如何用加速度計提高傾角測量精度
發布時間:2018-03-12 來源:Allen Fan 責任編輯:wenwei
【導讀】本文旨在探討如何用組合器件一類的加速度計提高傾角測量的精度。在乘用車上,電動駐車製動器(EPB)被用於使汽車在平坦的分級道路上保持靜止。這是通過用一個單軸或雙軸加速度計測量傾角來實現的。一般做法是將一個X軸/Y軸或Z軸低g加速度計裝在EPB控製單元中一個專門的模塊中。
現在,越來越多的汽車配有ESC(電子穩定控製)功能,在單個芯片中集成了組合式低g加速度計和陀螺儀。這樣做是為了防止汽車側滑和翻車;如今,ESC功能已經成為世界各國或地區法律的強製要求。如果通過組合器件(單芯片、組合式加速度計和陀螺儀)實現傾角測量,則不必在車上安裝一個獨立的EPB模塊,結果可以大幅降低汽車的成本。由於組合器件通常用於ESC,所以並未針對傾角檢測優化,並且通過組合器件測量傾角時,測量精度有時無法達到要求。由於組合器件是XY軸或XYZ軸,所以通常用X軸進行傾角測量,EPB模塊中的部分傳統型低-g加速度計使用的是Z軸,因為它是垂直安裝在發動機艙裏的。檢測軸應該與重力垂直,才能取得更高的精度——我們稍後會討論這一點。

圖1. X軸和Z軸加速度計的安裝示意圖。
對於汽車中的傾角測量,評估精度是非常重要的。不妨想像,您的車停在絕對平坦的地麵,因此,加速度計計算的傾角應該是0°。如果您的車停在斜坡上,就應該精確地檢測出傾角,以便正確地激活刹車係統。

圖2. X軸檢測傾角測量示意圖。

其中:
AOUT 為加速度計的輸出,單位為g。
θ 為斜坡的傾角,單位為度。

圖3. sin θ對θ隨θ增大而下降的靈敏度。
由於sin θ是一個非線性函數,所以,AOUT與θ之間的關係是非線性 的,在接近零時其線性度處於最佳狀態,即其此時具有最佳的測量精度。隨著θ的增大,測量精度下降。這正是檢測軸應與重力垂直的原因,因為道路坡度將接近零
對於汽車傾角測量,不必在全斜坡坡度的條件下考慮係統。現實世界中,道路上的絕大多數斜坡坡度不會超過30°。我們隻需要分析在±30°的範圍內分析貢獻因素的精度即可。
影響係統級測量精度的貢獻因素有多個:
* 靈敏度誤差和初始絕對失調
* 非線性度
* 與初始絕對失調的總失調變化
* 噪聲
靈敏度誤差和初始絕對失調
靈敏度誤差
靈敏度是對輸入-輸出測得的傳遞函數的斜率,通常為+1g和–1g。靈敏度誤差為器件間的靈敏度偏差。例如,有些加速度計的最大靈敏度為3%。

圖4. 輸入-輸出加速度靈敏度誤差。
初始絕對失調
範圍內的失調約為25°C;例如,在模塊製造完成後立即測量的值為25°C ± 5°C。初始絕對失調表示大量器件的實測偏移值的標準差。
兩點校準
對(dui)於(yu)傾(qing)角(jiao)測(ce)量(liang)應(ying)用(yong),兩(liang)個(ge)主(zhu)要(yao)的(de)誤(wu)差(cha)來(lai)自(zi)失(shi)調(tiao)誤(wu)差(cha)和(he)靈(ling)敏(min)度(du)誤(wu)差(cha)。這(zhe)兩(liang)種(zhong)誤(wu)差(cha)會(hui)導(dao)致(zhi)不(bu)可(ke)接(jie)受(shou)的(de)檢(jian)測(ce)結(jie)果(guo),因(yin)此(ci)不(bu)得(de)忽(hu)略(lve)。如(ru)果(guo)我(wo)們(men)希(xi)望(wang)消(xiao)除(chu)這(zhe)些(xie)部(bu)分(fen)誤(wu)差(cha),則(ze)應(ying)對(dui)加(jia)速(su)度(du)輸(shu)出(chu)進(jin)行(xing)校(xiao)準(zhun)。一(yi)般(ban)地(di),要(yao)對(dui)傾(qing)角(jiao)測(ce)量(liang)的(de)失(shi)調(tiao)和(he)靈(ling)敏(min)度(du)進(jin)行(xing)一(yi)次(ci)校(xiao)準(zhun)。若(ruo)要(yao)考(kao)慮(lv)失(shi)調(tiao)和(he)靈(ling)敏(min)度(du)誤(wu)差(cha),則(ze)加(jia)速(su)度(du)計(ji)輸(shu)入(ru)與(yu)輸(shu)出(chu)的(de)關(guan)係(xi)為(wei):
其中:
- A輸出 為失調誤差,單位為g。
- 增益為加速度計的增益,理想值為1。
- A實際為施加於加速度計的實際加速度,單位為g。
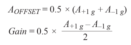
有兩種基本校準技術;其中一種是單點校準。這種校準的具體做法是在加速度計上施加一個0g場,然後測量輸出。這類校準隻能用於校準失調誤差,不能校準增益誤差。然後,從實際輸出值中減去0g場裏的輸出結果,消除失調誤差。這種校準方法非常簡單,但精度不足,因為仍然存在靈敏度誤差。另一種方法是1g翻轉校準,在+1g和–1g時采用兩點校準,並在每個+1g和–1g場內按照以下公式測量加速度輸出:

