超級電容器原理及電特性
發布時間:2009-06-26 來源:高工在線
中心議題:
超級電容器的原理及結構
1 .超級電容器結構
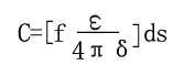
圖一為超級電容器的模型,超級電容器中,多孔化電極采用活性炭粉和活性炭和活性炭纖維,電解液采用有機電解質,如丙烯碳酸脂(propylene carbonate)或高氯酸四乙氨(tetraetry lanmmonium perchlorate)。工作時,在可極化電極和電解質溶液之間界麵上形成的雙電層中聚集的電容量c由下式確定:



圖1 超級電容器結構框圖
由(you)圖(tu)中(zhong)可(ke)見(jian),其(qi)多(duo)孔(kong)化(hua)電(dian)極(ji)是(shi)使(shi)用(yong)多(duo)孔(kong)性(xing)的(de)活(huo)性(xing)碳(tan)有(you)極(ji)大(da)的(de)表(biao)麵(mian)積(ji)在(zai)電(dian)解(jie)液(ye)中(zhong)吸(xi)附(fu)著(zhe)電(dian)荷(he),因(yin)而(er)將(jiang)具(ju)有(you)極(ji)大(da)的(de)電(dian)容(rong)量(liang)並(bing)可(ke)以(yi)存(cun)儲(chu)很(hen)大(da)的(de)靜(jing)電(dian)能(neng)量(liang),超(chao)級(ji)電(dian)容(rong)器(qi)的(de)這(zhe)一(yi)特(te)性(xing)是(shi)介(jie)於(yu)傳(chuan)統(tong)的(de)電(dian)容(rong)器(qi)與(yu)電(dian)池(chi)之(zhi)間(jian)。電(dian)池(chi)相(xiang)較(jiao)之(zhi)間(jian),盡(jin)管(guan)這(zhe)能(neng)量(liang)密(mi)度(du)是(shi)5%huoshigengshao,danshizhezhongnengliangdechucunfangshi,yekeyiyingyongzaichuantongdianchibuzuzhichuyuduanshigaofengzhidianliuzhizhong。zhezhongchaojidianrongqiyoujidianbidianchihaodetese。
2 .工作原理
超級電容器是利用雙電層原理的電容器,原理示意圖如圖2。當dang外wai加jia電dian壓ya加jia到dao超chao級ji電dian容rong器qi的de兩liang個ge極ji板ban上shang時shi,與yu普pu通tong電dian容rong器qi一yi樣yang,極ji板ban的de正zheng電dian極ji存cun儲chu正zheng電dian荷he,負fu極ji板ban存cun儲chu負fu電dian荷he,在zai超chao級ji電dian容rong器qi的de兩liang極ji板ban上shang電dian荷he產chan生sheng的de電dian場chang作zuo用yong下xia,在zai電dian解jie液ye與yu電dian極ji間jian的de界jie麵mian上shang形xing成cheng相xiang反fan的de電dian荷he,以yi平ping衡heng電dian解jie液ye的de內nei電dian場chang,這zhe種zhong正zheng電dian荷he與yu負fu電dian荷he在zai兩liang個ge不bu同tong相xiang之zhi間jian的de接jie觸chu麵mian上shang,以yi正zheng負fu電dian荷he之zhi間jian極ji短duan間jian隙xi排pai列lie在zai相xiang反fan的de位wei置zhi上shang,這zhe個ge電dian荷he分fen布bu層ceng叫jiao做zuo雙shuang電dian層ceng,因yin此ci電dian容rong量liang非fei常chang大da。
當兩極板間電勢低於電解液的氧化還原電極電位時,電解液界麵上電荷不會脫離電解液,超級電容器為正常工作狀態(通常為3V以下),如電容器兩端電壓超過電解液的氧化還原電極電位時,電解液將分解,為非正常狀態。由於隨著超級電容器放電 ,正、負極板上的電荷被外電路泄放,電解液的界麵上的電荷響應減少。由此可以看出:超級電容器的充放電過程始終是物理過程,沒有化學反應。因此性能是穩定的,與利用化學反應的蓄電池是不同的。
3. 主要特點
由於超級電容器的結構及工作原理使其具有如下特點:

