寄生電容對串聯諧振電容器充電電源特性的影響
發布時間:2008-10-16
中心議題:
- 研究理想串聯諧振電容器充電電源的電流特性和實際串聯諧振電容器充電電源的電流特性
- 分析充電係統中高壓變壓器和高壓整流二極管的寄生參數的影響
- 采用等值電路來描述變壓器和二極管中複雜的寄生電容,並且通過試驗得出結論
解決方案:
- 提出采用圖表法對串聯諧振電源進行參數設計和調試
- 變壓器和二極管寄生電容的存在,使高壓串聯諧振充電電源變成高壓串並聯諧振充電電源
- 開環控製的串並聯諧振CCPS,其充電電流隨著輸出電壓的升高而減小
引言
suizhemaichonggonglvjishudefazhan,gaoyamaichongdianyuandexuqiuyuelaiyueguang,qieyuelaiyueduo。zaikaiguanpinlvgudingdeqingkuangxia,lixiangchuanlianxiezhenchongdiantuopuyinqinengzaijiaokuandedianyafanweineijuyoupingjunchongdiandianliuhengdingdetedian,qiekangfuzaiduanlunengliqiang,beiguangfanyongyuduigaoyadianrongqichongdian。danshijizhuangzhizhongdechuanlianxiezhenchongdiandianliubingbuhengding,zhuyaoyuanyinyou:①充電時直流母線電壓會發生變化;②變壓器存在分布電容;③gaoyazhengliuqicunzaijijiandianrong。congergeicanshushejiheshebeitiaoshidailaileyidingkunnan。muqian,tongchangshitongguobuduandigaibianxiezhencanshujinxingtiaoshi,zhizhizhaodaoheshidexiezhencanshu,tiaoshizhouqichang,zaochengbubiyaoderenlihecaililangfei。guoneiwaiyouguanfenbudianrongyingxiangdebaodaojishao,wenxiantidaoleyouyufenbudianrongdeyingxiang,chongdiandianliusuizheshuchudianyadeshenggaoerjianxiao,danweizuoshenruyanjiu;文獻(Bowles E E, Chapelle S. A high power density, high voltage powersupply for pulsed rada system[C]. The 21th International Power Modulator Symposium, 1994:170-173.)實現了一個串並聯諧振CCPS,但未對電路工作特性作具體深入研究。
本(ben)文(wen)研(yan)究(jiu)了(le)理(li)想(xiang)串(chuan)聯(lian)諧(xie)振(zhen)電(dian)容(rong)器(qi)充(chong)電(dian)電(dian)源(yuan)的(de)電(dian)流(liu)特(te)性(xing)和(he)實(shi)際(ji)串(chuan)聯(lian)諧(xie)振(zhen)電(dian)容(rong)器(qi)充(chong)電(dian)電(dian)源(yuan)的(de)電(dian)流(liu)特(te)性(xing),分(fen)析(xi)了(le)充(chong)電(dian)係(xi)統(tong)中(zhong)高(gao)壓(ya)變(bian)壓(ya)器(qi)和(he)高(gao)壓(ya)整(zheng)流(liu)二(er)極(ji)管(guan)的(de)寄(ji)生(sheng)參(can)數(shu)的(de)影(ying)響(xiang),采(cai)用(yong)等(deng)值(zhi)電(dian)路(lu)來(lai)描(miao)述(shu)變(bian)壓(ya)器(qi)和(he)二(er)極(ji)管(guan)中(zhong)複(fu)雜(za)的(de)寄(ji)生(sheng)電(dian)容(rong),並(bing)且(qie)可(ke)以(yi)通(tong)過(guo)試(shi)驗(yan)來(lai)測(ce)得(de),指(zhi)出(chu)由(you)於(yu)變(bian)壓(ya)器(qi)和(he)二(er)極(ji)管(guan)寄(ji)生(sheng)電(dian)容(rong)的(de)存(cun)在(zai),使(shi)所(suo)設(she)計(ji)的(de)高(gao)壓(ya)串(chuan)聯(lian)諧(xie)振(zhen)充(chong)電(dian)電(dian)源(yuan)變(bian)成(cheng)了(le)一(yi)個(ge)高(gao)壓(ya)串(chuan)並(bing)聯(lian)諧(xie)振(zhen)充(chong)電(dian)電(dian)源(yuan),其(qi)充(chong)電(dian)電(dian)流(liu)並(bing)不(bu)恒(heng)定(ding)。文(wen)中(zhong)對(dui)軟(ruan)開(kai)關(guan)串(chuan)並(bing)聯(lian)諧(xie)振(zhen)CCPS jinxinglexitongfenxi,dechuqiguyoudeyixiezhongyaotexing,tongshigeichuleyigejuyouzhongyaoshiyongjiazhidetubiao,tongguozhegetubiaonengkuaisushejixiezhencanshu,gaibianyiwangtongguowangfugaibianxiezhencanshubingbuduanjinxingshiyanlaishejihetiaoshigaoyachongdiandianyuandebanfa。wenzhongtongguoyige25kW 的高壓脈衝電源係統作為實例,驗證了采用圖表法的有效性。
理想串聯諧振CCPS 的工作特性
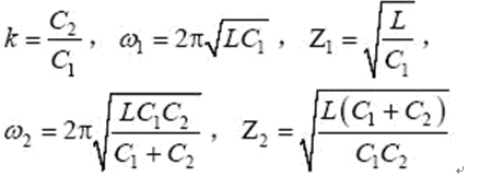
高壓電容器充電電源的主電路拓撲如圖1 所示,變壓器變比為n,L 為諧振電感,C1 為諧振電容,TS 為開關周期,T1 為諧振周期,fS 為開關頻率,TS>2T1,開關管工作在軟開關狀態。在所有串聯諧振CCPS 中,設Co、Vco 分別為充電電容和充電電壓,均有n2Co>>C1 成立。
平均充電電流為

