設計非隔離型反激LED驅動器
發布時間:2008-10-29
中心論題:
- 反激型LED驅動器比較通用,該結構在輸入電壓要求的範圍內能夠保持LED電流恒定
- 簡述利用專用電流控製PWM控製器IC設計反激型LED驅動器的原理步驟
- 設計中最重要參數是LED的電流,為了延長LED的工作壽命,電流必須保持恒定
解決方案:
- 采用專用電流控製PWM控製器IC以減小LED電流變化
- 通過低頻PWM脈衝調製LED電流,控製LED燈源亮度
反激型LED驅(qu)動(dong)器(qi)比(bi)較(jiao)通(tong)用(yong),因(yin)為(wei)該(gai)結(jie)構(gou)可(ke)以(yi)用(yong)於(yu)輸(shu)入(ru)電(dian)壓(ya)高(gao)於(yu)或(huo)低(di)於(yu)所(suo)要(yao)求(qiu)的(de)輸(shu)出(chu)電(dian)壓(ya)。此(ci)外(wai),當(dang)反(fan)激(ji)電(dian)路(lu)工(gong)作(zuo)在(zai)非(fei)連(lian)續(xu)電(dian)感(gan)電(dian)流(liu)模(mo)式(shi)時(shi),能(neng)夠(gou)保(bao)持(chi)LED電流恒定,無需額外的控製回路。本應用筆記所描述的電路基於高度集成的MAX16802 PWM LED驅動器IC。
應用
LED軌道照明,通用LED照明設備
特性
• 10.8V至24V輸入電壓範圍
• 為單個3.3V LED供電,提供350mA (典型)電流(其它LED配置結構,請按照設計步驟進行設計)
• 29V (典型值)陽極對地的最大開路電壓
• 262kHz開關頻率
• 逐周期限流
• 通/斷控製輸入
• 允許使用低頻PWM信號調節亮度
• 可以調整電路以適應多種形式的串聯、並聯LED配置
典型應用電路

注意:當+VLED和-VLED不與LED連接時,請勿給電路供電。
元件列表
| Designation | Qty. | Description |
| C1 | 1 | 1nF ±10%, 50V X7R ceramic capacitor (0603) TDK C1608X7R1H102K |
| C2 | 1 | 220pF ±10%, 50V X7R ceramic capacitor (0603) TDK C1608X7R1H221K |
| C3,C4,C7 | 3 | 0.1µF ±10%, 50V X7R ceramic capacitor (0603) TDK C1608X7R1H104 |
| C5 | 1 | 10µF ±10%, 25V X7R ceramic capacitor (1206) TDK |
| C6 | 1 | 10µF ±10%, 16V X7R ceramic capacitor (1206) TDK C3216X7R1C475K |
| D1 | 1 | 40V, 1A Schottky diode (SMA) CMSH1-40M Central Semiconductor |
| L1 | 1 | 10µH inductor Coilcraft DO3308P-103 |
| Q1 | 1 | 40V, 0.045W MOSFET Vishay Si2328DS |
| R1,R3 | 2 | 499k ±1% resistor (0603) |
| R2 | 1 | 22.1k ±1% resistor (0603) |
| R4 | 1 | 73.2k ±1% resistor (0603) |
| R5 | 1 | 100k ±5% resistor (0603) |
| R6 | 1 | 150 ±1% resistor (0603) |
| R7 | 1 | 100 ±1% resistor (0603) |
| R8 | 1 | 10 ±5% resistor (0603) |
| R9,R10 | 2 | 1 ±1% resistor (0805) |
| R11 | 1 | 1 ±1% resistor (0805) |
| U1 | 1 | PWM IC Maxim: MAX16802AEUA (8-pin µMAX®) |
電路拓撲
開環,非隔離型反激LED驅動器十分通用,而且使用方便。它具有一係列優點,非常受歡迎。這些優點包括:
• 無需外部控製環路即可調節LED電流
• 非連續電感電流傳輸降低EMI輻射
• 較低的開關導通損耗
• 簡單的電路設計流程
• LED電壓可高於或低於輸入電壓
• 較寬的輸入電壓範圍
• 可以方便地接入PWM亮度調節信號
最大的優點是簡單,代價是存在以下缺點:
• LED電流受元件容限的影響,例如,電感和檢流比較器傳輸延遲
• 非連續電感電流工作模式,使該拓撲結構更適合於低功耗應用
設計步驟
最重要參數是LED的電流。高亮度LED的工作電流一般為幾百mA。為了延長LED的工作壽命,電流必須保持恒定;電源從本質上說是一個電流驅動器。可以通過幾種方案實現,一個簡單而且低成本的解決方案是:采用專用的電流模式PWM控製器IC,例如MAX16802。該器件的優點是:
• 高集成度—所需的外圍元件很少
• 高達262kHz開關頻率
• 微小的8引腳µMAX封裝
• 較小的檢流門限,降低損耗
• 相當精確的振蕩頻率,有助於減小LED電流變化
• 片上電壓反饋放大器,可用於限製輸出開路電壓
給定LED參數為:

