變頻調速裝置抵禦電能質量擾動的研究
發布時間:2009-07-16
中心議題:
利用儲能係統抵禦電能質量擾動是目前最直接、最可靠的途徑,可以考慮的儲能設備有蓄電池、超導線圈、飛輪及電容器等。不過短時供電中斷及電壓暫降的持續時間很短,一般不超過幾秒數量級,但是出現的頻度較高。而在短時大功率應用方麵超級電容的非常明顯的優越性。
超級電容也稱為電化學電容,它具有優良的脈衝充放電和大容量儲能性能,單體的容量目前已經做到萬法拉級,是一種介於靜電電容器與電池之間的新型儲能元件。超級電容最大充放電性能由活性物質表麵的離子取向和電荷轉移速度控製,因此可在短時間內進行電荷轉移,得到很高的放電比功率;同時,由於電極上沒有發生決定反應速度與限製電極壽命的活性物質的相應變化,因此它具有很好的循環壽命。因而受到日本、美國、歐盟、俄羅斯等國家的高度重視。
目前,超級電容與各類動力電池配合使用組成的複合電池在電動汽車的領域已經進入實用化階段[1],日本在電氣機車驅動電源、短時UPS等應用方向進行了研究,分別開發出了80kVA和50kVA實驗樣機。
目前國外對ASDride-through的研究開展得很熱烈,一些文獻介紹了采用不同DC/DC變換拓撲提取儲能元件能量的中、小功率(3~5kW)實驗樣機的研究情況,但很難實現較大容量。隨著超級電容設計技術不斷提高及單位容量價格的下降,利用超級電容直接支撐直流母線電壓構成超大容量ASD裝置已經成為可能。
在能源結構必須調整的背景下,我國的ASD市場極大,特別是高壓大容量的變頻調速裝置,而ASD抵禦電能質量擾動領域的研究尚未引起國內研究、生產部門足夠的重視,在該領域開展研究有重要的理論及應用意義。
本文提出了一種非常實用、易於大容量化的基於超級電容儲能的ASD結構,通過仿真及實驗研究驗證了所提拓撲結構和控製策略消除電能質量擾動對ASD影響的正確性及有效性。
主電路結構
ASD主電路采用如圖1所示的AC-DC-AC模式,儲能元件直接連接到DC母線上。在係統電壓質量低於設定標準時從儲能單元汲取電能,再由逆變單元供給電機負荷,以實現ASD逆變部分對電網側電能質量問題的完全免疫以及對係統故障的零延時響應。

