低電壓供電時的帶隙基準電壓源電路的設計
發布時間:2012-12-31 責任編輯:Lynnjiao
【導讀】本文給出了一個低電壓供電時的帶隙基準電壓源電路的設計方法。該電路通過對傳統帶隙基準電路的改進,使輸出基準電壓在600 mV仍然能滿足零溫度係數。
本文采用一種低電壓帶隙基準結構。在TSMC0.13μm CMOS工藝條件下完成,包括核心電路、運算放大器、偏置及啟動電路的設計,並用Cadence Spectre對電路進行了仿真驗證。
jizhundianyashishumohunhedianlushejizhongyigebukequeshaodecanshu,erdaixijizhundianyayuanyoushichanshengzhegedianyadezuiguangfandejiejuefangan。zaidaliangshouchishebeiyingyongdejintian,digonghaodeshejiyichengweixianjindianlushejideyidaqushi。suizheCMOS工gong藝yi尺chi寸cun的de下xia降jiang,數shu字zi電dian路lu的de功gong耗hao和he麵mian積ji會hui顯xian著zhu下xia降jiang,但dan電dian源yuan電dian壓ya的de下xia降jiang對dui模mo擬ni電dian路lu的de設she計ji提ti出chu新xin的de挑tiao戰zhan。傳chuan統tong的de帶dai隙xi基ji準zhun電dian壓ya源yuan結jie構gou不bu再zai適shi應ying電dian源yuan電dian壓ya的de要yao求qiu,所suo以yi,新xin的de低di電dian壓ya設she計ji方fang案an應ying運yun而er生sheng。
傳統帶隙基準電壓源的工作原理
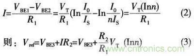
傳統帶隙基準電壓源的工作原理是利用兩個溫度係數相抵消來產生一個零溫度係數的直流電壓。圖1所示是傳統的帶隙基準電壓源的核心部分的結構。其中雙極型晶體管Q2的麵積是Q1的n倍。

圖1:傳統帶隙基準源結構
假設運算放大器的增益足夠高,在忽略電路失調的情況下,其輸入端的電平近似相等,則有:
VBE1=VBE2+IR1 (1)
其中,VBE具有負溫度係數,VT具有正溫度係數,這樣,通過調節n和R2/R1,就可以使Vref得到一個零溫度係數的值。一般在室溫下,有:
但在0.13μm的CMOS工藝下,低電壓MOS管的供電電壓在1.2 V左右,因此,傳統的帶隙基準電壓源結構已不再適用。
低電源帶隙基準電壓源的工作原理
低(di)電(dian)源(yuan)電(dian)壓(ya)下(xia)的(de)帶(dai)隙(xi)基(ji)準(zhun)電(dian)壓(ya)源(yuan)的(de)核(he)心(xin)思(si)想(xiang)與(yu)傳(chuan)統(tong)結(jie)構(gou)的(de)帶(dai)隙(xi)基(ji)準(zhun)相(xiang)同(tong),也(ye)是(shi)借(jie)助(zhu)工(gong)藝(yi)參(can)數(shu)隨(sui)溫(wen)度(du)變(bian)化(hua)的(de)特(te)性(xing)來(lai)產(chan)生(sheng)正(zheng)負(fu)兩(liang)種(zhong)溫(wen)度(du)係(xi)數(shu)的(de)電(dian)壓(ya),從(cong)而(er)達(da)到(dao)零(ling)溫(wen)度(du)係(xi)數(shu)的(de)目(mu)的(de)。圖(tu)2所示是低電壓下帶隙基準電壓源的核心部分電路,包括基準電壓產生部分和啟動電路部分。

圖2:低電源電壓下的帶隙基準電壓源結構
帶隙基準源電路
由於放大器的輸入端電平近似相等,故由電流鏡像原理可得到如下等式:
這樣,適當選擇R2/R1、R2/R3以及n的值,即可得到低電源電壓下的基準電平。
基於版圖的設計考慮,可選擇n為8,這樣可以更好地實現三極管的匹配,減小誤差。該電流源使用共源共刪結構,從而可以提高電流拷貝的精度以及減小電源電壓對Vref的影響,並在一定程度上有利於PSRR。
雖然CMOS工藝中的電阻絕對值會有偏差,但這裏用到的是電阻的比值,所以要盡可能的做到比值的準確。具體方法是把R1、R2、R3都用單位電阻並聯串聯來表示。版圖設計時,應盡量把這些電阻放在一起,並在周圍加上dummy,以最大限度地減小工藝偏差對電阻比值的影響。
啟動電路
電路開啟前,可將Pup置為0,開關M1關斷,反相器輸入端為高電平,開關M2不開;當信號Pup置為1時,開關M1打開,反相器輸入端電壓被拉低,使開關M2開啟,P點電壓被拉低,帶隙基準電路部分開始工作,M3隨之開啟;此後由於M3開始工作,電阻Rstup上流過的電流把反相器輸入端電位抬高,超過反相器反向電壓時。輸出為低電位,開關M2關閉,啟動電路結束工作。M3與Rstup的選取是啟動電路值得注意的地方,M3鏡像而來的電流與Rstup的阻值乘積得到的電壓值必須在P點電壓穩定前足以使反相器輸出低電壓,並使開關M2關斷。
仿真分析
圖3為基準電壓幅度隨溫度變化的曲線,可以看到,從-30~100℃,Vref基本在3 mV以內波動,誤差範圍在5%以內。

圖3:溫度變化曲線
圖4所示是本設計的PSRR仿真結果。從圖4可以看出,在低頻時,其PSRR約為-81 dB。

圖4:PSRR仿真結果
圖5是本設計的電源電壓掃描仿真結果。由圖可見,其電源電壓在1~1.8 V之間,基準電路都能很穩定的輸出約600 mV的電壓基準值。

圖5:電源電壓掃描仿真結果
本設計基於TSMC 0.13 μmC-MOS工藝。通過仿真,結果顯示:該電路在-30~100℃範圍內的溫度係數為12×10-6℃,低頻下的PSRR約為-81 dB。在供電為1~1.8 V範圍內,電路能夠工作正常,輸出電壓約600 mV。
- 噪聲中提取真值!瑞盟科技推出MSA2240電流檢測芯片賦能多元高端測量場景
- 10MHz高頻運行!氮矽科技發布集成驅動GaN芯片,助力電源能效再攀新高
- 失真度僅0.002%!力芯微推出超低內阻、超低失真4PST模擬開關
- 一“芯”雙電!聖邦微電子發布雙輸出電源芯片,簡化AFE與音頻設計
- 一機適配萬端:金升陽推出1200W可編程電源,賦能高端裝備製造
- 突破工藝邊界,奎芯科技LPDDR5X IP矽驗證通過,速率達9600Mbps
- 通過直接、準確、自動測量超低範圍的氯殘留來推動反滲透膜保護
- 從技術研發到規模量產:恩智浦第三代成像雷達平台,賦能下一代自動駕駛!
- 從機械執行到智能互動:移遠Q-Robotbox助力具身智能加速落地
- 品英Pickering將亮相2026航空電子國際論壇,展示航電與電池測試前沿方案
- 車規與基於V2X的車輛協同主動避撞技術展望
- 數字隔離助力新能源汽車安全隔離的新挑戰
- 汽車模塊拋負載的解決方案
- 車用連接器的安全創新應用
- Melexis Actuators Business Unit
- Position / Current Sensors - Triaxis Hall