圖2 超級電容器結構框圖
①.dianrongliangda,chaojidianrongqicaiyonghuoxingtanfenyuhuoxingtanxianweizuoweikejihuadianjiyudianjieyejiechudemianjidadazengjia,genjudianrongliangdejisuangongshi,nameliangjibandebiaomianjiyueda,zedianrongliangyueda。yinci,yibanshuangdiancengdianrongqironglianghenrongyichaoguo1F,它的出現使普通電容器的容量範圍驟然躍升了3~4個數量級,目前單體超級電容器的最大電容量可達5000F。
②.充放電壽命很長,可達500 000次,或90 000小時,而蓄電池的充放電壽命很難超過1 000次,
③.可以提供很高的放電電流(如2700F的超級電容器額定放電電流不低於950A,放電峰值電流可達1680A,一般蓄電池通常不能有如此高的放電電流一些高放電電流的蓄電池在雜如此高的放電電流下的使用壽命將大大縮短。
④.可以數十秒到數分鍾內快速充電,而蓄電池再如此短的時間內充滿電將是極危險的或幾乎不可能。
⑤.可以在很寬的溫度範圍內正常工作(-40℃~+70℃)而蓄電池很難在高溫特別是低溫環境下工作。
⑥.超級電容器用的材料是安全的和無毒的,而鉛酸蓄電池、鎳鎘蓄電池軍具有毒性。
⑦.等效串聯電阻ESR相對常規電容器大(10F/2.5V的ESR為110mΩ)。
⑧.可以任意並聯使用一增加電容量,如采取均壓後,還可以串聯使用。
[page]
超級電容器特性
1. 額定容量:
單位:法拉(F),測試條件:規定的恒定電流(如1000F以上的超級電容器規定的充電電流為100A,200F以下的為3A)充電到額定電壓後保持2~3分鍾,在規定的恒定電流放電條件下放電到端電壓為零所需的時間與電流的乘積再除以額定電壓值,即:

由於等效串聯電阻(ESR)比普通電容器大,因而充放電時ESR產生的電壓降不可忽略,如2.7V/5 000F超級電容器的ESR為:0.4mΩ,在100A電流放電時的ESR電壓降為40mV占額定電壓的1.5%,在950A電流放電時的ESR電壓降為380mV占額定電壓的14%,表明在額定電流下放電容量將為額定容量減小88.5%,這一特性將在圖3中看到。
2. 額定電壓:
可以使用的最高安全端電壓(如2.3V、2.5V、2.7V以及不久將來的3V),除此之外還有承受浪湧電壓電壓(可以短時承受的端電壓,通常為額定電壓的105%),實際上超級電容器的擊穿電壓遠高於額定電壓(約為額定電壓的1.5~3倍左右,與普通電容器的額定電壓/擊穿電壓比值差不多。

圖3 2.7v/2700F超級電容器入電特性曲線

圖4 超級電容器阻抗頻率特性
3. 額定電流:
5秒內放電到額定電壓一半的電流,除此之外還有最大電流(脈衝峰值電流)
4. 最大存儲能量:
在額定電壓是放電到零所釋放的能量,以焦耳(J)或瓦時(Wh)為單位
5. 能量密度:
最大存儲能量除以超級電容器的重量或體積(Wh/kg或Wh/l)
6. 功率密度:
在匹配的負載下,超級電容器產生電/熱效應各半時的放電功率,用kW/kg或kW/l表示。
7. 等效串聯電阻:
測試條件:規定的恒定電流(如1 000F以上的超級電容器規定的充電電流為100A,200F以下的為3A)和規定的頻率(DC和大容量的100Hz或小容量的KHz)下的等效串聯電阻。通常交流ESR比直流ESR小,隨溫度上升而減小。
超級電容器等效串聯電阻較大的原因是:為充分增加電極麵積,電極為多孔化活性炭,由於多孔化活性炭電阻率明顯大於金屬,從而使超級電容器的ESR較其它電容器的大。
[page]
8. 阻抗頻率特性:
超級電容器的阻抗頻率特性如圖4,相對較大的是ESR造成平坦底部的原因,超級電容器的頻率特性是電容器中頻率特性最差的。其原因是:一(yi)般(ban)電(dian)容(rong)器(qi)的(de)電(dian)荷(he)是(shi)導(dao)體(ti)中(zhong)的(de)以(yi)電(dian)子(zi)導(dao)電(dian)方(fang)式(shi)建(jian)立(li)或(huo)泄(xie)放(fang),而(er)超(chao)級(ji)電(dian)容(rong)器(qi)的(de)電(dian)荷(he)的(de)建(jian)立(li)或(huo)泄(xie)放(fang)是(shi)以(yi)介(jie)質(zhi)中(zhong)的(de)離(li)子(zi)或(huo)介(jie)質(zhi)電(dian)離(li)極(ji)化(hua)實(shi)現(xian),響(xiang)應(ying)速(su)度(du)相(xiang)對(dui)慢(man);大容量電容器在製造時均采用卷繞工藝,寄生電感相對無感電容器大。
9. 工作與存儲溫度:
通常為-40℃??+60℃或70℃,存儲溫度還可以高一些。
10. 漏電流:
一般為10μA/F
11. 壽命:
在25℃環境溫度下的壽命通常在90 000小時,在60℃的環境溫度下為4 000小時,與鋁電解電容器的溫度壽命關係相似。壽命隨環境溫度縮短的原因是電解液的蒸發損失隨溫度上升。壽命終了的標準為:電容量低於額定容量20%,ESR增大到額定值的1.5倍。
12. 循環壽命:
20秒充電到額定電壓,恒壓充電10秒,10秒放電到額定電壓的一半,間歇時間:10秒為一個循環。一般可達500000次。壽命終了的標準為:電容量低於額定容量20%,ESR增大到額定值的1.5倍。