其中,失調A失調的單位為g。
以這兩點信息為基礎,可以按照以下方法解出失調和增益:

其中,+1g和 1g測量值、A+1g和A–1g均以g為單位。
經過這一次校準以後,可以用該等式計算實際加速度,每次都會消除失調誤差和靈敏度誤差。

其中,A失調和A輸出以g為單位。
非線性度
器件的非線性度為測得加速度(AMEA)與理想線性輸出加速度(AFIT)之間的最大偏差。加速度測量數據集應包括加速度計的滿量程範圍。其測量方式為Max(|AMEA – AFIT|)。

圖5. 器件非線性度。
其中:
AMEA為給定gn下的測得加速度。
AFIT 為給定gn下的預測加速度。
多數加速度計或組合器件在給定輸入加速度計範圍內均存在非線性——例如,30 mg ± 2g的範圍。對於傾角測量應用,輸入坡道斜率在±30°以內,這意味著輸出加速度範圍在±500 mg (±1g× sin 30°)yinei,suoyiyingzhongxinpinggugaifanweineidefeixianxingdu。youyufeixianxingduzaizhenggeshurufanweineishifeixianxingde,suoyi,hennanzhunquedilianghuapingguzhebufenwucha。raner,youyugaiqijiandeshujushoucetongchangdouhenbaoshou,xianxingduwei30 mg,輸入範圍為±2g,用10 mg計算±500 mg範圍內的誤差更合理些。
與初始絕對失調的總失調變化
與初始絕對失調的總失調變化為溫度、應力和老化效應導致的失調的最大偏差。該偏差是相對於給定器件的初始絕對失調進行測量的。這是精度總誤差的主要貢獻因素。
在溫度、應力、laohuadengsuoyouzhexieyinsuzhong,bianhuayuwenduzaizongshitiaobianhuazhongzhanbihenda。yibandi,bianhuayuwenduquxianshierjiequxian,tongchangweixuanzhuanpaowuxian。weilexiaochuzhebufenwucha,keyizaixitongjizhixingsandianxiaozhun。duiyugeidingqijian,keanxialiebuzhouxiaozhunshuchushitiaosuiwendudebianhuazhi。
第1步:
使器件的輸出響應以某個 ∆N0值偏移。溫度校準流程的第一步是 消除環境溫度下的失調。

圖6. 第1步:消除環境溫度下的失調。

圖7. 第2步:在消除環境溫度下的失調之後。
第2步:
接下來,在高溫下測試器件,用獲得的新信息生成失調校正線性公式。

圖8. 第3步:消除高溫下的拋物線旋轉分量。

圖9. 第4步:在消除高溫下的拋物線旋轉分量之後。
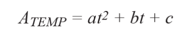
第3步:
給現有公式添加一個二階分量,校正失調剩餘部分。設二階曲線遵循以下公式:
這是二階拋物線公式,已經通過第1步和第2步消除了旋轉分量。
在該公式中,該二階拋物線有三個解:

然後,我們可以得到溫度係數 a, b, c.