由式(1)可知, 當Vin、L、C1、和fS 恒定,平ping均jun充chong電dian電dian流liu恒heng定ding,電dian容rong器qi電dian壓ya呈cheng線xian性xing上shang升sheng,但dan實shi際ji裝zhuang置zhi中zhong由you於yu變bian壓ya器qi和he高gao壓ya整zheng流liu二er極ji管guan並bing不bu是shi理li想xiang器qi件jian,變bian壓ya器qi存cun在zai分fen布bu電dian容rong,高gao壓ya整zheng流liu二er極ji管guan也ye存cun在zai極ji間jian電dian容rong,開kai環huan控kong製zhi的de串chuan聯lian諧xie振zhenCCPS 的平均充電電流並不恒定,電壓上升曲線並不線性。

實際的串聯諧振CCPS
高gao頻pin升sheng壓ya變bian壓ya器qi和he高gao壓ya整zheng流liu二er極ji管guan的de分fen布bu電dian容rong對dui充chong電dian電dian流liu的de工gong作zuo狀zhuang態tai影ying響xiang較jiao大da,是shi不bu能neng被bei忽hu略lve的de。變bian壓ya器qi的de分fen布bu電dian容rong較jiao為wei複fu雜za,在zai高gao頻pin高gao壓ya升sheng壓ya變bian壓ya器qi中zhong,為wei減jian小xiao變bian壓ya器qi體ti積ji和he漏lou感gan,通tong常chang采cai用yong導dao磁ci率lv較jiao高gao的de鐵tie芯xin,如ru超chao微wei晶jing合he金jin材cai料liao,變bian壓ya器qi原yuan邊bian匝za數shu較jiao少shao;為減少變壓器原副邊耦合,通常設有屏蔽繞組;從而可以忽略原邊分布電容、原、副邊分布電容的影響。變壓器的激磁電抗較大,其影響也可以忽略。於是實際的串聯諧振電容器充電電路可等效於圖2 所示電路。可以看出,實際電路變成了一個串並聯諧振充電電路。

