新型觸摸屏控製器助便攜裝置顯示如虎添翼
發布時間:2020-01-15 來源:Gareth Finn 責任編輯:wenwei
【導讀】觸摸屏顯示器能夠檢測顯示區域上是否有人觸摸以及觸摸位置,因此各種設備上的機械按鈕正日漸被這種顯示器所取代,包括智能電話、MP3 播放器、GPS 導航係統、數碼相機、筆記本電腦、遊戲機和實驗室儀器等。第一代此類設備不太精確,存在誤檢率高和功耗過大的問題。新型觸摸屏控製器1, 如AD78792等,可提供更高的精度、更低的功耗和結果濾波功能。這些器件還可以檢測溫度、電源電壓和觸摸壓力,有助於現代觸摸屏顯示器實現魯棒的檢測。
觸摸屏的工作原理
首先,讓我們看看電阻式觸摸屏如何工作。圖1顯示了觸摸屏的基本結構和工作原理圖。

圖 1. 電阻式觸摸屏的結構
觸摸屏由兩層塑料薄膜組成,各薄膜層上均塗有一層導電金屬(通常是氧化銦錫),中間的空氣間隙將二者分開。電源電壓激勵其中的一塊板,上圖中為 X 板。觸摸屏幕時,兩塊導電板碰到一起,在 X 板上構成一個電阻分壓器。接觸點的電壓通過 Y+ 電極檢測,代表X板上的位置,如圖 2 所示。然後重複上述過程,電源電壓激勵Y板,並通過 X+ 電極檢測 Y 位置。


圖2. X 位置測量
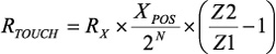
接下來,將電源電壓置於 Y+ 和 X– 上,再進行兩次屏幕測量:測量X+上的電壓得出Z1,測量Y– 上的電壓得出Z2。這些測量結果可以用來估計觸摸壓力,其方法有兩種。如果 X 板的電阻已知,則觸摸電阻的計算公式為:

如果 X 板和Y 板的電阻均已知,則觸摸電阻的計算公式為:

觸摸電阻值越大,則表示觸摸壓力越小。
AD7879 觸摸屏控製器
AD7879 觸chu摸mo屏ping控kong製zhi器qi設she計ji用yong於yu與yu四si線xian式shi電dian阻zu觸chu摸mo屏ping接jie口kou。除chu了le檢jian測ce觸chu摸mo動dong作zuo外wai,它ta還hai能neng測ce量liang溫wen度du和he輔fu助zhu輸shu入ru端duan的de電dian壓ya。所suo有you四si種zhong觸chu摸mo測ce量liang加jia上shang溫wen度du、電池、輔助電壓測量,均可以通過編程寫入其片內序列器。寬電源電壓範圍(1.6 V 至3.6 V)、小尺寸(12 引腳、1.6 mm ×2 mm WLCSP封裝或16 引腳、4 mm ×4 mm LFCSP封裝)以及低功耗(轉換時480 μA,關斷模式 0.5 μA),使這款控製器可以靈活地用於各種產品。
觸摸喚醒
可以將AD7879 配(pei)置(zhi)為(wei)在(zai)發(fa)生(sheng)觸(chu)摸(mo)屏(ping)幕(mu)事(shi)件(jian)時(shi)啟(qi)動(dong)並(bing)轉(zhuan)換(huan),在(zai)釋(shi)放(fang)之(zhi)後(hou)進(jin)入(ru)省(sheng)電(dian)模(mo)式(shi)。這(zhe)種(zhong)配(pei)置(zhi)非(fei)常(chang)適(shi)合(he)注(zhu)重(zhong)節(jie)約(yue)電(dian)量(liang)的(de)電(dian)池(chi)供(gong)電(dian)設(she)備(bei)。每(mei)個(ge)轉(zhuan)換(huan)序(xu)列(lie)完(wan)成(cheng)之(zhi)後(hou),AD7879 向主機微控製器發送一個中斷,將其從低功耗模式喚醒,以便處理數據。這樣,屏幕被觸摸之前微控製器的功耗也會極低。圖3 顯示了觸摸喚醒功能的設置。

圖3. 觸摸喚醒設置
觸摸屏幕時,X 板與 Y 板接觸,拉低限變器輸入,從而喚醒AD7879,隨後開始轉換。轉換結束時,AD7879 向主機發送一個中斷。
結果濾波
在典型的顯示器中,電阻板位於液晶顯示器(LCD) 之上,LCD 會產生大量噪聲,影響位置測量。這種噪聲由脈衝噪聲和高斯噪聲組合而成。AD7879 提供的中值濾波器和均值濾波器可降低這種噪聲。可以將序列器配置為利用 2 個、4 個、8 個或16 個樣本進行位置測量,而不是利用單個樣本進行測量。這些樣本經過排序、中值濾波和均值濾波,便可得到噪聲更低、精度更高的結果。圖 4 清楚顯示了其原理。獲得16 個位置測量結果,然後按由低到高的順序排序。剔除四個最大測量結果和四個最小測量結果,以消除脈衝噪聲;對dui剩sheng餘yu的de八ba個ge采cai樣yang值zhi求qiu平ping均jun值zhi,以yi降jiang低di高gao斯si噪zao聲sheng。這zhe種zhong方fang法fa還hai有you一yi個ge額e外wai好hao處chu,即ji可ke以yi降jiang低di所suo需xu的de主zhu機ji處chu理li工gong作zuo量liang和he主zhu機ji與yu觸chu摸mo屏ping控kong製zhi器qi的de通tong信xin量liang。

圖4. 中值和均值濾波
推薦閱讀:
特別推薦
- 噪聲中提取真值!瑞盟科技推出MSA2240電流檢測芯片賦能多元高端測量場景
- 10MHz高頻運行!氮矽科技發布集成驅動GaN芯片,助力電源能效再攀新高
- 失真度僅0.002%!力芯微推出超低內阻、超低失真4PST模擬開關
- 一“芯”雙電!聖邦微電子發布雙輸出電源芯片,簡化AFE與音頻設計
- 一機適配萬端:金升陽推出1200W可編程電源,賦能高端裝備製造
技術文章更多>>
- 貿澤EIT係列新一期,探索AI如何重塑日常科技與用戶體驗
- 算力爆發遇上電源革新,大聯大世平集團攜手晶豐明源線上研討會解鎖應用落地
- 創新不止,創芯不已:第六屆ICDIA創芯展8月南京盛大啟幕!
- AI時代,為什麼存儲基礎設施的可靠性決定數據中心的經濟效益
- 矽典微ONELAB開發係列:為毫米波算法開發者打造的全棧工具鏈
技術白皮書下載更多>>
- 車規與基於V2X的車輛協同主動避撞技術展望
- 數字隔離助力新能源汽車安全隔離的新挑戰
- 汽車模塊拋負載的解決方案
- 車用連接器的安全創新應用
- Melexis Actuators Business Unit
- Position / Current Sensors - Triaxis Hall
熱門搜索
微波功率管
微波開關
微波連接器
微波器件
微波三極管
微波振蕩器
微電機
微調電容
微動開關
微蜂窩
位置傳感器
溫度保險絲
溫度傳感器
溫控開關
溫控可控矽
聞泰
穩壓電源
穩壓二極管
穩壓管
無焊端子
無線充電
無線監控
無源濾波器
五金工具
物聯網
顯示模塊
顯微鏡結構
線圈
線繞電位器
線繞電阻