圖1.配置超級電容的ASD主電路結構圖
圖中,SC為超級電容(SuperCapacitor),R為SC充電電阻,D為SC放電二極管,Cd為直流平波電容器,Sa~Sc為IGBT器件,L0及C0為輸出濾波器的電感和電容。交流輸入側采用Y/Y/D接線的三繞組輸入變壓器及兩組三相不控整流電路構成12脈波整流係統,注入係統的諧波電流次數為12k±1,數值高,因此在無特殊要求場合,不用考慮設置濾波電路。
另外,兩個整流器串聯後輸出到直流母線,可以提高直流母線電壓,使得逆變器可以在較大的電壓範圍內工作。整流器中點連接到平波電容、超級電容及輸出濾波器電路的中點,利用整流電路鉗位平波電容,電壓可以方便的實現上、下電容均壓目的。
由於超級電容容量較大,一般為直流平波電容的幾百倍以上(根據儲能要求配置),因此若不采取措施,上電時會導致極大湧流,對輸入變壓器和整流電路安全運行造成威脅。
圖1中采用充電電阻R限製SC的充電電流,而平波電容Cd的上電充電電流由輸入變壓器的漏抗限製。綜合考慮短時供電中斷及電壓暫降發生的頻度、充電電阻容量等因素,SC充電回路時間常數一般取十幾分鍾數量級。充電的SC相當於在直流母線上增加一個負載,而充滿電的SC使得直流母線電壓非常平穩,設計上可以大大減小平波電容Cd的容量。
原理及控製策略
圖1所示的ASD是基於IGBT的三相電壓源逆變器,超級電容通過放電二極管連接到直流母線上。開關器件Sa~Sc構成ASD逆變器,由於設置了儲能係統,可以在係統發生供電中斷及電壓暫降時,短時間內向負荷提供有功功率。
由於不需要檢測、計算電能質量擾動、電網電壓同步等信號,因此控製策略上比較簡單,即隻需采樣直流母線電壓,判斷其是否處於逆變器正常運行允許範圍內,確定能否向負載提供電源。由DSP控製器自行產生電壓指令,底層采用SPWM控製對逆變器開關器件控製信號進行調製。
[page]
儲能配置
超級電容儲存的能量表示為:
(1)
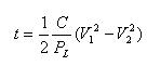
式中,C為超級電容的電容值,Vsc為超級電容端電壓。其對負荷提供恒定有功功率的持續時間表示為:
(2)
式中,PL為超級電容輸出的恒定有功功率,V1為超級電容初始端電壓,V2為維持正常工作的最低端電壓。由式(2)可知,當超級電容釋放儲能的50%時,其端電壓下降到初始電壓的70%。因此根據特定負荷(PL)、斷電後需要ASD維持供電時間(t)、故障初始時刻直流母線電壓(V1)、逆變器正常工作需要的最小直流母線電壓(V2)可以唯一確定超級電容的的容量值C。
仿真與實驗
我們研製了15kVA如圖1所示的配置了超級電容儲能的ASD裝置,並進行了大量數字仿真及物理實驗。仿真基於EMTDC/PSCAD。為了清楚地觀察效果,超級電容容量取得較小,為5000mF。圖2、圖3分別為係統發生短時供電中斷ASD運行的仿真、實驗結果。

圖2.係統發生短時供電中斷時,ASD運行的仿真結果
上:係統A相電壓(kV);中:負荷A相電壓(kV);下:直流母線電壓(kV)

圖3.係統發生短時供電中斷時,ASD運行的實驗結果
上:負荷A相電壓;下:係統A相電壓
可見在係統發生短時斷電情況下,ASD仍然能夠通過利用超級電容的儲能維持逆變器的正常工作,消除了短時供電中斷對逆變器的影響,極大提高了供電可靠性。當然,對電壓暫降等其他電能質量問題效果是一樣的。圖4為係統發生電壓暫降時ASD運行的實驗波形。

圖4.係統發生電壓暫降時,ASD運行的實驗結果
上:負荷A相電壓;下:係統A相電壓
本文提出了基於超級電容儲能的ASD裝置抵禦電網電能質量擾動的實用方案。ASD采用AC-DC-AC模式,輸入側采用12脈動不控整流結構,一方麵減小輸入諧波電流,同時可以方便地提高直流母線電壓,另一方麵,多相整流的雙整流器中點直接將上下直流電容電壓鉗位在整流輸出電壓,大大簡化了中點電位的控製。
超級電容模塊接在直流母線上,在係統發生短時供電中斷或電壓暫降時,由超級電容儲能供給負載有功支持。數字仿真及物理實驗驗證了所提拓撲結構和控製策略消除電能質量擾動對ASD影響的正確性及有效性。
- ASD主電路結構
- ASD原理及控製策略
- 基於EMTDC/PSCAD仿真與實驗
- 采用AC-DC-AC模式
- 基於IGBT的三相電壓源逆變
- 采用充電電阻R限製SC的充電電流
利用儲能係統抵禦電能質量擾動是目前最直接、最可靠的途徑,可以考慮的儲能設備有蓄電池、超導線圈、飛輪及電容器等。不過短時供電中斷及電壓暫降的持續時間很短,一般不超過幾秒數量級,但是出現的頻度較高。而在短時大功率應用方麵超級電容的非常明顯的優越性。
超級電容也稱為電化學電容,它具有優良的脈衝充放電和大容量儲能性能,單體的容量目前已經做到萬法拉級,是一種介於靜電電容器與電池之間的新型儲能元件。超級電容最大充放電性能由活性物質表麵的離子取向和電荷轉移速度控製,因此可在短時間內進行電荷轉移,得到很高的放電比功率;同時,由於電極上沒有發生決定反應速度與限製電極壽命的活性物質的相應變化,因此它具有很好的循環壽命。因而受到日本、美國、歐盟、俄羅斯等國家的高度重視。
目前,超級電容與各類動力電池配合使用組成的複合電池在電動汽車的領域已經進入實用化階段[1],日本在電氣機車驅動電源、短時UPS等應用方向進行了研究,分別開發出了80kVA和50kVA實驗樣機。
目前國外對ASDride-through的研究開展得很熱烈,一些文獻介紹了采用不同DC/DC變換拓撲提取儲能元件能量的中、小功率(3~5kW)實驗樣機的研究情況,但很難實現較大容量。隨著超級電容設計技術不斷提高及單位容量價格的下降,利用超級電容直接支撐直流母線電壓構成超大容量ASD裝置已經成為可能。
在能源結構必須調整的背景下,我國的ASD市場極大,特別是高壓大容量的變頻調速裝置,而ASD抵禦電能質量擾動領域的研究尚未引起國內研究、生產部門足夠的重視,在該領域開展研究有重要的理論及應用意義。
本文提出了一種非常實用、易於大容量化的基於超級電容儲能的ASD結構,通過仿真及實驗研究驗證了所提拓撲結構和控製策略消除電能質量擾動對ASD影響的正確性及有效性。
主電路結構
ASD主電路采用如圖1所示的AC-DC-AC模式,儲能元件直接連接到DC母線上。在係統電壓質量低於設定標準時從儲能單元汲取電能,再由逆變單元供給電機負荷,以實現ASD逆變部分對電網側電能質量問題的完全免疫以及對係統故障的零延時響應。