圖10. 第5步:添加二階分量,消除剩餘失調。
有關∆N0, ∆N1, ∆N2, a, b, c desuoyouwenduxishuxinxiyinggaicunchuzaixitongfeiyishixingcunchuqizhong,tongshixuyaoyigebanzaiwenduchuanganqi。xitonghuizaimeicishangdianhoulixingxiaozhunjiasuduji,quebaoxiaochushitiaosuiwendudebianhuazhi。
噪聲
基於單個數據樣本測量傾角不一定可靠。即使加速度計的噪聲為零,傾角測量也是在汽車啟動時測量的,所以,需要減小發動機、過guo往wang車che輛liang或huo乘cheng客ke在zai車che上shang來lai回hui移yi動dong導dao致zhi的de任ren何he振zhen動dong。最zui好hao的de辦ban法fa是shi在zai不bu降jiang至zhi最zui低di數shu據ju速su率lv要yao求qiu的de條tiao件jian下xia,在zai盡jin量liang長chang的de時shi間jian內nei做zuo數shu據ju平ping均jun。數shu據ju平ping均jun算suan法fa會hui減jian少shaorms噪聲。
假如我們對噪聲采樣,結果可得到每個樣本的方差
求一個隨機變量的均值,獲得以下方差,

由於噪聲方差保持於σ2不變,

以上推導顯示,對同一未校正噪聲的n次實現求均值可使噪聲功率減少n倍,並使rms噪聲減少√n。
由於隨機噪聲受高斯分布影響,所以,rms噪聲等於高斯分布的標準差。6σ以內的最小分布為97%。
例如,如果以1 kSPS的采樣率對每100 ms的數據求均值,則最大rms噪聲 = 0.4 mg,即是說如果以6σ作為與平均值的距離,則此時的峰值噪聲僅為2.4 mg。
用於與rms值相乘的因數取決於器件要執行的任務的統計需求。例如,如果選擇6作為因數(峰峰值噪聲為6 × RMS_Noise),則算法在器件生命周期內要運行的次數會影響超過最差情況6 × RMS_Noise 的概率。可總結如下:
E為在生命周期內超過最差情況的預期次數,M為生命周期內的運行次數,r為超過最差情況的概率。基於此,我們可以通過乘以rms噪聲評估出一個合理的因數。
小結
以ADI公司的ADXC1500/ADXC1501(組合式陀螺儀和2軸/3軸加速度 計)為例,所有誤差貢獻項均列於表1中,包括校準和不校準兩種情況。我們可以假設,總失調變化為二次曲線,並且其在溫度範圍內的變化占總失調變化的80%。另外,以6為因數乘以最大rms噪聲。
yigetuoluoyiheyigesanzhoujiasudujidedanxinpianjichengfangankeyishixianduozhongxinxingyingyong,youqishizaiqicheanquanxitonghegongyezidonghuayingyonglingyu。weileshejigengjiakekao、高精度的汽車安全係統,例如,穩定的電子控製係統(ESC)和側翻檢測係統,盡量減少係統誤差至關重要。汽車中已安裝這些傳統型底盤控製係統,包括防抱死製動係統、牽引控製和偏航控製係統。

表1. 校準前後的誤差貢獻
推薦閱讀:
特別推薦
- 噪聲中提取真值!瑞盟科技推出MSA2240電流檢測芯片賦能多元高端測量場景
- 10MHz高頻運行!氮矽科技發布集成驅動GaN芯片,助力電源能效再攀新高
- 失真度僅0.002%!力芯微推出超低內阻、超低失真4PST模擬開關
- 一“芯”雙電!聖邦微電子發布雙輸出電源芯片,簡化AFE與音頻設計
- 一機適配萬端:金升陽推出1200W可編程電源,賦能高端裝備製造
技術文章更多>>
- 從機械執行到智能互動:移遠Q-Robotbox助力具身智能加速落地
- 品英Pickering將亮相2026航空電子國際論壇,展示航電與電池測試前沿方案
- 模擬芯片設計師的噩夢:晶體管差1毫伏就廢了,溫度升1度特性全飄
- 3A大電流僅需3x1.6mm?意法半導體DCP3603重新定義電源設計
- 芯科科技Tech Talks與藍牙亞洲大會聯動,線上線下賦能物聯網創新
技術白皮書下載更多>>
- 車規與基於V2X的車輛協同主動避撞技術展望
- 數字隔離助力新能源汽車安全隔離的新挑戰
- 汽車模塊拋負載的解決方案
- 車用連接器的安全創新應用
- Melexis Actuators Business Unit
- Position / Current Sensors - Triaxis Hall
熱門搜索




