新型基於能量循環的電源老化節能實現
發布時間:2008-10-16 來源:www.dianziw.com
中心論題:
- 分析電源轉換器工作原理
- 比較分析在有無能量循環的工作模式下的能耗
- 分析具有能量循環係統的實現
- 設計能量反饋係統
- 實驗並分析結果
解決方案:
- 能量反饋部分和需要例行試用的轉換器組成一個能量循環係統
- 控製電能轉換器的輸出電流保證能量循環係統穩定工作
引言
xiandaidianzigongyedefazhancujinledianyuanyedefazhan,renhedianzishebeidoulibukaigezhongjingdudedianyuan。dianyuanzhuanhuanqinengjianggezhongdianyazhuanhuanweiyonghuxuyaodedianya,biru:電力變壓器能將輸送的千伏高壓交流電轉換為正常使用的市電;各種充電機、yijigongyehetongxinyonggongdianmokuai,nengjiangjiaoliuhuozhiliudianyazhuanhuanweiyonghuyaoqiuzhiliuhuojiaoliudianya,zhezhongshebeidoushitigongdiannengzhuanhuandedianyuanzhuanhuanqi。xiangbijiaoxinhaojidezhuanhuanqidiannengzhuanhuanqidegonglvyaodadeduo,congjiwadaojishiqianwa,tamendegongzuobansuijudadenengliangzhuanhuan。zaidianyuanshebeishengchanguochengzhong,duidianyuanshebeijinxinglixingceshilaohuashijianyanshebeidebiyaohuanjie,keyitigaodianyuanshebeidekekaoxing,jiangdigongchangdefangonghedanbaochengben。danyouyushebeilaohuatongshiyezengjialeshengchandedianlixiaohaochengben。tongchangqingkuangxia,shebeidelixinglaohuashirangshebeijieshangmonifuzaijinxingmonigongzuo,dangrannengliangjiuxiaohaozaimonifuzaishang,zhezhongxiaohaotongchangmeiyoudedaozuijiadeliyong。benwengenjudianyuanzhuanhuanqishijiangdiannengzhuanhuanweibutongdengjidiannengdetedian,tichutongguonengliangfankuishixiandabufennengliangdexunhuanliyong,congershixianjienengdemude。ruhejieneng,jianshaonengyuanxiaohaoshirenmenyizhizhuiqiudemubiao,zaijianshejieyuexingshehuidejintian,jienengjianghaodeyiyigengxianzhongyao。
工作原理