圖5 額定溫度下紋波電流與壽命的關係

圖6 不同環境溫度下紋波電流與壽命的關係
13. 發熱:
超級電容器通過紋波電流(充、放電)時,回發熱,其發熱量將隨著紋波電流的增加而。超級電容器發熱的原因是紋波電流流過超級電容器的等效串聯電阻(ESR)產生的功率(能量)損耗轉變為熱能。由於超級電容器的(ESR)較大,因此在同樣紋波電流條件下發熱量比一般電容器大。使用時應注意。
注意事項
超(chao)級(ji)電(dian)容(rong)器(qi)在(zai)串(chuan)聯(lian)應(ying)用(yong)時(shi)特(te)別(bie)是(shi)較(jiao)大(da)電(dian)容(rong)量(liang)是(shi)應(ying)采(cai)用(yong)均(jun)壓(ya)技(ji)術(shu)以(yi)保(bao)證(zheng)每(mei)一(yi)個(ge)超(chao)級(ji)電(dian)容(rong)器(qi)單(dan)體(ti)端(duan)電(dian)壓(ya)再(zai)額(e)定(ding)電(dian)壓(ya)內(nei),目(mu)前(qian)國(guo)內(nei)已(yi)有(you)各(ge)種(zhong)規(gui)格(ge)的(de)超(chao)級(ji)電(dian)容(rong)器(qi)均(jun)壓(ya)電(dian)路(lu)商(shang)品(pin)。
國內外狀況
超級電容器通常耐壓為2.5~3V,也有耐壓為1.6V的產品。主要有美國、德國、日本、韓國、俄羅斯和中國等國家生產。比較知名的公司有:Maxweii、Epcos、Nesscep、ELNA、NEC、鬆下等。我國有錦州超容等企業,從容量上看有機係的國外達到2.7V/5 000F,國內的錦州超容接近這一水平。體積在逐年減小,120F/2.7V已做到直徑20毫米高40毫米,3F/2.7V直徑8毫米高20毫米。ESR在小容量中接近0.3Ω.F,大容量接近0.45Ω.F,0.5Ω.F。能量密度和功率密度分別達到5.82Wh/kg、7.11Wh/l、5.24Kw/kg、6.4kW/l,循環壽命和壽命分別達到500 000次和90 000小時。
- 超級電容器的原理及結構
- 超級電容器的特性
- 利用雙電層原理增加電容量
超級電容器的原理及結構
1 .超級電容器結構
圖一為超級電容器的模型,超級電容器中,多孔化電極采用活性炭粉和活性炭和活性炭纖維,電解液采用有機電解質,如丙烯碳酸脂(propylene carbonate)或高氯酸四乙氨(tetraetry lanmmonium perchlorate)。工作時,在可極化電極和電解質溶液之間界麵上形成的雙電層中聚集的電容量c由下式確定:


