采用可編程模擬器件實現直流伺服電機的調速係統
發布時間:2014-12-27 責任編輯:echolady
【導讀】benwencaiyongkebianchengmoniqijianshixianmonitiaosuxitong,zhezhongsudukongzhijieyumonitiaosuheshuzitiaosuzhijian,tongguoruanjiantiaozhengxitongdianlucanshu,bingjianlixitongmoxingfangzhen。benwensuoshudefangfanenggouduiyuanyoudezhiliutiaosuqijinxinggaijin,shejichugengjiadexiaoguo。
直流伺服電機具有響應快、低速平穩性好、調速範圍寬等特點,因而常常用於實現精密調速和位置控製的隨動係統中,在工業、國防和民用等領域內得到廣泛應用,特別是在火炮穩定係統、艦載平台、雷達天線、機器人控製等場合。盡管交流伺服電機的發展相當迅速,但在這些領域內還難以取代直流伺服電機。
傳統的直流調速係統包含2個反饋環路,即速度環和電流環,采用測速機、電流傳感器(霍爾器件)及模擬電子線路實現速度的閉環控製。現代數字直流伺服控製則采用高速數字信號處理器(DSP),直接對速度和電流信號進行采樣,通過軟件實現數字比較、數字調節運算(數字濾波)、數字脈寬調製等各種功能,從而實現對速度的精確控製。二者相比,模擬調速係統結構簡單、成本低、可靠性高,但調試較複雜,因為其電路參數的修改往往需要硬件上的改動;而數字調速係統結構複雜、成本高,但是調速精度很高、調試過程也較容易,調速係統的性能可以由軟件進行控製。
模擬直流調速係統的組成和工作原理
模擬調速係統一般是由2個閉環構成的,既速度閉環和電流閉環,為使二者能夠相互協調、發揮作用,在係統中設置了2個調節器,分別調節轉速和電流。2個反饋閉環在結構上采用一環套一環的嵌套結構,這就是所謂的雙閉環調速係統,他具有動態響應快、抗幹擾能力強等優點,因而得到廣泛地應用。圖1是係統的結構框圖,其中ASR,ACR分別是速度和電流調節器,通常是由模擬運放構成PI或PID電路;信號調理主要是對反饋信號進行濾波、放大。考慮到直流電機的數學模型,模擬調速係統動態傳遞函數關係如圖2所示。



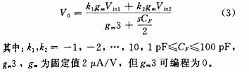
這樣:
即調節器的傳遞函數等於反饋網絡與輸入網絡複數阻抗之比。所以,改變Zf(S)和Zin(S),就可以獲得所需要的傳遞函數,以滿足係統動態校正的需要。圖3(b)所示的PI調節器,其動態結構如圖4所示。

在模擬調速係統的調試過程中,因電機的參數或負載的機械特性與理論值有較大差異,往往需要頻繁更換R,C等(deng)元(yuan)件(jian)來(lai)改(gai)變(bian)電(dian)路(lu)參(can)數(shu),以(yi)獲(huo)得(de)預(yu)期(qi)的(de)動(dong)態(tai)性(xing)能(neng)指(zhi)標(biao),這(zhe)樣(yang)做(zuo)起(qi)來(lai)非(fei)常(chang)麻(ma)煩(fan),如(ru)果(guo)采(cai)用(yong)可(ke)編(bian)程(cheng)模(mo)擬(ni)器(qi)件(jian)構(gou)成(cheng)調(tiao)節(jie)器(qi)電(dian)路(lu),係(xi)統(tong)參(can)數(shu)如(ru)增(zeng)益(yi)、帶寬甚至電路結構都可以通過軟件進行修改,調試起來就非常方便了。下麵以圖3所示PI調節器為例,說明如何應用可編程模擬器件-ispQAC10實現模擬調節器電路。
實現方法
ispPAC10簡介
ispPAC10是Lattice公司生產的一種在係統可編程模擬器件,采用非易失性E2CMOS工藝,其內部的模擬部件塊“PACblocks”無需外接電阻、電容等元件,便可代替傳統的模擬電路,如運算放大器、濾波器等;通過軟件編程,可實現電路的設計和修改,極大地縮短了開發、調試周期,具有很高的性能價格比。Lattice公司為開發ispPAC10而提供的集成軟件包PACDesigner功能強大、易學易用,可以在網上下載。ispPAC10內部包含4個模擬部件塊-內部結構如圖5所示。

圖5

其傳遞函數關係如下:

這樣,式(3)還可以寫成如下形式:

通過式(4)、式(5)以及圖6(b),可以看出PACblock模塊具有比例、求和、積分、濾波等基本運算功能,而1片ispPAC10包含4個PACblock模塊,每個模塊都有2組差動輸入、1路差動輸出。
將這4部分適當地連接,便可形成較複雜的模擬電路。
ispPAC10實現調節器電路
以圖(3)所示具體電路為例,設R0=10 kΩ,C0=0.15μF,Rf=40 kΩ,Cf=0.5μF,其傳遞函數如圖7所示。



特別推薦
- 噪聲中提取真值!瑞盟科技推出MSA2240電流檢測芯片賦能多元高端測量場景
- 10MHz高頻運行!氮矽科技發布集成驅動GaN芯片,助力電源能效再攀新高
- 失真度僅0.002%!力芯微推出超低內阻、超低失真4PST模擬開關
- 一“芯”雙電!聖邦微電子發布雙輸出電源芯片,簡化AFE與音頻設計
- 一機適配萬端:金升陽推出1200W可編程電源,賦能高端裝備製造
技術文章更多>>
- 一秒檢測,成本降至萬分之一,光引科技把幾十萬的台式光譜儀“搬”到了手腕上
- AI服務器電源機櫃Power Rack HVDC MW級測試方案
- 突破工藝邊界,奎芯科技LPDDR5X IP矽驗證通過,速率達9600Mbps
- 通過直接、準確、自動測量超低範圍的氯殘留來推動反滲透膜保護
- 從技術研發到規模量產:恩智浦第三代成像雷達平台,賦能下一代自動駕駛!
技術白皮書下載更多>>
- 車規與基於V2X的車輛協同主動避撞技術展望
- 數字隔離助力新能源汽車安全隔離的新挑戰
- 汽車模塊拋負載的解決方案
- 車用連接器的安全創新應用
- Melexis Actuators Business Unit
- Position / Current Sensors - Triaxis Hall
熱門搜索



