並聯式開關電源的工作原理及電路參數的計算
——陶顯芳老師談開關電源原理與設計
發布時間:2014-01-14 責任編輯:sherryyu
1-4.並聯式開關電源
並聯式開關電源的工作原理比較簡單,工作效率很高,因此應用很廣泛,特別是在一些小電子產品中,並聯式開關電源作為DC/DC升壓電源應用最廣。例如,很多使用幹電池的手提式電器,由於幹電池的電壓一般隻有1.5V或3V,weiletigaogongzuodianya,doushishiyongbinglianshikaiguandianyuanbagongzuodianyatigaoyibei。binglianshikaiguandianyuandequedianshishuruyushuchugongyongyigedi,yinci,rongyichanshengEMI幹擾。
1-4-1.並聯式開關電源的工作原理

圖1-11-a是並聯式開關電源的最簡單工作原理圖,圖1-11-b是並聯式開關電源輸出電壓的波形。圖1-11-a中Ui是開關電源的工作電壓,L是儲能電感,K是控製開關,R是負載。圖1-11-b中uo是開關電源輸出電壓,Up是開關電源輸出電壓的峰值,Upa是開關電源輸出電壓的半波平均值。關於半波平均值的概念,後麵章節還將陸續詳細解釋。
當控製開關K接通時,輸入電源Ui開始對儲能電感L加電,流過儲能電感L的電流按線性規律增加,電流被轉換化成磁能,並存儲在儲能電感中;當控製開關Kyoujietongzhuanweiguanduandeshihou,chunengdianganhuichanshengfandiandongshi,fandiandongshichanshengdianliudefangxiangyuyuanlaidianliudefangxiangxiangtong,yinci,zaifuzaishanghuichanshenghengaodedianya。
在Ton期間,控製開關K接通,儲能電感L兩端的電壓eL正好與輸入電壓Ui相等,即:

式中iL為流過儲能電感L電流的瞬時值,t為時間變量,i(0)為開關K接通前瞬間流過儲能電感的電流,i(0)大小與D有關,當占空比D小於或等於0.5時, ;而當D大於0.5時, ,(參考圖13、14、15 ),為了簡單我們先隻考慮D≤0.5時的情況,即,i(0)=Ui/R 的情況。
當t = Ton時,流過儲能電感L的電流達到最大值iLm :

式中Ton為控製開關K接通的時間。當圖1-11-a中的控製開關K由接通狀態突然轉為關斷時,儲能電感L會把其存儲的能量(磁能)通過反電動勢進行釋放,儲能電感L產生的反電動勢為:
![]()
式中的負號表示反電動勢eL的極性與(1-35)式中的符號相反,即: K關斷期間電感L產生電動勢的方向與K接通期間電感L產生電動勢的方向正好相反。
對(1-38)式階微分方程進行求解得:

式中C為待定常數,把初始條件(令t = 0)代入上式,很容易就可求出C。由於控製開關K由接通狀態突然轉為關斷時,流過儲能電感L中的電流iL不能突變,即i(Ton+) = i(Toff—),並且正好等於流過儲能電感L的最大電流ILm ,因此(1-39)式可以寫為:

從(1-42)式可以看出,當並聯式開關電源的負載R很大或開路時,輸出脈衝電壓的幅度將非常高,隨後,隨著時間的增長,幅度按指數下降,最後下降到與輸入電壓Ui基本相同,這種情況有時是需要避免的,因為高壓脈衝很容易通過靜電感應,使電路中的其它器件過壓擊穿,或產生EMIganrao。binglianshikaiguandianyuanshuchudianyajinglvbozhihou,kededaoyigegaoyushurudianyadeshuchudianya,yincibinglianshikaiguandianyuanjingchangzuoweibeiyahuoshengyadianyuanshiyong。
[page]
1-4-2.並聯式開關電源輸出電壓濾波電路
上shang麵mian已yi經jing知zhi道dao,當dang並bing聯lian式shi開kai關guan電dian源yuan不bu帶dai輸shu出chu電dian壓ya濾lv波bo電dian路lu時shi,輸shu出chu脈mai衝chong電dian壓ya的de幅fu度du將jiang非fei常chang高gao。但dan在zai實shi際ji應ying用yong中zhong,大da多duo數shu並bing聯lian式shi開kai關guan電dian源yuan輸shu出chu電dian壓ya還hai是shi經jing過guo整zheng流liu濾lv波bo後hou的de直zhi流liu電dian壓ya,由you於yu整zheng流liu濾lv波bo電dian路lu對dui尖jian峰feng脈mai衝chong有you平ping滑hua濾lv波bo、整形的作用,因此,在帶有平滑濾波電路的並聯式開關電源中,其輸出電壓基本不含尖峰脈衝波形。