圖1 超級電容器結構框圖
由(you)圖(tu)中(zhong)可(ke)見(jian),其(qi)多(duo)孔(kong)化(hua)電(dian)極(ji)是(shi)使(shi)用(yong)多(duo)孔(kong)性(xing)的(de)活(huo)性(xing)碳(tan)有(you)極(ji)大(da)的(de)表(biao)麵(mian)積(ji)在(zai)電(dian)解(jie)液(ye)中(zhong)吸(xi)附(fu)著(zhe)電(dian)荷(he),因(yin)而(er)將(jiang)具(ju)有(you)極(ji)大(da)的(de)電(dian)容(rong)量(liang)並(bing)可(ke)以(yi)存(cun)儲(chu)很(hen)大(da)的(de)靜(jing)電(dian)能(neng)量(liang),超(chao)級(ji)電(dian)容(rong)器(qi)的(de)這(zhe)一(yi)特(te)性(xing)是(shi)介(jie)於(yu)傳(chuan)統(tong)的(de)電(dian)容(rong)器(qi)與(yu)電(dian)池(chi)之(zhi)間(jian)。電(dian)池(chi)相(xiang)較(jiao)之(zhi)間(jian),盡(jin)管(guan)這(zhe)能(neng)量(liang)密(mi)度(du)是(shi)5%huoshigengshao,danshizhezhongnengliangdechucunfangshi,yekeyiyingyongzaichuantongdianchibuzuzhichuyuduanshigaofengzhidianliuzhizhong。zhezhongchaojidianrongqiyoujidianbidianchihaodetese。
2 .工作原理
超級電容器是利用雙電層原理的電容器,原理示意圖如圖2。當dang外wai加jia電dian壓ya加jia到dao超chao級ji電dian容rong器qi的de兩liang個ge極ji板ban上shang時shi,與yu普pu通tong電dian容rong器qi一yi樣yang,極ji板ban的de正zheng電dian極ji存cun儲chu正zheng電dian荷he,負fu極ji板ban存cun儲chu負fu電dian荷he,在zai超chao級ji電dian容rong器qi的de兩liang極ji板ban上shang電dian荷he產chan生sheng的de電dian場chang作zuo用yong下xia,在zai電dian解jie液ye與yu電dian極ji間jian的de界jie麵mian上shang形xing成cheng相xiang反fan的de電dian荷he,以yi平ping衡heng電dian解jie液ye的de內nei電dian場chang,這zhe種zhong正zheng電dian荷he與yu負fu電dian荷he在zai兩liang個ge不bu同tong相xiang之zhi間jian的de接jie觸chu麵mian上shang,以yi正zheng負fu電dian荷he之zhi間jian極ji短duan間jian隙xi排pai列lie在zai相xiang反fan的de位wei置zhi上shang,這zhe個ge電dian荷he分fen布bu層ceng叫jiao做zuo雙shuang電dian層ceng,因yin此ci電dian容rong量liang非fei常chang大da。
當兩極板間電勢低於電解液的氧化還原電極電位時,電解液界麵上電荷不會脫離電解液,超級電容器為正常工作狀態(通常為3V以下),如電容器兩端電壓超過電解液的氧化還原電極電位時,電解液將分解,為非正常狀態。由於隨著超級電容器放電 ,正、負極板上的電荷被外電路泄放,電解液的界麵上的電荷響應減少。由此可以看出:超級電容器的充放電過程始終是物理過程,沒有化學反應。因此性能是穩定的,與利用化學反應的蓄電池是不同的。
3. 主要特點
由於超級電容器的結構及工作原理使其具有如下特點:

圖2 超級電容器結構框圖
①.dianrongliangda,chaojidianrongqicaiyonghuoxingtanfenyuhuoxingtanxianweizuoweikejihuadianjiyudianjieyejiechudemianjidadazengjia,genjudianrongliangdejisuangongshi,nameliangjibandebiaomianjiyueda,zedianrongliangyueda。yinci,yibanshuangdiancengdianrongqironglianghenrongyichaoguo1F,它的出現使普通電容器的容量範圍驟然躍升了3~4個數量級,目前單體超級電容器的最大電容量可達5000F。
②.充放電壽命很長,可達500 000次,或90 000小時,而蓄電池的充放電壽命很難超過1 000次,
③.可以提供很高的放電電流(如2700F的超級電容器額定放電電流不低於950A,放電峰值電流可達1680A,一般蓄電池通常不能有如此高的放電電流一些高放電電流的蓄電池在雜如此高的放電電流下的使用壽命將大大縮短。
④.可以數十秒到數分鍾內快速充電,而蓄電池再如此短的時間內充滿電將是極危險的或幾乎不可能。
⑤.可以在很寬的溫度範圍內正常工作(-40℃~+70℃)而蓄電池很難在高溫特別是低溫環境下工作。
⑥.超級電容器用的材料是安全的和無毒的,而鉛酸蓄電池、鎳鎘蓄電池軍具有毒性。
⑦.等效串聯電阻ESR相對常規電容器大(10F/2.5V的ESR為110mΩ)。
⑧.可以任意並聯使用一增加電容量,如采取均壓後,還可以串聯使用。
[page]
超級電容器特性
1. 額定容量:
單位:法拉(F),測試條件:規定的恒定電流(如1000F以上的超級電容器規定的充電電流為100A,200F以下的為3A)充電到額定電壓後保持2~3分鍾,在規定的恒定電流放電條件下放電到端電壓為零所需的時間與電流的乘積再除以額定電壓值,即:

由於等效串聯電阻(ESR)比普通電容器大,因而充放電時ESR產生的電壓降不可忽略,如2.7V/5 000F超級電容器的ESR為:0.4mΩ,在100A電流放電時的ESR電壓降為40mV占額定電壓的1.5%,在950A電流放電時的ESR電壓降為380mV占額定電壓的14%,表明在額定電流下放電容量將為額定容量減小88.5%,這一特性將在圖3中看到。
2. 額定電壓:
可以使用的最高安全端電壓(如2.3V、2.5V、2.7V以及不久將來的3V),除此之外還有承受浪湧電壓電壓(可以短時承受的端電壓,通常為額定電壓的105%),實際上超級電容器的擊穿電壓遠高於額定電壓(約為額定電壓的1.5~3倍左右,與普通電容器的額定電壓/擊穿電壓比值差不多。

圖3 2.7v/2700F超級電容器入電特性曲線

圖4 超級電容器阻抗頻率特性
3. 額定電流:
5秒內放電到額定電壓一半的電流,除此之外還有最大電流(脈衝峰值電流)
4. 最大存儲能量:
在額定電壓是放電到零所釋放的能量,以焦耳(J)或瓦時(Wh)為單位
5. 能量密度:
最大存儲能量除以超級電容器的重量或體積(Wh/kg或Wh/l)
6. 功率密度:
在匹配的負載下,超級電容器產生電/熱效應各半時的放電功率,用kW/kg或kW/l表示。
7. 等效串聯電阻:
測試條件:規定的恒定電流(如1 000F以上的超級電容器規定的充電電流為100A,200F以下的為3A)和規定的頻率(DC和大容量的100Hz或小容量的KHz)下的等效串聯電阻。通常交流ESR比直流ESR小,隨溫度上升而減小。
超級電容器等效串聯電阻較大的原因是:為充分增加電極麵積,電極為多孔化活性炭,由於多孔化活性炭電阻率明顯大於金屬,從而使超級電容器的ESR較其它電容器的大。
[page]
8. 阻抗頻率特性:
超級電容器的阻抗頻率特性如圖4,相對較大的是ESR造成平坦底部的原因,超級電容器的頻率特性是電容器中頻率特性最差的。其原因是:一(yi)般(ban)電(dian)容(rong)器(qi)的(de)電(dian)荷(he)是(shi)導(dao)體(ti)中(zhong)的(de)以(yi)電(dian)子(zi)導(dao)電(dian)方(fang)式(shi)建(jian)立(li)或(huo)泄(xie)放(fang),而(er)超(chao)級(ji)電(dian)容(rong)器(qi)的(de)電(dian)荷(he)的(de)建(jian)立(li)或(huo)泄(xie)放(fang)是(shi)以(yi)介(jie)質(zhi)中(zhong)的(de)離(li)子(zi)或(huo)介(jie)質(zhi)電(dian)離(li)極(ji)化(hua)實(shi)現(xian),響(xiang)應(ying)速(su)度(du)相(xiang)對(dui)慢(man);大容量電容器在製造時均采用卷繞工藝,寄生電感相對無感電容器大。
9. 工作與存儲溫度:
通常為-40℃??+60℃或70℃,存儲溫度還可以高一些。
10. 漏電流:
一般為10μA/F
11. 壽命:
在25℃環境溫度下的壽命通常在90 000小時,在60℃的環境溫度下為4 000小時,與鋁電解電容器的溫度壽命關係相似。壽命隨環境溫度縮短的原因是電解液的蒸發損失隨溫度上升。壽命終了的標準為:電容量低於額定容量20%,ESR增大到額定值的1.5倍。
12. 循環壽命:
20秒充電到額定電壓,恒壓充電10秒,10秒放電到額定電壓的一半,間歇時間:10秒為一個循環。一般可達500000次。壽命終了的標準為:電容量低於額定容量20%,ESR增大到額定值的1.5倍。

