電流型電火花加工電源工作頻率和濾波電感確定方法
發布時間:2012-01-20
中心議題:
- 電流型電火花加工電源的工作過程分析
- 電流型電火花加工電源的諧波電感和工作頻率確定
本文分析了電流型電火花加工電源工作頻率和所帶電子負載開關頻(pin)率(lv)的(de)配(pei)合(he)問(wen)題(ti),詳(xiang)細(xi)推(tui)導(dao)了(le)在(zai)滿(man)足(zu)精(jing)度(du)加(jia)工(gong)條(tiao)件(jian)下(xia),濾(lv)波(bo)電(dian)感(gan)和(he)電(dian)源(yuan)工(gong)作(zuo)頻(pin)率(lv)要(yao)滿(man)足(zu)的(de)約(yue)束(shu)關(guan)係(xi)。最(zui)後(hou)具(ju)體(ti)確(que)定(ding)了(le)開(kai)關(guan)頻(pin)率(lv)和(he)電(dian)感(gan)值(zhi)。
1 引言
電流型電火花加工電源後級為一電子負載,它在工作時對前級變換器的輸出電流進行連續不斷的斬波,在整個負載範圍內(即對應不同的消電離時間和脈衝寬度組合),可以看作是頻率可以調節的電子負載,後級的斬波頻率為250kHz(對應消電離時間和脈衝寬度均為2μs)至1.56kHz(對應於消電離時間480μs和脈衝寬度160μs),負載工作頻段極寬,而前級交錯並聯雙管正激變換器的頻率是固定不變的,針對這一情況,自然要提出幾點質疑:
1)前後級工作頻率配合上是否合理;
2)前級變換器能否即時對後級電子負載進行能量補充,即前級是否具有足夠快的響應速度;
3)針對前級變換器所帶的這種電子負載,應該如何對其主要參數進行設計。
為了解決這些問題,有必要從前後級的工作原理特點入手深入研究。
2 工作過程分析
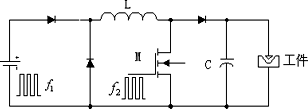
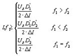
圖1為前、後級變換器的主電路圖。其中電容C的值很小,它的作用是高壓引弧放電。具體工作過程是這樣的:當開關S關斷時,由於工件還處於開路狀態,所以電感L中的大電流給C充電,致使工件兩端電壓線性急劇上升,直至高壓擊穿正常放電,此後,電流流經工件進行加工,一直延續到S開通時結束。假設前級變換器的開關頻率為f1,後級電子負載開關S的開關頻率為f2,那麼f1和f2有以下4種情況。

圖1 前後級等效電路
1)f1》f2,即前級的工作頻率遠高於後級,這種情況對應於後級大脈寬切割。其前後級的主要工作波形如圖2所示。

圖2 f1》f2時的主要工作波形
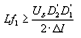
在t0時刻以前,S管開通,前級輸出短路,理想情況下,變壓器副邊輸出極窄的方波(Uo),當t0時刻S關斷時,電流iL經S換流至二極管D,給負載輸出電流。由於t0之前,前級變換器的占空比極小,突加負載後,由儲能電感給負載提供部分電流,隨著時間的延長,iL減小,受電流環的控製,前級變換器占空比增加,使iL回升至原值,故iL有you一yi個ge波bo動dong過guo程cheng。另ling外wai,如ru果guo電dian流liu環huan設she計ji沒mei有you達da到dao最zui優you時shi,那na麼me電dian流liu在zai調tiao節jie過guo程cheng中zhong的de超chao調tiao量liang將jiang很hen大da,調tiao節jie時shi間jian很hen長chang,致zhi使shi加jia工gong電dian流liu不bu穩wen定ding,影ying響xiang加jia工gong效xiao率lv和he精jing度du。但dan從congS的一個開關周期看來,由於f1》f2,S的一個周期中,前級變換器將要經曆多個周期,即當S關斷時,前級變換器有足夠多的周期可以調節iL,使得iL穩定。假設iL的允許波動範圍為ILmin~ILmax,並假設f1在S關斷後經過n個周期,進入穩定狀態,從能量的角度來看,即要保證在這n個周期中,當前級變換器無輸出時,電感的儲能要滿足負載能量需求,這可用式(1)表示。