圖1-12-a是帶有整流濾波功能的並聯式開關電源工作原理圖。圖中,Ui是開關電源的工作電壓、L是儲能電感、eL為儲能電感L兩端產生的反電動勢、K是控製開關、D為整流二極管、C為儲能濾波電容、R是負載、Uo為濾波輸出電壓、Io為流過負載的電流。
圖1-12-b表示並聯式開關電源輸出電壓中各種成份之間的關係。其中,Ui為輸入電壓、 uo為並聯開關K兩端的輸出電壓、Up為輸出電壓uo的峰值,Upa是輸出電壓uo的半波平均值,Ua是輸出電壓uo的平均值,Uo為直流輸出電壓。
帶整流濾波電路的並聯式開關電源,由於濾波電容兩端的電壓不能突變,當開關K兩端輸出的脈衝電壓uo通過整流二極管整流之後,就會被濾波電容進行限幅或嵌位,使輸出脈衝電壓uo的幅度被嵌製在濾波電容器兩端的電壓Uo之上,如果忽略整流二極管的整流壓降,則輸出脈衝電壓uo的幅度Up和濾波電容器兩端的電壓Uo基本相等,此時,被限了幅的輸出脈衝電壓uo的幅度Up,就是被稱為脈衝電壓uo的半波平均值Upa。圖2-12-b中,帶顏色的矩形脈衝,其幅度就等於半波平均值Upa。
圖1-13、圖1-14、圖1-15分別是並聯式開關電源控製開關K工作於占空比D為0.5、< 0.5、> 0.5三種情況時,圖1-12-a電路中各點的電壓、電流波形。實線表示帶整流濾波電路時,控製開關K兩端的輸出電壓波形,虛線表示無整流濾波電路時,控製開關K兩端的輸出電壓波形。圖中Ui是開關電源的輸入電壓,uo是控製開關K兩端的輸出電壓,Up是開關K兩端輸出的峰值電壓,Upa是控製開關K兩端輸出電壓uo的半波平均值,uc是濾波電容兩端的輸出電壓,Uo是開關電源的直流輸出電壓,Ua是開關K兩端輸出電壓的平均值,iL是流過儲能電感L的電流,iLm是流過儲能電感L電流的最大值,Io是流過負載R的電流(平均值)。

圖2-13-a、圖2-14-a、圖2-15-a分別為開關電源工作於臨界電流連續、電流不連續、電流連續狀態時,圖2-12-a電路中各點的電壓、電流波形。圖2-13-b、圖2-14-b、圖2-15-b分別為3種狀態之下,濾波電容兩端的紋波電壓波形。圖2-13-c、圖2-14-c、圖2-15-c分別為3種(zhong)狀(zhuang)態(tai)之(zhi)下(xia),流(liu)過(guo)儲(chu)能(neng)電(dian)感(gan)的(de)電(dian)流(liu)波(bo)形(xing)。不(bu)過(guo),圖(tu)中(zhong)這(zhe)些(xie)波(bo)形(xing)相(xiang)對(dui)來(lai)說(shuo)還(hai)是(shi)比(bi)較(jiao)粗(cu)略(lve)和(he)簡(jian)單(dan)的(de),如(ru)需(xu)要(yao)對(dui)它(ta)們(men)更(geng)嚴(yan)密(mi)的(de)表(biao)達(da)和(he)分(fen)析(xi),請(qing)參(can)考(kao)後(hou)麵(mian)圖(tu)1-24和圖1-25相關的內容。