電(dian)源(yuan)轉(zhuan)換(huan)器(qi)能(neng)將(jiang)電(dian)能(neng)加(jia)工(gong)為(wei)需(xu)要(yao)的(de)電(dian)能(neng),它(ta)的(de)例(li)行(xing)老(lao)化(hua)使(shi)用(yong)隻(zhi)要(yao)在(zai)電(dian)源(yuan)轉(zhuan)換(huan)器(qi)的(de)輸(shu)出(chu)端(duan)連(lian)接(jie)合(he)適(shi)的(de)電(dian)阻(zu)負(fu)載(zai)或(huo)等(deng)效(xiao)阻(zu)抗(kang)的(de)用(yong)電(dian)設(she)備(bei)讓(rang)其(qi)保(bao)證(zheng)一(yi)定(ding)的(de)負(fu)荷(he)工(gong)作(zuo)即(ji)可(ke)。如(ru)圖(tu)1所示:輸入電壓Vin被電源轉換器轉換為Vout加在電阻負載上,在例行工作時,電源轉換器消耗功率(未計算轉換過程損耗)為 Po="Vout2" /R1 。
圖1 轉換器工作示意圖
這種情況下,電能消耗沒有得到任何利用,就直接轉化為熱能從電阻負載上散發出去,是對電能的一種嚴重浪費。
要實現節能循環利用,主要考慮將消耗在電阻負載上的能量更加合理的利用。如果能將輸出電壓Vout再還原為輸入電壓Vin,則輸出電能轉換為輸入的電能,便可以實現電能的循環利用,如圖2所示:將原有轉換器的電阻負載R1用等效輸入阻抗的轉換器2取代,轉換器2的輸出接轉換器1的輸入。則與R1等效輸入阻抗的轉換器2從轉換器1輸出端消耗的能量被轉換到轉換器1的輸入端,再經轉換器1又到轉換器2的(de)輸(shu)入(ru)端(duan),實(shi)現(xian)了(le)能(neng)量(liang)的(de)循(xun)環(huan)利(li)用(yong)。如(ru)果(guo)在(zai)理(li)想(xiang)情(qing)況(kuang)下(xia),沒(mei)有(you)轉(zhuan)換(huan)損(sun)耗(hao),則(ze)係(xi)統(tong)可(ke)以(yi)自(zi)循(xun)環(huan)工(gong)作(zuo)。當(dang)然(ran)這(zhe)是(shi)無(wu)法(fa)實(shi)現(xian)的(de),所(suo)以(yi)在(zai)能(neng)量(liang)分(fen)析(xi)時(shi),要(yao)引(yin)入(ru)轉(zhuan)換(huan)過(guo)程(cheng)的(de)消(xiao)耗(hao)。
圖2轉換器能量循環示意圖
對以上兩種工作模式下的能量消耗做如下分析:
第一種工作模式是在沒有能量循環的情況下,Pi為轉換器的輸入能量,Pw為電源轉換器轉換過程中的消耗能量,Po為轉換器消耗在電阻負載上的輸出能量。假定轉換器的轉換效率為80%時,於是可設轉換器在轉換過程消耗的能量為Pw=25% Po,則整體總能量消耗也就是轉換器的輸入能量Pi=Po+Pw=1.25Po。
第二種工作模式是引入能量反饋的情況下,能量轉換如圖3所示:轉換器1為需要例行使用的電源轉換器,轉換器2為用於能量反饋的轉換器,Pi為係統外給轉換器1的輸入能量,Pw為轉換器1轉換過程中的消耗能量,Po為例行使用電源轉換器1正常應輸出的能量,同時也是轉換器2的輸入能量;Pwf為用於能量反饋的轉換器2轉換過程中的消耗能量,Pf為轉換器2反饋給電源轉換器1的能量。
圖3 有反饋模式的能量轉換圖
假設電源轉換器1和轉換器2的轉換效率都為80%,則轉換器1轉換過程消耗能量同模式1為:Pw=25%Po,由轉換器的轉換效率得轉換器2轉換過程的消耗能量:Pwf=20%Po,根據能量守衡定律,則整體總消耗能量:Pi=Pw+Pwf=25%Po+20%Po=45%Po。
從cong以yi上shang兩liang種zhong模mo式shi情qing況kuang下xia,能neng量liang消xiao耗hao分fen析xi可ke以yi得de出chu結jie論lun,采cai用yong具ju有you能neng量liang反fan饋kui的de工gong作zuo模mo式shi進jin行xing例li行xing老lao化hua使shi用yong時shi,所suo消xiao耗hao的de能neng量liang隻zhi要yao工gong作zuo能neng量liang的de0.45,相比較沒有能量反饋的例行老化使用,總消耗能量為工作能量的1.25倍.因此具有能量反饋的例行老化使用模式節約能源。