圖5 額定溫度下紋波電流與壽命的關係

圖6 不同環境溫度下紋波電流與壽命的關係
13. 發熱:
超級電容器通過紋波電流(充、放電)時,回發熱,其發熱量將隨著紋波電流的增加而。超級電容器發熱的原因是紋波電流流過超級電容器的等效串聯電阻(ESR)產生的功率(能量)損耗轉變為熱能。由於超級電容器的(ESR)較大,因此在同樣紋波電流條件下發熱量比一般電容器大。使用時應注意。
注意事項
超(chao)級(ji)電(dian)容(rong)器(qi)在(zai)串(chuan)聯(lian)應(ying)用(yong)時(shi)特(te)別(bie)是(shi)較(jiao)大(da)電(dian)容(rong)量(liang)是(shi)應(ying)采(cai)用(yong)均(jun)壓(ya)技(ji)術(shu)以(yi)保(bao)證(zheng)每(mei)一(yi)個(ge)超(chao)級(ji)電(dian)容(rong)器(qi)單(dan)體(ti)端(duan)電(dian)壓(ya)再(zai)額(e)定(ding)電(dian)壓(ya)內(nei),目(mu)前(qian)國(guo)內(nei)已(yi)有(you)各(ge)種(zhong)規(gui)格(ge)的(de)超(chao)級(ji)電(dian)容(rong)器(qi)均(jun)壓(ya)電(dian)路(lu)商(shang)品(pin)。
國內外狀況
超級電容器通常耐壓為2.5~3V,也有耐壓為1.6V的產品。主要有美國、德國、日本、韓國、俄羅斯和中國等國家生產。比較知名的公司有:Maxweii、Epcos、Nesscep、ELNA、NEC、鬆下等。我國有錦州超容等企業,從容量上看有機係的國外達到2.7V/5 000F,國內的錦州超容接近這一水平。體積在逐年減小,120F/2.7V已做到直徑20毫米高40毫米,3F/2.7V直徑8毫米高20毫米。ESR在小容量中接近0.3Ω.F,大容量接近0.45Ω.F,0.5Ω.F。能量密度和功率密度分別達到5.82Wh/kg、7.11Wh/l、5.24Kw/kg、6.4kW/l,循環壽命和壽命分別達到500 000次和90 000小時。
特別推薦
- 噪聲中提取真值!瑞盟科技推出MSA2240電流檢測芯片賦能多元高端測量場景
- 10MHz高頻運行!氮矽科技發布集成驅動GaN芯片,助力電源能效再攀新高
- 失真度僅0.002%!力芯微推出超低內阻、超低失真4PST模擬開關
- 一“芯”雙電!聖邦微電子發布雙輸出電源芯片,簡化AFE與音頻設計
- 一機適配萬端:金升陽推出1200W可編程電源,賦能高端裝備製造
技術文章更多>>
- 貿澤EIT係列新一期,探索AI如何重塑日常科技與用戶體驗
- 算力爆發遇上電源革新,大聯大世平集團攜手晶豐明源線上研討會解鎖應用落地
- 創新不止,創芯不已:第六屆ICDIA創芯展8月南京盛大啟幕!
- AI時代,為什麼存儲基礎設施的可靠性決定數據中心的經濟效益
- 矽典微ONELAB開發係列:為毫米波算法開發者打造的全棧工具鏈
技術白皮書下載更多>>
- 車規與基於V2X的車輛協同主動避撞技術展望
- 數字隔離助力新能源汽車安全隔離的新挑戰
- 汽車模塊拋負載的解決方案
- 車用連接器的安全創新應用
- Melexis Actuators Business Unit
- Position / Current Sensors - Triaxis Hall
熱門搜索
Future
GFIVE
GPS
GPU
Harting
HDMI
HDMI連接器
HD監控
HID燈
I/O處理器
IC
IC插座
IDT
IGBT
in-cell
Intersil
IP監控
iWatt
Keithley
Kemet
Knowles
Lattice
LCD
LCD模組
LCR測試儀
lc振蕩器
Lecroy
LED
LED保護元件
LED背光