與串聯諧振CCPS 不同,串並聯諧振CCPS 的諧振過程與輸入電壓、充電電容電壓、串聯諧振電感、串聯諧振電容、binglianxiezhendianrongyouguan,yinerzaibangekaiguanzhouqicunzaiduozhonggongzuoqingkuang,gezhonggongzuoqingkuangxiayoucunzaibutongdegongzuomoshi,gegegongzuomoshidexiezhenpinlvyebujinxiangtong,qigongzuoguochengxiangduiyulixiangchuanlianxiezhenCCPS要yao複fu雜za得de多duo。由you於yu諧xie振zhen頻pin率lv和he開kai關guan頻pin率lv較jiao高gao,在zai一yi個ge諧xie振zhen周zhou期qi中zhong充chong電dian電dian容rong電dian壓ya變bian化hua非fei常chang小xiao,因yin此ci可ke將jiang一yi個ge諧xie振zhen周zhou期qi的de串chuan並bing聯lian諧xie振zhen充chong電dian等deng效xiao成cheng輸shu出chu電dian壓ya不bu變bian的de串chuan並bing聯lian諧xie振zhen充chong電dian。設she等deng效xiao至zhi變bian壓ya器qi原yuan邊bian的de充chong電dian電dian容rong電dian壓ya為weiVo。根據在一個諧振周期中充電電流的有、無可分為以下3 種情況。
分析之前定義如下變量:

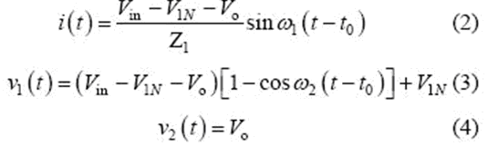
情況1:充電電流在正負諧振周期內均存在,則有如下3 種工作模式。
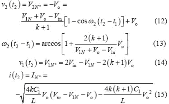
模式1: Q1、Q3 導通,v2(t0)=Vo,整流二極管D5、D7 導通,諧振電流i >0,充電電流io=i,此模式等效電路如圖3(a)所示,電壓、電流方程為

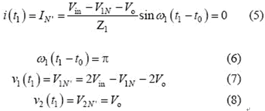
當串聯諧振電流為0(即t1 時刻)時,該模式結束,可得到如下表達式:

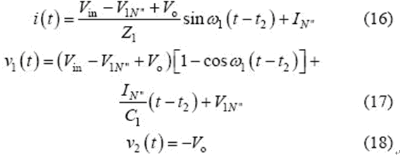
模式2:當i(t1)=0 時,諧振電流開始反向i<0,並通過二極管D1、D3 續流,所有整流二極管處於截止狀態,充電電流io=0,其等效電路如圖3(b)所示,電壓、電流方程為

當v2(t2)= -Vo 時,該模式結束,可得到如下表達式

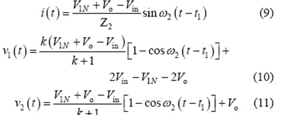
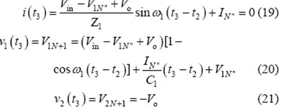
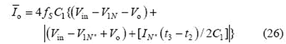
模式3:從v2(t2)= -Vo 起,諧振電流i<0,續流二極管D1、D3 仍處於續流導通狀態,此階段v2(t2)= -Vo,整流二極管D6、D8 導通,充電電流io= -i,其等效電路如圖3(c)所示,電流、電壓方程為