則上式可以簡化為
![]()
從式(2)可以看出,要滿足穩定加工,Lf1乘積必須滿足一定的約束條件。
[page]
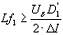
2)f1《f2,即(ji)前(qian)級(ji)工(gong)作(zuo)頻(pin)率(lv)遠(yuan)低(di)於(yu)後(hou)級(ji)工(gong)作(zuo)頻(pin)率(lv),對(dui)應(ying)於(yu)後(hou)級(ji)小(xiao)脈(mai)寬(kuan)切(qie)割(ge)。這(zhe)一(yi)情(qing)況(kuang)恰(qia)好(hao)與(yu)前(qian)一(yi)種(zhong)情(qing)況(kuang)相(xiang)反(fan),即(ji)前(qian)級(ji)變(bian)換(huan)器(qi)在(zai)一(yi)個(ge)周(zhou)期(qi)內(nei),後(hou)級(ji)變(bian)換(huan)器(qi)已(yi)經(jing)經(jing)曆(li)了(le)f2/f1個周期,如圖3所示,在0shike,qianjibianhuanqishuchunengliang,dianganchuneng,jiashefuzaiyezaicishitongshifangdianqiege,youyubianyaqishuchunengliangdayufuzaixishounengliang,gudiangandianliushangsheng,zait1時刻開通S,前級輸出短路,零功率輸出,電感電流繼續上升儲能,到t2時刻關斷S,負載又開始放電,重複上述過程,直到tn時shi刻ke,變bian壓ya器qi無wu輸shu出chu,電dian感gan開kai始shi釋shi放fang能neng量liang向xiang負fu載zai供gong電dian,在zai前qian級ji變bian換huan器qi開kai始shi下xia一yi周zhou期qi之zhi前qian,負fu載zai吸xi收shou的de能neng量liang全quan部bu來lai自zi儲chu能neng電dian感gan。通tong過guo分fen析xi可ke以yi看kan到dao,當dang後hou級ji負fu載zai經jing曆lif2/f1gezhouqishi,qianjibianhuanqijinweiyigezhouqi,zaizhegeguochengzhong,qianjibianhuanqiduifuzaidetubianshiwufatiaozhengde,zhezhongqingkuangxia,qianjizhankongbidedaxiaoyoufuzaidepingjungonglvjueding,bushoufuzaitubiandeyingxiang,huanjuhuashuo,zhiyaofuzaitexingbubian,zeqianjizhankongbihengding。weibaozhengqianjiyouzugounenglianggonggeifuzai,bixuzaiyigezhouqi(T1=1/f1)內都能滿足式(3)要求。
![]()
式中:D′2=1-D2,D2為S的占空比。
則有:
![]()

圖3 f1《f2時的主要工作波形
若不滿足式(4),則輸出電流iL的波動將變大,影響加工效率和精度。從式(4)中可以看出,Lf1的取值與D′2也有關係。
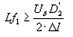
3)f1=f2,適(shi)當(dang)的(de)消(xiao)電(dian)離(li)寬(kuan)度(du)和(he)脈(mai)寬(kuan)組(zu)合(he)能(neng)夠(gou)使(shi)得(de)前(qian)後(hou)級(ji)變(bian)換(huan)器(qi)的(de)頻(pin)率(lv)相(xiang)等(deng)。由(you)於(yu)前(qian)後(hou)級(ji)工(gong)作(zuo)時(shi)鍾(zhong)的(de)任(ren)意(yi)性(xing),考(kao)慮(lv)到(dao)最(zui)惡(e)劣(lie)情(qing)況(kuang),假(jia)設(she)在(zai)前(qian)級(ji)續(xu)流(liu)時(shi),後(hou)級(ji)S關斷,放電加工。波形如圖4所suo示shi。和he以yi上shang分fen析xi方fang法fa相xiang同tong,保bao證zheng後hou級ji在zai一yi個ge周zhou期qi內nei所suo需xu的de能neng量liang全quan部bu由you電dian感gan儲chu能neng提ti供gong,如ru果guo電dian感gan儲chu能neng過guo少shao,將jiang導dao致zhi前qian級ji輸shu出chu電dian流liu下xia降jiang較jiao大da,使shi之zhi在zai下xia一yi工gong作zuo周zhou期qi中zhong調tiao節jie占zhan空kong比bi,直zhi至zhi占zhan空kong比bi增zeng加jia到dao一yi個ge適shi當dang值zhi,這zhe樣yang,輸shu出chu電dian流liu波bo動dong大da,對dui加jia工gong精jing度du不bu利li,因yin此ci,要yao求qiu儲chu能neng電dian感gan要yao滿man足zu式shi(5)能量約束關係。
![]()
即:
![]()
圖4 f1=f2時的主要工作波形
4)f2與f1接近
(1)f1>f2 類似於f1》f2,不同之處在於前級占空比頻繁調節,電流波動大,加工效率和精度差。
(2)f1<f2 類似於f1《f2,加工情況同(1)。
對於f2與f1接近,但f1≠f2的情況,在能量關係上也必須滿足以上分析結果。
綜上所述,為使得級變換器輸出電流平穩,並且能夠及時對負載進行能量補充,則對Lf1乘積有一定要求,即Lf1要滿足不等式(7)。