係統實現
從以上兩種工作模式分析所得,可以利用能量反饋形成能量循環係統,減少能量消耗,係統工作可由圖4示意,包括三個部分:

圖4 能量反饋係統實現示意圖
a) 電源部分,為係統提供外在激勵源;
b) 轉換器部分為需要例行老化的電源設備,將輸入電源電壓轉換為需要輸出電壓;
c) 能量反饋部分可將轉換器的輸出電壓轉換為轉換器的輸入電壓。
能量反饋部分和需要例行試用的轉換器組成一個能量循環係統,在外電源的激勵下,係統保持額定功率運轉。由功率公式P=U*I,U由例行老化的電源轉換器穩定,要保證該額定功率,就是保證輸出電流I,即(ji)能(neng)量(liang)反(fan)饋(kui)部(bu)分(fen)設(she)計(ji)成(cheng)恒(heng)流(liu)電(dian)路(lu),所(suo)以(yi)係(xi)統(tong)在(zai)額(e)定(ding)功(gong)率(lv)下(xia),保(bao)證(zheng)能(neng)量(liang)循(xun)環(huan)穩(wen)定(ding)工(gong)作(zuo)的(de)等(deng)效(xiao)控(kong)製(zhi)量(liang)為(wei)需(xu)要(yao)例(li)行(xing)使(shi)用(yong)的(de)電(dian)能(neng)轉(zhuan)換(huan)器(qi)的(de)輸(shu)出(chu)電(dian)流(liu)。
在(zai)能(neng)量(liang)反(fan)饋(kui)部(bu)分(fen)就(jiu)要(yao)能(neng)實(shi)現(xian)上(shang)述(shu)要(yao)求(qiu),保(bao)證(zheng)穩(wen)定(ding)的(de)電(dian)能(neng)轉(zhuan)換(huan)器(qi)的(de)輸(shu)出(chu)電(dian)流(liu),采(cai)用(yong)電(dian)流(liu)傳(chuan)感(gan)器(qi)檢(jian)測(ce)電(dian)能(neng)轉(zhuan)換(huan)器(qi)的(de)輸(shu)出(chu)電(dian)流(liu),同(tong)時(shi)反(fan)饋(kui)部(bu)分(fen)采(cai)用(yong)反(fan)饋(kui)電(dian)壓(ya)與(yu)輸(shu)出(chu)控(kong)製(zhi)電(dian)流(liu)之(zhi)間(jian)成(cheng)反(fan)比(bi)係(xi)數(shu)關(guan)係(xi)即(ji)Uf∝K/Io,為便於分析,設電源電壓Ui為穩定值。當輸出電流較小時,通過調節反饋電壓,使其變大,則反饋電壓與輸入的電壓差△U=Uf-Ui變大, 相應的由反饋電壓流向輸入電壓的電流加大,造成相應的反饋功率加大;當輸出電流較大時,通過調節反饋電壓,使Uf變小,則反饋電壓與輸入的電壓差△U變小,相應的由反饋電壓流向輸入電壓的電流減小,造成循環的功率減小;整個過程維持負反饋控製,最終達到動態平衡,維持設定的額定功率。
反饋設計
從以上能量反饋係統工作分析可知,能量反饋部分為係統穩定工作提供必要的保證, 能量反饋部分組成可由圖5所示,主要包括:輸入部分、功率轉換部分、輸出部分、采樣、基準、比較器和控製器七個組成部分。

圖5能量反饋組成框圖
a) 輸入部分是對輸入電能必要的濾波處理同時為控製器部分電路提供輔助工作電源;
b) 功率轉換部分作用主要是在控製器的控製下,將輸入電能轉換為需要的電能;
c) 輸出濾波部分主要作用是對功率轉換部分輸出電能進行必要的濾波;
d) 采樣部分主要是對輸出電能采樣提供與輸出呈線性關係的采樣信號;
e) 基準部分提供與采用比較的穩定參考值;
f) 比較器將采樣信號與基準信號比較,產生兩者的誤差信號;
g) 控製器部分作用是根據比較器提供的誤差信號,給出對功率轉換部分的控製信號。
