99388 V和1.00612 V之間。
因此,ENOB為9.67位的12位轉換器測量信號的精度隻能達0.1%。轉換器的動態範圍約為60 dB而非74 dB(理想的12位ADC)。
0.06% = 0.0006 = 60 dB (23)
此值可以直觀地表示為下麵的圖4。

圖4.記住,20 dB/十倍頻程,或3 × 20 = 60 dB。
表1列出了一些簡單的等值換算,供確定目標係統性能時參考。

表1:精度等值
其他係統不精確性
要yao注zhu意yi上shang麵mian的de信xin號hao鏈lian示shi例li中zhong建jian議yi的de全quan部bu前qian端duan組zu件jian。正zheng因yin為wei轉zhuan換huan器qi精jing度du達da到dao或huo超chao過guo係xi統tong定ding義yi的de係xi統tong精jing度du規gui格ge,所suo以yi,還hai有you更geng多duo的de不bu精jing確que性xing要yao理li解jie——即前端、電源、任何其他外部影響或環境。
如上圖3所示,這種信號鏈的設計可能非常複雜,超過了本文討論的範圍。但可以對與這種信號鏈相關的不精確性/誤差進行簡單總結,如表2所示。

表2:圖3所示信號鏈的累積誤差

圖5.前端噪聲已定義的簡單數據采集信號鏈。
在zai任ren何he信xin號hao鏈lian裏li都dou存cun在zai許xu多duo誤wu差cha,更geng不bu用yong說shuo電dian纜lan和he其qi他ta外wai部bu影ying響xiang,這zhe些xie因yin素su也ye可ke能neng在zai很hen大da程cheng度du上shang決jue定ding著zhe這zhe種zhong係xi統tong的de設she計ji。無wu論lun累lei積ji誤wu差cha怎zen樣yang,最zui終zhong都dou會hui與yu信xin號hao一yi起qi在zai轉zhuan換huan器qi端duan被bei采cai樣yang——假設誤差不會大到能屏蔽被采樣信號的程度!
zaiyongzhuanhuanqijinxingshejishi,yaojizhu,duiyuxitongjingdudedingyi,dengshibaokuolianggebufen。yishishangmianmiaoshudezhuanhuanqibenshen,ershiyonglaizaizhuanhuanqizhiqiantiaolixinhaodesuoyouzujian。jizhu,meidiushi1位,動態範圍就會減少6 dB。推論就是,每獲得1位,係統靈敏度就會增長2倍。因此,前端要求的精度規格要遠遠高於用於對信號采樣的轉換器精度。
為了展示這一點,我們采用與圖3所示相同的前端設計。假設,前端本身的不精確性為20 mV p-p;即是圖5所示累積噪聲。係統精度仍然定義為0.1%。同樣的12位轉換器,其精度能否達到定義的係統規格要求?答案是不能,原因如下。
以下是其計算方法,其中所用ADC的SNR = 60 dB。
(24) ADC誤差 前端誤差
注意,20 mV的噪聲可使係統靈敏度下降1位或6 dB,使係統性能從要求的60 dB降至54 dB。為了解決這個問題,可能應該選擇一種新型轉換器,以便維持60 dB或0.1%的係統精度。我們選擇一款ADC,其SNR/動態範圍為70 dB,或者,其ENOB為11.34位,看看是否有用。
(25) ADC誤差 前端誤差
看起來性能並無多大變化。為什麼?因為前端的噪聲太大,無法實現0.1%的精度,雖然轉換器的性能本身要遠遠好於規格要求。需要改變前端設計,以便實現需要的性能。這種情況如下麵的圖6所示。知道最後一個配置示例為什麼不起作用嗎?設計人員並不能簡單地選擇一款更好的ADC來提高係統的整體性能。

圖6.前端噪聲與12位70 dB ADC噪聲比較。
加總情況
前麵選擇的10 V滿量程、12位ADC的動態範圍為60 dB,可實現0.1%的精度。這意味著,總累積誤差需要小於10 mV或10 V/(1060/20),才能達到0.1%的精度要求。因此,必須更換前端組件,以把前端誤差降至9 mV p-p,如圖7所示,所用轉換器的SNR為70 dB。