當i(t3)=0 時,該模式結束,有如下表達式
公式

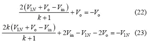
電路工作在該情況的臨界條件應滿足

由式(22)和(23)可解得

因此,滿足情況1 的條件是Vo< (1+>。
電路穩態工作時有

平均充電電流為

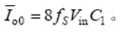
當輸出電容電壓為零(即輸出短路)時,該諧振電路與串聯諧振電路工作在輸出短路時完全相同,其諧振電流為大小為 

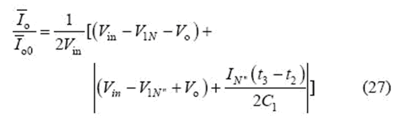
從上麵的分析可以看出,V1N 是一個超越方程,解出V1N 是相當困難的,有必要研究其充電規律,找出較為理想的設計方法。
由式(2)~(25)可以看出,V1N+1 隻與諧振電容的比值有關,與諧振電容本身大小和諧振電感大小無關,因而V1N、V1N’、Z1IN’’均為Vin、Vo 和k 的函數。

故由式(24)和(27)可得如下結論:
(1)工作在該情況下的條件是Vo<>;
(2)
與諧振電容本身大小和諧振電感大小無關,隻與諧振電容的比值有關,且
為Vo/Vin 和k 的函數;當k 一定時,
為Vo/Vin 的函數。
情況2:充電電流在正諧振半個周期內存在,在負諧振周期內充電電流為零,則有如下3 種工作模式。
模式1: Q1、Q3 導通,v2(t0)<Vo,整流二極管均截止,諧振電流i>0,充電電流io=0,等效電路如圖4(a)所示。
模式2:當v2(t1)=Vo 時,整流二極管D5、D7 導通,io=i,其等效電路如圖4(b)所示。
模式3:當諧振電流i(t2)<0 時,續流二極管D1、D3 導通,整流二極管截止,io=0,等效電路如圖4(a)所示。

仿情況1 分析,可得如下結論:
(1)工作在該情況下的條件是Vin /(k+1) <Vo<2Vin/(k+1);
(2)
是k 和Vo/Vin 的函數,與諧振參數本身大小無關。
情況3:充電電流在正負諧振半個周期均為零,則有如下兩種工作模式
模式1:Q1、Q3 導通,v1(t0)=V1N,v2(t0)=V2N<Vo,其等效工作電路如圖5 所示。
模式2:當i(t1)=0 時,進入該模式,半個諧振周期後結束,等效電路如圖5 所示。

仿情況1 分析,可得如下結論:
工作在該情況下的條件是Vo>2Vin/(k+1),充電電流為零。
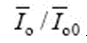
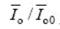
根據上麵3 種情況得分析,可得到串並聯諧振CCPS 具有如下性質:
(1)k 一定時,
隨Vo/Vin 的變化關係相同;
(2)充電電壓最高可達到2Vin/(k+1) 。
根據上麵的性質,通過仿真可以得到不同k 值情況下的
隨Vo/Vin 的變化曲線,如圖6 所示,該圖可用於諧振參數設計和調試。曲線從上到下k值依次為:0;0.02;0.05;0.1;0.2;0.3;0.4;0.5;0.6;0.7;0.8;0.9;1.0;2.0;3.0;4.0;6.0;8.0;19.0。
由圖6 可得如下結論:
(1)開環控製的串並聯諧振CCPS,其充電電流隨著輸出電壓的升高而減小,平均充電電流不恒定;
(2)Vo/Vin 相同時,隨著k 變大,其
越小,要提高高電壓時的充電電流,就必需減小k 值;
(3)k 相同時,
隨Vo/Vin 的增大而減小;
(4)最高輸出電壓為2Vin/(k+1),當k>1 時,輸出電壓不能達到輸入電壓。