步驟1:計算最小輸入電壓下最佳占空比的近似值:

其中Rb為整流器電阻,與應用電路中的R11相同,在本應用中設定為1 。VD為整流二極管D1的正向壓降。
將已知數值代入上式得到:

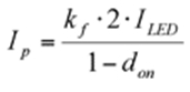
步驟2:計算峰值電感電流的近似值:

其中Kf為臨界“誤差係數”,這裏設為1.1。
將已知值代入上式得到:
![]()
步驟3:計算所需電感的近似值,並選擇小於並最接近於計算值的標準電感:

其中L為應用電路中的L1;f為開關頻率,等於262kHz。
將已知值代入上式得到:
![]()
低於該值、最接近的標準值為10µH。
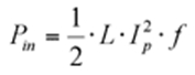
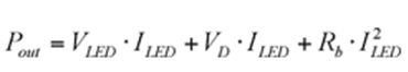
步驟4:通過反激工作過程傳遞到輸出端的功率:

輸出電路的損耗功率等於:

根據能量守恒原理,上述兩個式子應該相等,即可得到一個更精確的峰值電感電流:

其中L為實際選擇的標準電感值。
將已知數值代入上式可得:
![]()
步驟5:計算檢流電阻,由R9和R10並聯而得;計算電壓檢測分壓電阻(如果需要),由R6和R7組成。
MAX16802的限流門限為291mV。因此選擇R9、R10、R6和R7,滿足步驟4所計算的電感峰值電流。
這步完成後,即可得到應用電路中的各個元件值,該電路可提供12V、350mA輸出。因為存在寄生效應,因此電阻值(R7)需要進行適當調整,以得到所期望的電流。
步驟6:R1和R2可選。它們用於調整+VLED至29V。這在輸出端出現意外開路時非常有用。如果沒有上述元件的分壓,輸出電壓有可能上升,導致器件損壞。
元件C1和R5也為可選,用於穩定電壓反饋環路。對於當前應用,可以不使用這些元件。
低頻PWM亮度調節
控製LED燈源亮度的最好辦法是通過一個低頻PWM脈衝調製LED電流。使用這種方法,LED電流根據占空比的變化觸發脈衝,同時保持電流幅度恒定。這樣,器件發出的光波波長在整個調節範圍內保持不變。
利用下麵電路可實現PWM亮度調節。

特性曲線


印刷電路板


- 噪聲中提取真值!瑞盟科技推出MSA2240電流檢測芯片賦能多元高端測量場景
- 10MHz高頻運行!氮矽科技發布集成驅動GaN芯片,助力電源能效再攀新高
- 失真度僅0.002%!力芯微推出超低內阻、超低失真4PST模擬開關
- 一“芯”雙電!聖邦微電子發布雙輸出電源芯片,簡化AFE與音頻設計
- 一機適配萬端:金升陽推出1200W可編程電源,賦能高端裝備製造
- 從機械執行到智能互動:移遠Q-Robotbox助力具身智能加速落地
- 品英Pickering將亮相2026航空電子國際論壇,展示航電與電池測試前沿方案
- 模擬芯片設計師的噩夢:晶體管差1毫伏就廢了,溫度升1度特性全飄
- 3A大電流僅需3x1.6mm?意法半導體DCP3603重新定義電源設計
- 芯科科技Tech Talks與藍牙亞洲大會聯動,線上線下賦能物聯網創新
- 車規與基於V2X的車輛協同主動避撞技術展望
- 數字隔離助力新能源汽車安全隔離的新挑戰
- 汽車模塊拋負載的解決方案
- 車用連接器的安全創新應用
- Melexis Actuators Business Unit
- Position / Current Sensors - Triaxis Hall