圖7.低前端噪聲與12位70 dB ADC噪聲比較。
如果要使用14位、74 dB ADC,如圖8suoshi,zeduiqianduandeyaoqiushenzhikeyijinyibufangkuan。danzhezhongzhezhongkenenghuidaozhichengbenzengjia。zhexiezhezhongyaogenjujutideshejiheyingyongjinxingpinggu。julilaishuo,gengzhidedezuofakenengshijiadaduirongchagengxiao、漂移更低的電阻的投入,而不是投資采購性能更強的ADC。

圖8.前端噪聲與14位74 dB ADC噪聲比較。
分析總結
前文簡要介紹了精度誤差、fenbianlvhedongtaifanweizhijiandeguanxi,zhexiezhibiaoweizhenduijutiyingyongxuanzezhuanhuanqitigonglebutongdecankao,zhexieyingyongzeyaoqiudadaoyidingdeceliangjingdu。lejiesuoyouzujianwuchayijizhexiewuchaduixinhaoliandeyingxiangzhiguanzhongyao。zhuyi,bingfeisuoyouzujianjunshengerpingdeng!創建囊括所有這些誤差的電子表是插入不同信號鏈組件的簡便方法,可更快進行評估並決定組件的權衡取舍,如表2所(suo)示(shi)。在(zai)不(bu)同(tong)組(zu)件(jian)的(de)成(cheng)本(ben)之(zhi)間(jian)進(jin)行(xing)權(quan)衡(heng)時(shi),尤(you)其(qi)如(ru)此(ci)。另(ling)外(wai),有(you)關(guan)如(ru)何(he)生(sheng)成(cheng)這(zhe)種(zhong)電(dian)子(zi)表(biao)格(ge)的(de)討(tao)論(lun)將(jiang)在(zai)本(ben)係(xi)列(lie)第(di)三(san)部(bu)分(fen)進(jin)行(xing)。最(zui)後(hou),請(qing)記(ji)住(zhu),單(dan)純(chun)增(zeng)加(jia)信(xin)號(hao)鏈(lian)中(zhong)轉(zhuan)換(huan)器(qi)的(de)性(xing)能(neng)或(huo)分(fen)辨(bian)率(lv)無(wu)法(fa)提(ti)升(sheng)測(ce)量(liang)精(jing)度(du)。如(ru)果(guo)依(yi)舊(jiu)存(cun)在(zai)同(tong)樣(yang)數(shu)量(liang)的(de)前(qian)端(duan)噪(zao)聲(sheng),精(jing)度(du)將(jiang)不(bu)會(hui)得(de)到(dao)改(gai)善(shan)。隻(zhi)會(hui)讓(rang)這(zhe)些(xie)噪(zao)聲(sheng)或(huo)不(bu)精(jing)確(que)性(xing)測(ce)量(liang)達(da)到(dao)更(geng)精(jing)細(xi)的(de)程(cheng)度(du),並(bing)最(zui)終(zhong)可(ke)能(neng)讓(rang)設(she)計(ji)人(ren)員(yuan)的(de)老(lao)板(ban)付(fu)出(chu)更(geng)多(duo)的(de)成(cheng)本(ben)。
推薦閱讀:
特別推薦
- 噪聲中提取真值!瑞盟科技推出MSA2240電流檢測芯片賦能多元高端測量場景
- 10MHz高頻運行!氮矽科技發布集成驅動GaN芯片,助力電源能效再攀新高
- 失真度僅0.002%!力芯微推出超低內阻、超低失真4PST模擬開關
- 一“芯”雙電!聖邦微電子發布雙輸出電源芯片,簡化AFE與音頻設計
- 一機適配萬端:金升陽推出1200W可編程電源,賦能高端裝備製造
技術文章更多>>
- 從機械執行到智能互動:移遠Q-Robotbox助力具身智能加速落地
- 品英Pickering將亮相2026航空電子國際論壇,展示航電與電池測試前沿方案
- 模擬芯片設計師的噩夢:晶體管差1毫伏就廢了,溫度升1度特性全飄
- 3A大電流僅需3x1.6mm?意法半導體DCP3603重新定義電源設計
- 芯科科技Tech Talks與藍牙亞洲大會聯動,線上線下賦能物聯網創新
技術白皮書下載更多>>
- 車規與基於V2X的車輛協同主動避撞技術展望
- 數字隔離助力新能源汽車安全隔離的新挑戰
- 汽車模塊拋負載的解決方案
- 車用連接器的安全創新應用
- Melexis Actuators Business Unit
- Position / Current Sensors - Triaxis Hall
熱門搜索




