電源熱備份集中供電係統中抑止浪湧電流的電源緩啟電路
發布時間:2012-12-31 責任編輯:Lynnjiao
【導讀】在通信係統設備中,電源的設計通常分一次電源和二次電源兩部分,一次電源係統的輸入是50Hz交流電,電壓根據國家不同分220V和110V兩種,輸出通常為-48V。二次電源通常指從-48V或-24V轉換成5V、3.3V等低電壓以及從低壓到低壓的轉換電源。
現代集成電路工藝已進入亞微米階段,數字信號的上升/下(xia)降(jiang)時(shi)間(jian)普(pu)遍(bian)為(wei)亞(ya)納(na)秒(miao)量(liang)級(ji),這(zhe)使(shi)高(gao)速(su)數(shu)字(zi)係(xi)統(tong)的(de)設(she)計(ji)麵(mian)臨(lin)巨(ju)大(da)挑(tiao)戰(zhan)。晶(jing)體(ti)管(guan)尺(chi)寸(cun)越(yue)來(lai)越(yue)小(xiao),使(shi)得(de)其(qi)工(gong)作(zuo)電(dian)壓(ya)越(yue)來(lai)越(yue)低(di),同(tong)時(shi)時(shi)鍾(zhong)頻(pin)率(lv)不(bu)斷(duan)上(shang)升(sheng),微(wei)處(chu)理(li)器(qi)(CPU)和各種專用芯片(ASIC)集成的功能越來越多,其消耗的功率也越來越大,這對電源係統的穩定性和可靠性提出了更高的要求。
zaicaiyongjizhonggongdiandeercidianyuanxitongzhong,bankacharuzhujishi,zhujiyijingchuyuwendingdegongzuozhuangtai,suoyourongxingfuzaijunyichongdian。daichadebankashibudaidiande,bankashangderongxingfuzaimeiyouchongdian。zairecharuguochengzhong,daichabankashangdedianrongshunjianchongdian。chongdianguochengjiangzaicharudeshunjiancongxitongdianyuanxinadaliangdedianliu,daozhixitongdianyashunjiandieluo,yingxiangqitabankadezhengchangyunxing。zaidianyuanxianjiechudeshunjian,xitongdianyuandeshuchudianzuhedaichabankadedianrongzuchengRC充chong電dian通tong道dao,由you於yu電dian源yuan的de輸shu出chu電dian阻zu很hen小xiao,浪lang湧yong電dian流liu非fei常chang大da。在zai拔ba出chu板ban卡ka的de過guo程cheng中zhong,板ban卡ka上shang的de旁pang路lu電dian容rong放fang電dian,和he背bei板ban之zhi間jian形xing成cheng一yi個ge低di阻zu通tong道dao,也ye會hui產chan生sheng瞬shun間jian大da電dian流liu。浪lang湧yong電dian流liu攜xie帶dai大da量liang的de能neng量liang,會hui毀hui壞huai接jie口kou器qi件jian、連接器和金屬連線。為了防止上述情況發生,所以要對電源係統進行必要的保護性設計。
二次電源的濾波保護
對於采用-48V輸入電壓供電的係統中,各單板的輸入電路的濾波和保護電路的設計一般要遵循的原則是:滿足相關的可靠性和電磁兼容技術標準的要求,相應的標準可以參考公司的技術標準和國際通行的標準。通常應用如圖1所示的電路。

圖1:典型-48V電源輸入濾波保護電路
輸入保護電路一般分防雷擊保護和輸入電壓反接保護,D1為單極性瞬態抑製二極管,插件封裝的推薦型號為1.5KE68A,D2為輸入電壓防反接二極管,插件封裝的推薦型號為SB560,D2也可以用保險絲替代,在單板總功率大於50W時,考慮D2的功率耗散建議使用保險絲。
濾波電路由一級π形濾波器和一級共模濾波器組成,C2、C3為鋁電解電容,電壓大於100V,建議使用105℃工作範圍的,容量在47~470μF,C1、C4為高頻濾波電容,推薦使用X7R材質的瓷片電容,或聚酯薄膜電容,容量0.47~1.5μF,耐壓大於63V。L1選用電感量在100~300μH之間,工作電流根據單板總功率確定,考慮電感的飽和因素,最好按50%降額。L2選取電感量在100~300μH之間,注意這個電感要采用間繞方式,減少線間電容,電流選取同L1,C6為輻射噪聲抑製電容,選用時注意耐壓大於500V,容量大於1000pF。C7、C8為輸出濾波電容,C7選用鉭電容,輸出5V時選用耐壓10V的,輸出3.3V時選用耐壓6.3V的,容量均在220μF以上,C8建議選用高頻瓷片電容,容量在10~22μF之間,耐壓一般大於6.3V即可。
圖2及圖3中輸出電壓分別為3.3V和1.5V時電源紋波大小分別為48.8mV和41.2mV,可以看到電源輸入濾波保護電路效果明顯。