為求出Lf1的確切值,必須對上述約束關係中的各個參數進行代換。這裏取平均值Uδ=25V;D′1=1-D1,在0~1之間變化,故取D′1max≈1;,取ΔI=0.02IL=0.02×20=0.4A;D′2=1-D2,由於在實際應用中,一般要求消電離時間≥脈衝寬度,故取0.5≤D2<1,即0<D′2≤0.5,這裏取D′2max=0.5。將上述各參數代入約束關係可得式(8)
(Lf2)min≥31.25(8)
理論上,Lf1的值取無窮大最好。在滿足式(8)的條件下,f1減小,則L增大,即當降低前級變換器的工作頻率時,就要求加大濾波電感的電感量,這會導致電源體積變大;相反,f1越高,L可以越小,即可以通過提高電源工作頻率來減小儲能電感的電感量,達到減小電源體積的目的。但是,在實際應用中,f1不可能無限製增大,因為當f1很大時,電源寄生參數的影響明顯增大,開關損耗也加大。因此,這就要求對L和f1的選取進行折衷,取一最優值,並且當f1足夠大時,應采用軟開關技術。這裏不妨取f1=200kHz,對應於交錯並聯雙管正激變換器各路頻率為100kHz,此時可以計算出濾波電感L=156μH,取L=160μH。
3 結語
通(tong)過(guo)以(yi)上(shang)分(fen)析(xi)可(ke)知(zhi),在(zai)電(dian)流(liu)型(xing)電(dian)火(huo)花(hua)加(jia)工(gong)電(dian)源(yuan)中(zhong),由(you)於(yu)其(qi)負(fu)載(zai)是(shi)一(yi)個(ge)開(kai)關(guan)型(xing)負(fu)載(zai),所(suo)以(yi)濾(lv)波(bo)電(dian)感(gan)和(he)電(dian)源(yuan)開(kai)關(guan)工(gong)作(zuo)頻(pin)率(lv)的(de)設(she)計(ji)不(bu)同(tong)於(yu)以(yi)往(wang)阻(zu)性(xing)或(huo)感(gan)性(xing)負(fu)載(zai)的(de)情(qing)況(kuang),其(qi)電(dian)感(gan)量(liang)和(he)開(kai)關(guan)頻(pin)率(lv)的(de)乘(cheng)積(ji)必(bi)須(xu)滿(man)足(zu)一(yi)定(ding)的(de)約(yue)束(shu)條(tiao)件(jian)。在(zai)滿(man)足(zu)約(yue)束(shu)條(tiao)件(jian)的(de)情(qing)況(kuang)下(xia),適(shi)當(dang)提(ti)高(gao)電(dian)源(yuan)工(gong)作(zuo)頻(pin)率(lv),可(ke)以(yi)減(jian)小(xiao)濾(lv)波(bo)電(dian)感(gan),從(cong)而(er)達(da)到(dao)減(jian)小(xiao)電(dian)源(yuan)整(zheng)機(ji)重(zhong)量(liang)和(he)體(ti)積(ji)的(de)目(mu)的(de)。同(tong)時(shi),當(dang)電(dian)源(yuan)頻(pin)率(lv)較(jiao)高(gao)時(shi),從(cong)提(ti)高(gao)電(dian)源(yuan)效(xiao)率(lv)角(jiao)度(du)考(kao)慮(lv),建(jian)議(yi)采(cai)用(yong)軟(ruan)開(kai)關(guan)技(ji)術(shu)。
- 噪聲中提取真值!瑞盟科技推出MSA2240電流檢測芯片賦能多元高端測量場景
- 10MHz高頻運行!氮矽科技發布集成驅動GaN芯片,助力電源能效再攀新高
- 失真度僅0.002%!力芯微推出超低內阻、超低失真4PST模擬開關
- 一“芯”雙電!聖邦微電子發布雙輸出電源芯片,簡化AFE與音頻設計
- 一機適配萬端:金升陽推出1200W可編程電源,賦能高端裝備製造
- 貿澤EIT係列新一期,探索AI如何重塑日常科技與用戶體驗
- 算力爆發遇上電源革新,大聯大世平集團攜手晶豐明源線上研討會解鎖應用落地
- 創新不止,創芯不已:第六屆ICDIA創芯展8月南京盛大啟幕!
- AI時代,為什麼存儲基礎設施的可靠性決定數據中心的經濟效益
- 矽典微ONELAB開發係列:為毫米波算法開發者打造的全棧工具鏈
- 車規與基於V2X的車輛協同主動避撞技術展望
- 數字隔離助力新能源汽車安全隔離的新挑戰
- 汽車模塊拋負載的解決方案
- 車用連接器的安全創新應用
- Melexis Actuators Business Unit
- Position / Current Sensors - Triaxis Hall