圖1.配置超級電容的ASD主電路結構圖
圖中,SC為超級電容(SuperCapacitor),R為SC充電電阻,D為SC放電二極管,Cd為直流平波電容器,Sa~Sc為IGBT器件,L0及C0為輸出濾波器的電感和電容。交流輸入側采用Y/Y/D接線的三繞組輸入變壓器及兩組三相不控整流電路構成12脈波整流係統,注入係統的諧波電流次數為12k±1,數值高,因此在無特殊要求場合,不用考慮設置濾波電路。
另外,兩個整流器串聯後輸出到直流母線,可以提高直流母線電壓,使得逆變器可以在較大的電壓範圍內工作。整流器中點連接到平波電容、超級電容及輸出濾波器電路的中點,利用整流電路鉗位平波電容,電壓可以方便的實現上、下電容均壓目的。
由於超級電容容量較大,一般為直流平波電容的幾百倍以上(根據儲能要求配置),因此若不采取措施,上電時會導致極大湧流,對輸入變壓器和整流電路安全運行造成威脅。
圖1中采用充電電阻R限製SC的充電電流,而平波電容Cd的上電充電電流由輸入變壓器的漏抗限製。綜合考慮短時供電中斷及電壓暫降發生的頻度、充電電阻容量等因素,SC充電回路時間常數一般取十幾分鍾數量級。充電的SC相當於在直流母線上增加一個負載,而充滿電的SC使得直流母線電壓非常平穩,設計上可以大大減小平波電容Cd的容量。
原理及控製策略
圖1所示的ASD是基於IGBT的三相電壓源逆變器,超級電容通過放電二極管連接到直流母線上。開關器件Sa~Sc構成ASD逆變器,由於設置了儲能係統,可以在係統發生供電中斷及電壓暫降時,短時間內向負荷提供有功功率。
由於不需要檢測、計算電能質量擾動、電網電壓同步等信號,因此控製策略上比較簡單,即隻需采樣直流母線電壓,判斷其是否處於逆變器正常運行允許範圍內,確定能否向負載提供電源。由DSP控製器自行產生電壓指令,底層采用SPWM控製對逆變器開關器件控製信號進行調製。
[page]
儲能配置
超級電容儲存的能量表示為:
式中,C為超級電容的電容值,Vsc為超級電容端電壓。其對負荷提供恒定有功功率的持續時間表示為:
(2)式中,PL為超級電容輸出的恒定有功功率,V1為超級電容初始端電壓,V2為維持正常工作的最低端電壓。由式(2)可知,當超級電容釋放儲能的50%時,其端電壓下降到初始電壓的70%。因此根據特定負荷(PL)、斷電後需要ASD維持供電時間(t)、故障初始時刻直流母線電壓(V1)、逆變器正常工作需要的最小直流母線電壓(V2)可以唯一確定超級電容的的容量值C。
仿真與實驗
我們研製了15kVA如圖1所示的配置了超級電容儲能的ASD裝置,並進行了大量數字仿真及物理實驗。仿真基於EMTDC/PSCAD。為了清楚地觀察效果,超級電容容量取得較小,為5000mF。圖2、圖3分別為係統發生短時供電中斷ASD運行的仿真、實驗結果。