圖2:輸出電壓3.3V時的紋波

圖3:輸出電壓1.5V時的紋波
電源的緩啟保護
緩啟保護電路的原理
congshangmiandefenxikezhi,jiejuedaidianchababuliyingxiangdegenbencuoshishijianshaolangyongdianliu,langyongdianliushiyouyudaichabankaderongxingfuzaizaishangdianshunjianchongdianyinqide。yougongshiI=Cdv/dt可知,上電時間直接決定了浪湧電流的大小。在一般的帶電插拔過程中,充電電壓相當於一個階躍激勵,dv/dt極大。我們知道在采RC充電回路中,電容的充電時間可以簡單地通過改變R和C值來設定,如果利用這個漸變的電壓控製一個在一定電壓下導通的MOS管,就可以非常有效地減少浪湧電流的值,從而最大程度地減少帶電插拔帶來的負麵影響。
緩啟保護電路
下麵我們詳細介紹緩啟電路的工作原理和電路中各個關鍵元器件參數之間的關係,為不同場合的實際應用提供參考。圖4為實際中經常使用的綜合緩啟電路。保險絲F1限製最大電流,一般采用慢熔保險絲,保險絲的額定電流是板卡最大工作電流的2~3倍。R1、R2、C4和R3、R4、C5分別組成兩條RC充電回路給P溝道MOS管IRF7410提供柵極電壓。兩條不同的充電回路具有不同的RC充電時間,以滿足單板上不同上電順序的需要。R1、R2和R3、R4的作用是通過與接地電阻之間的分壓,直接給MOS管的柵級提供一個開啟電壓,縮短了MOS管達到開啟電壓的時間,在R2上並聯一個電容C3使得兩個緩起電路避開同時達到MOS管的開啟電壓,減少單板的開關噪聲。

圖4:3.3V電源緩啟保護電路
L1和L2對電源進行電感濾波後通過MOS管提供給單板。濾波電感個數和IRF7410個數的選擇,取決於單板3.3V電源電流的大小,為了保持單板電路係統的穩定,需要把濾波電感和緩啟電路引入的壓降控製在0.1V左右,其中電感的直流電阻是10mΩ,IRF7410的導通電阻是8mΩ,以單板3.3V功耗在30W左右的單板為例,電流達到了10A,那麼必須把導通電阻控製在10mΩ以內,考慮到器件的離散性,在留夠裕量後,電感采用用2個,IRF7410采用3~4個,實際使用中可以通過具體調試確定具體的數量。
在電感前麵放置一個續流二極管D1,在係統斷電時給電感L1和L2所產生的感應電動勢一放電回路。0.1μF的瓷片電容和1μF的瓷片電容C1、C2,減少了單板內的開關噪聲幹擾。在單板重負載時,可以適當增加電容個數。C6、C7和C8、C9分別對輸出的電源再進行一次濾波,使單板最終得到平滑穩定的電源。
緩啟保護電路的理論計算和實驗結果
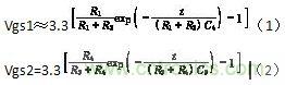
圖4中Q1和Q4的柵源級電壓分別為
P溝道MOS管IRF7410的開啟電壓Vgs大約為-0.9V,根據式(1)及式(2),電源緩啟回路導通時間t1≈0.815ms,t2≈40.9μs。如圖5和圖6所示,緩啟回路1的緩啟時間t1=1.36ms,緩啟回路2的緩啟時間t2=31.2μs。理論計算與實際測量的誤差主要是因為忽略電容C3以及電阻值和IRF7410導通電壓的誤差所致,但是並不影響實際電路的使用。圖7所示為拔掉單板時輸出電壓波形圖,可以看出由於RC放電回路的存在,IRF7410管並不立即截止,單板不立即掉電,對單板電路也可起到一定的保護作用。

圖5:3.3VOut1緩啟過程

圖6:3.3VOut2緩啟過程

圖7:拔掉單板時3.3VOut1掉電過程
上述緩啟電路在實際使用過程中,可以根據單板的電源電壓,上電時序和上電時間要求,靈活選用不同的RC回路的電阻和電容和MOS管,在RC回路中設定不同的分壓比,達到對單板電源緩啟的目的。
安全穩定可靠的電源係統,在通信係統中有著舉足輕重的作用。本文給出了在通信係統中的二次電源電路的DC/DC模mo塊kuai前qian的de濾lv波bo保bao護hu電dian路lu,以yi及ji采cai用yong集ji中zhong供gong電dian方fang式shi中zhong各ge個ge單dan板ban對dui輸shu入ru電dian源yuan的de緩huan啟qi電dian路lu。闡chan述shu了le在zai實shi際ji設she計ji使shi用yong中zhong應ying考kao慮lv的de問wen題ti,實shi際ji測ce量liang的de結jie果guo符fu合he預yu期qi的de目mu標biao。上shang述shu電dian路lu在zai通tong信xin係xi統tong中zhong具ju有you廣guang泛fan的de應ying用yong價jia值zhi.
- 噪聲中提取真值!瑞盟科技推出MSA2240電流檢測芯片賦能多元高端測量場景
- 10MHz高頻運行!氮矽科技發布集成驅動GaN芯片,助力電源能效再攀新高
- 失真度僅0.002%!力芯微推出超低內阻、超低失真4PST模擬開關
- 一“芯”雙電!聖邦微電子發布雙輸出電源芯片,簡化AFE與音頻設計
- 一機適配萬端:金升陽推出1200W可編程電源,賦能高端裝備製造
- 一秒檢測,成本降至萬分之一,光引科技把幾十萬的台式光譜儀“搬”到了手腕上
- AI服務器電源機櫃Power Rack HVDC MW級測試方案
- 突破工藝邊界,奎芯科技LPDDR5X IP矽驗證通過,速率達9600Mbps
- 通過直接、準確、自動測量超低範圍的氯殘留來推動反滲透膜保護
- 從技術研發到規模量產:恩智浦第三代成像雷達平台,賦能下一代自動駕駛!
- 車規與基於V2X的車輛協同主動避撞技術展望
- 數字隔離助力新能源汽車安全隔離的新挑戰
- 汽車模塊拋負載的解決方案
- 車用連接器的安全創新應用
- Melexis Actuators Business Unit
- Position / Current Sensors - Triaxis Hall