對於功率轉換部分的電路拓撲可根據功率大小以及轉換電壓,選定如buck型或boost型以及由此引申的各種電路形式。控製器可選用專門的控製芯片或通用的處理芯片實現上述要求的控製。
試驗過程與結果
根據上述反饋部分的設計要求,采用一種轉換電壓從48V到200V功率為180W的直流變換器為需要例行老化的轉換器1,用於能量反饋的轉換器2電路主要包括兩大主要部分:分為功率轉換部分和控製器部分。在功率轉換部分的采用推挽轉換方式電路和全橋整流電路。控製器采用UNITRODE公司的固定頻率,電流模式的PWM控製芯片3846,其內部電路圖由振蕩器、誤差放大器、基準源、鎖存器、圖騰輸出等組成。其主要特點是:逐周波電流限製、支持緩啟動、差分電流檢測放大、高達500 的工作頻率、500 的峰值圖騰輸出以及欠壓鎖定等功能,比較便於外圍功能設定。按照上述的係統設計,依據例行老化。

圖6 試驗結果對比圖
轉換器1的輸出功率,測試係統相應的消耗功率,同時對比沒有電能反饋模式下的消耗功率,所得的對比結果如圖6所示,由圖可知,在通常工作模式情況下,消耗功率大於輸出功率,同時隨著輸出功率增大迅速上升;對於有能量反饋的模式,係統消耗功率小於工作循環功率,在輸出功率為100W前,曲線的增長率較大,在輸出功率大於100W後,曲線增長率較小且有一定的收斂趨勢。
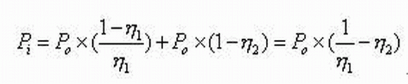
結果分析:在通常工作模式情況下,曲線的波動是由於電能轉換器的轉換效率影響造成的,由前麵原理分析可知消耗功率為Pi=Po+Pw, 如果轉換效率為 ,則Pi=Po/η,轉換效率η通常隨著輸出功率的變化有一定的波動,所以曲線的波動符合理論分析;在有反饋的工作模式情況下,由前麵原理分析部分得係統的消耗功率為Pi=Pw+Pwf,分別設轉換器1的轉換效率為η1,反饋部分的轉換效率為η2,則係統的消耗功率為:

由於η1和η2隨著功率的加大都會有所提高,所以係數1/η1-η2會有一定的收斂,相應的功率消耗有一定的收斂符合理論分析。
結論
jiyunengliangxunhuandelaohuajienengshixianfangfajuyoumingxiandejienengxiaoguo,nengdafudujiangdidianyuanlaohuaguochengdediannengxiaohao,congbenzhishangjiejuedianyuanlaohuashebeidanenghaowenti。youliyujiangdishengchanqiyedeshengchanchengben,tigaoqiyeshengchanxiandaihuashuiping,weiguojiajienengjianghaozuochugongxian。
- 噪聲中提取真值!瑞盟科技推出MSA2240電流檢測芯片賦能多元高端測量場景
- 10MHz高頻運行!氮矽科技發布集成驅動GaN芯片,助力電源能效再攀新高
- 失真度僅0.002%!力芯微推出超低內阻、超低失真4PST模擬開關
- 一“芯”雙電!聖邦微電子發布雙輸出電源芯片,簡化AFE與音頻設計
- 一機適配萬端:金升陽推出1200W可編程電源,賦能高端裝備製造
- 從機械執行到智能互動:移遠Q-Robotbox助力具身智能加速落地
- 品英Pickering將亮相2026航空電子國際論壇,展示航電與電池測試前沿方案
- 模擬芯片設計師的噩夢:晶體管差1毫伏就廢了,溫度升1度特性全飄
- 3A大電流僅需3x1.6mm?意法半導體DCP3603重新定義電源設計
- 芯科科技Tech Talks與藍牙亞洲大會聯動,線上線下賦能物聯網創新
- 車規與基於V2X的車輛協同主動避撞技術展望
- 數字隔離助力新能源汽車安全隔離的新挑戰
- 汽車模塊拋負載的解決方案
- 車用連接器的安全創新應用
- Melexis Actuators Business Unit
- Position / Current Sensors - Triaxis Hall