圖2.係統發生短時供電中斷時,ASD運行的仿真結果
上:係統A相電壓(kV);中:負荷A相電壓(kV);下:直流母線電壓(kV)

圖3.係統發生短時供電中斷時,ASD運行的實驗結果
上:負荷A相電壓;下:係統A相電壓
可見在係統發生短時斷電情況下,ASD仍然能夠通過利用超級電容的儲能維持逆變器的正常工作,消除了短時供電中斷對逆變器的影響,極大提高了供電可靠性。當然,對電壓暫降等其他電能質量問題效果是一樣的。圖4為係統發生電壓暫降時ASD運行的實驗波形。

圖4.係統發生電壓暫降時,ASD運行的實驗結果
上:負荷A相電壓;下:係統A相電壓
本文提出了基於超級電容儲能的ASD裝置抵禦電網電能質量擾動的實用方案。ASD采用AC-DC-AC模式,輸入側采用12脈動不控整流結構,一方麵減小輸入諧波電流,同時可以方便地提高直流母線電壓,另一方麵,多相整流的雙整流器中點直接將上下直流電容電壓鉗位在整流輸出電壓,大大簡化了中點電位的控製。
超級電容模塊接在直流母線上,在係統發生短時供電中斷或電壓暫降時,由超級電容儲能供給負載有功支持。數字仿真及物理實驗驗證了所提拓撲結構和控製策略消除電能質量擾動對ASD影響的正確性及有效性。
特別推薦
- 噪聲中提取真值!瑞盟科技推出MSA2240電流檢測芯片賦能多元高端測量場景
- 10MHz高頻運行!氮矽科技發布集成驅動GaN芯片,助力電源能效再攀新高
- 失真度僅0.002%!力芯微推出超低內阻、超低失真4PST模擬開關
- 一“芯”雙電!聖邦微電子發布雙輸出電源芯片,簡化AFE與音頻設計
- 一機適配萬端:金升陽推出1200W可編程電源,賦能高端裝備製造
技術文章更多>>
- 跨域無界 智馭未來——聯合電子北京車展之智能網聯篇
- 全棧電驅 高效集成 ——聯合電子北京車展之電動化篇
- 博世半導體亮相北京車展:以技術創新驅動智能出行
- 超低功耗微控製器模塊為工程師帶來新的機遇——第1部分:Eclipse項目設置
- 英偉達吳新宙北京車展解讀:以五層架構與開放生態,加速汽車駛向L4
技術白皮書下載更多>>
- 車規與基於V2X的車輛協同主動避撞技術展望
- 數字隔離助力新能源汽車安全隔離的新挑戰
- 汽車模塊拋負載的解決方案
- 車用連接器的安全創新應用
- Melexis Actuators Business Unit
- Position / Current Sensors - Triaxis Hall
熱門搜索
電纜連接器
電力電子
電力繼電器
電力線通信
電流保險絲
電流表
電流傳感器
電流互感器
電路保護
電路圖
電路圖符號
電路圖知識
電腦OA
電腦電源
電腦自動斷電
電能表接線
電容觸控屏
電容器
電容器單位
電容器公式
電聲器件
電位器
電位器接法
電壓表
電壓傳感器
電壓互感器
電源變壓器
電源風扇
電源管理
電源管理IC