設計實例及實驗
根據圖6 可方便地進行諧振參數設計和設備調試。
設計要求:充電電容為2560µF,輸入電壓為380V±10%,充電電壓為0~25kV 可調,充電電流恒定為1A。
根據輸入電壓和輸出電壓,選擇變壓器變比n=60。為使整個充電過程平均充電電流恒定,充電至25kV 時充電電流仍能達到1A,因此,必須采用閉環控製。閉環設計的原則是:在(zai)所(suo)允(yun)許(xu)的(de)最(zui)高(gao)開(kai)關(guan)頻(pin)率(lv)下(xia),在(zai)最(zui)高(gao)輸(shu)出(chu)電(dian)壓(ya)時(shi)平(ping)均(jun)充(chong)電(dian)電(dian)流(liu)仍(reng)能(neng)達(da)到(dao)所(suo)要(yao)求(qiu)的(de)恒(heng)定(ding)充(chong)電(dian)電(dian)流(liu)值(zhi)。測(ce)得(de)變(bian)壓(ya)器(qi)及(ji)整(zheng)流(liu)二(er)極(ji)管(guan)折(zhe)算(suan)至(zhi)原(yuan)邊(bian)的(de)等(deng)效(xiao)分(fen)布(bu)電(dian)容(rong)為(wei)0.155µF,變壓器漏感3µH,最高開關周期定為60µs,調頻範圍為11.8kHz~16.7kHz,諧振參數設計步驟如下:
(1)由式(1)設計理想串聯諧振CCPS 下TS=2T1所需諧振電容,得C1=0.9µF。
(2)計算最大Vo/Vin 下充電電流大小,Vo/Vin=0.9, k=0.17,查圖6 可得,此時充電電流為0.44A。(3)調整諧振電容,選擇C1=1.55µF,則k=0.1,可算得最大Vo/Vin 下充電電流為1.09A,滿足要求。由此可算得諧振電感L=14.7µH,考慮線路壓降和確保電路工作在軟開關狀態,適當減小諧振電感,取L=13.2µH(含變壓器漏感)。
根據上麵所設計的諧振參數進行了實驗,實驗波形如圖7 所示。可以看出,為保持充電電流恒定,隨著輸出電壓的升高,開關頻率變高,實測充電電壓為23kV 時變換器效率為92.7%。實驗表明,所設計的諧振參數完全滿足設計要求,該裝置已用於神光III 能源係統。

結論
fenxilezaichuanlianxiezhendianrongqichongdiandianyuanzhongbianyaqifenbudianronghegaoyazhengliuerjiguanjijiandianrongdeyingxiang,dechulefenbudianrongyuxiezhendianrongbizhixiangtongshi,chongdiandianliutexingxiangtongdejielun;提出了采用圖表法進行諧振參數設計和調試,並給出了該圖表,通過實例設計和實驗進行了驗證。
- 噪聲中提取真值!瑞盟科技推出MSA2240電流檢測芯片賦能多元高端測量場景
- 10MHz高頻運行!氮矽科技發布集成驅動GaN芯片,助力電源能效再攀新高
- 失真度僅0.002%!力芯微推出超低內阻、超低失真4PST模擬開關
- 一“芯”雙電!聖邦微電子發布雙輸出電源芯片,簡化AFE與音頻設計
- 一機適配萬端:金升陽推出1200W可編程電源,賦能高端裝備製造
- 從機械執行到智能互動:移遠Q-Robotbox助力具身智能加速落地
- 品英Pickering將亮相2026航空電子國際論壇,展示航電與電池測試前沿方案
- 模擬芯片設計師的噩夢:晶體管差1毫伏就廢了,溫度升1度特性全飄
- 3A大電流僅需3x1.6mm?意法半導體DCP3603重新定義電源設計
- 芯科科技Tech Talks與藍牙亞洲大會聯動,線上線下賦能物聯網創新
- 車規與基於V2X的車輛協同主動避撞技術展望
- 數字隔離助力新能源汽車安全隔離的新挑戰
- 汽車模塊拋負載的解決方案
- 車用連接器的安全創新應用
- Melexis Actuators Business Unit
- Position / Current Sensors - Triaxis Hall