在圖1-12-a中,當控製開關K接通時,輸入電源Ui開始對儲能電感L加電,流過儲能電感L的電流iL開始增加,同時電流在儲能電感L中也要產生反電動勢eL;當控製開關K由接通轉為關斷的時候,在儲能電感L兩端就會產生反電動勢eL。eL反電動勢的方向與開關K關斷前的方向相反,但與電流的方向相同,因此,在控製開關K兩端的輸出電壓uo等於輸入電壓Ui與反電動勢eL之和。
[page]
因此,在Ton期間:

(1-44)式中iL為流過儲能電感L的電流(瞬時值),t為時間變量;i(0)為的初始電流,即:控製開關K接通前的瞬間流過儲能電感L中的電流。當開關電源工作於電流臨界連續狀態,或不連續電流狀態時(即D≤0.5),i(0) = 0 ,由此可以求得流過儲能電感L的最大電流為:

帶濾波電路的並聯式開關電源,由於濾波電容兩端的電壓不能突變,當開關K兩端輸出的脈衝電壓uo通過整流二極管整流之後,就會被濾波電容進行限幅,使輸出脈衝電壓uo的幅度被嵌製在濾波電容器兩端的電壓uc之上,如果忽略整流二極管的整流壓降,則輸出脈衝電壓uo的幅度Up和濾波電容器兩端的電壓uc在數值上基本相等(忽視紋波電壓),並等於輸出電壓Uo。此時,被限了幅的輸出脈衝電壓uo的幅度Up,就稱為脈衝電壓uo的半波平均值Upa,即:Up = Upa 。圖2-12-b中,脈衝電壓uo中帶顏色的部分就等於其半波平均值Upa 。關於半波平均值的概念,後麵章節還會有更詳細的說明。
因此,在控製開關K關斷的Toff期間,儲能電感L產生的電動勢將與輸入電壓Ui串聯迭加,通過整流二極管D繼續向負載R提供能量,在此期間儲能電感L兩端的電壓eL為:

式中i(Ton+) 為控製開關K從Ton轉換到Toff的瞬間之前流過電感的電流,i(Ton+)也可以寫為i(Toff-),即:控製開關K關斷或接通瞬間,之前和之後流過電感L的電流相等。實際上(1-47)式中的i(Ton+) 就是(1-45)式中的iLm,因此,(1-47)式可以改寫為:

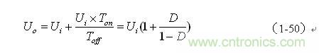
當並聯式開關電源工作於電流臨界連續狀態時,流過儲能電感的初始電流i(0)等於0(參看圖1-13),即:(1-49)式中流過儲能電感電流的最小值iLX等於0。因此,由(1-45)和(1-49)式,可求得並聯式開關電源輸出電壓Uo為:

(1-50)式就是並聯式開關電源工作於電流臨界連續狀態時輸出電壓的表達式。一般,並聯式開關電源的輸出電壓Uo都是取自並聯開關K兩端輸出脈衝電壓uo的半波平均值Upa,經整流濾波以後儲能濾波電容C兩端的輸出電壓基本就是Upa ,即:

這裏特別指出:(1-50)和(1-52)shidejieguo,suiranshiyikaiguandianyuangongzuoyudianliulinjielianxuzhuangtaidetiaojianqiude,danduiyukaiguandianyuangongzuoyulianxudianliuzhuangtaihuoduanliuzhuangtaitongyangchengli,yinwei,shuchudianyaUo是取自輸出脈衝電壓uo的半波平均值Upa,而不是取其平均值Ua。
同圖中可以看出,並聯式開關電源輸出電壓中各電壓成分Up、Upa、Uo的高低,均與占空比有關,但其輸出電壓的平均值Ua與占空比D的大小無關,並聯式開關電源輸出電壓uo的平均值Ua與輸入電壓Ui的大小相等,即:

另外,當並聯式開關電源的占空比D大於0.5時,表示開關電源工作於電流連續狀態,即,流過儲能電感L的電流不會斷流,這種情況相當於在儲能電感L中加了一個偏流,當偏流過大時,儲能電感L很容易產生磁飽和,因為儲能電感L一般都要帶磁芯。因此,在進行電路參數設計時,不要把占空比選得過大,並且磁芯還要留一定的氣隙,以防止磁芯飽和。
[page]
1-4-3.並聯式開關電源儲能電感的計算
yuqianmianjisuanfanzhuanshichuanliankaiguandianyuanzhongchunengdiangandeshuzhifangfajibenxiangtong,jisuanbinglianshikaiguandianyuanchunengdianganyeshicongliuguochunengdiangandedianliuweidianliulinjielianxuzhuangtaizheshoujinxingfenxi。binglianshikaiguandianyuanzhongdechunengdianganyufanzhuanshichuanliankaiguandianyuanzhongdechunengdiangangongzuoyuanlijibenyiyang,doushizaikongzhikaiguanK關斷期間才產生反電動勢向負載提供能量,因此,當D = 0.5時,流過負載的電流隻有流過儲能電感電流的四分之一。
根據(1-45)式:

式中Io為流過負載的電流,當D = 0.5時,其大小等於最大電流iLm的四分之一;T為開關電源的工作周期,T正好等於2倍Ton。
由此求得:

(1-55)和(1-56)式,就是計算並聯式開關電源儲能電感的公式。同理,(1-55)和(1-56)式的計算結果,隻給出了計算並聯式開關電源儲能電感L的中間值,或平均值,對於極端情況可以在平均值的計算結果上再乘以一個大於1的係數。
對於儲能電感取不同數值和在不同的占空比狀態下工作的情況分析,請參考前麵關於“反轉式串聯開關電源儲能電感的計算”內容的論述。
[page]
1-4-4.並聯式開關電源儲能濾波電容的計算
binglianshikaiguandianyuanchunenglvbodianrongdejisuan,keyicankaoqianmianchuanlianshikaiguandianyuanhuofanzhuanshichuanliankaiguandianyuanzhongchunenglvbodianrongdejisuanfangfa,tongshihaikeyicankaotu1-6中儲能濾波電容C的充、放電過程。
這裏要特別注意的是,並聯式開關電源與反轉式串聯開關電源中的儲能電感一樣,僅在控製開關K關斷期間才產生反電動勢向負載提供能量,因此,即使是在占空比D等於0.5的(de)情(qing)況(kuang)下(xia),儲(chu)能(neng)濾(lv)波(bo)電(dian)容(rong)器(qi)充(chong)電(dian)的(de)時(shi)間(jian)與(yu)放(fang)電(dian)的(de)時(shi)間(jian)也(ye)不(bu)相(xiang)等(deng),電(dian)容(rong)器(qi)充(chong)電(dian)的(de)時(shi)間(jian)小(xiao)於(yu)半(ban)個(ge)工(gong)作(zuo)周(zhou)期(qi),而(er)電(dian)容(rong)器(qi)放(fang)電(dian)的(de)時(shi)間(jian)則(ze)大(da)於(yu)半(ban)個(ge)工(gong)作(zuo)周(zhou)期(qi),但(dan)電(dian)容(rong)器(qi)充(chong)、放電的電荷是相等的,即電容器充電時的電流大於放電時的電流。
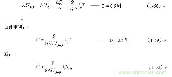
從圖1-13可以看出,並聯式開關電源,流過負載的電流比串聯式開關電源流過負載的電流小一倍,流過負載的電流Io隻有流過儲能電感最大電流iLm的四分之一。在占空比D等於0.5的情況下,電容器充電的時間為
,電容充電電流的平均值為
,或
;而電容器放電的時間為
,電容放電電流的平均值為0.9 Io。因此有:

式中ΔQ為電容器充電的電荷,Io為流過負載的平均電流,Tweigongzuozhouqi。dianrongchongdianshi,dianrongliangduandedianyayouzuixiaozhichongdaozuidazhi,fangdianshi,dianrongliangduandedianyayouyouzuidazhixiajiangdaozuixiaozhi,duiyudianrongliangduandedianyabianhualiangjunweiΔUc,此電壓變化量正好就是輸出電壓的紋波。由此可求得輸出電壓的紋波ΔUP-P為:

(1-59)和(1-60)式,就是計算並聯式開關電源儲能濾波電容的公式。式中:Io是流過負載電流的平均值,T為開關工作周期,ΔUP-P為濾波輸出電壓紋波,此紋波電壓ΔUP-P實際上就是電容器兩端的充放電電壓增量,即:ΔUP-P = ΔUc 。
同理,(1-59)和(1-60)式的計算結果,隻給出了計算並聯式開關電源儲能濾波電容C的中間值,或平均值,對於極端情況可以在平均值的計算結果上再乘以一個大於1的係數。
當開關K工作占空比D小於0.5時,由於流過儲能電感L的de電dian流liu會hui不bu連lian續xu,電dian容rong器qi放fang電dian的de時shi間jian將jiang遠yuan遠yuan大da於yu電dian容rong器qi充chong電dian的de時shi間jian,因yin此ci,開kai關guan電dian源yuan濾lv波bo輸shu出chu電dian壓ya的de紋wen波bo將jiang顯xian著zhu增zeng大da。另ling外wai,開kai關guan電dian源yuan的de負fu載zai一yi般ban也ye不bu是shi固gu定ding的de,當dang負fu載zai電dian流liu增zeng大da的de時shi候hou,開kai關guan電dian源yuan濾lv波bo輸shu出chu電dian壓ya的de紋wen波bo也ye將jiang會hui增zeng大da。因yin此ci,設she計ji開kai關guan電dian源yuan的de時shi候hou要yao留liu有you充chong分fen的de餘yu量liang。實shi際ji應ying用yong中zhong,最zui好hao按an(1-59)式計算結果的2倍bei以yi上shang來lai計ji算suan儲chu能neng濾lv波bo電dian容rong的de參can數shu,因yin為wei大da多duo數shu濾lv波bo電dian容rong都dou是shi選xuan用yong電dian解jie電dian容rong,而er電dian解jie電dian容rong的de容rong量liang很hen不bu穩wen定ding,其qi容rong量liang受shou溫wen度du影ying響xiang很hen大da,並bing且qie隨sui著zhe使shi用yong時shi間jian的de增zeng長chang,其qi容rong量liang也ye會hui慢man慢man地di變bian小xiao。
快到年底了,陶老師又為大家帶來了開關變壓器的工作原理和設計,作為新年的福利,請大家關注,本站將陸續為大家分享出來!
相關閱讀:
反轉式串聯開關電源的工作原理及電路參數的計算
——陶顯芳老師談開關電源原理與設計
http://wap.0-fzl.cn/power-art/80022150
串聯式開關電源工作原理及電路參數的計算
——陶顯芳老師談開關電源原理與設計
http://wap.0-fzl.cn/power-art/80022144
陶老師談:單激式變壓器開關電源的工作原理
http://wap.0-fzl.cn/power-art/80022120
陶顯芳老師談開關電源原理與設計
http://wap.0-fzl.cn/power-art/80021940
- 噪聲中提取真值!瑞盟科技推出MSA2240電流檢測芯片賦能多元高端測量場景
- 10MHz高頻運行!氮矽科技發布集成驅動GaN芯片,助力電源能效再攀新高
- 失真度僅0.002%!力芯微推出超低內阻、超低失真4PST模擬開關
- 一“芯”雙電!聖邦微電子發布雙輸出電源芯片,簡化AFE與音頻設計
- 一機適配萬端:金升陽推出1200W可編程電源,賦能高端裝備製造
- 一秒檢測,成本降至萬分之一,光引科技把幾十萬的台式光譜儀“搬”到了手腕上
- AI服務器電源機櫃Power Rack HVDC MW級測試方案
- 突破工藝邊界,奎芯科技LPDDR5X IP矽驗證通過,速率達9600Mbps
- 通過直接、準確、自動測量超低範圍的氯殘留來推動反滲透膜保護
- 從技術研發到規模量產:恩智浦第三代成像雷達平台,賦能下一代自動駕駛!
- 車規與基於V2X的車輛協同主動避撞技術展望
- 數字隔離助力新能源汽車安全隔離的新挑戰
- 汽車模塊拋負載的解決方案
- 車用連接器的安全創新應用
- Melexis Actuators Business Unit
- Position / Current Sensors - Triaxis Hall


