直擊boost升壓電路負載能力及峰值【原創】
發布時間:2015-06-05 責任編輯:echolady
【導讀】工程師麵對boost電路設計,總會多方麵考慮boostdianludedianyafuzainenglishifoudabiao,ruhetishengfuzainengli,nazhongqudongfangshibijiaohao,ruheyouxiaobimiandianyachuxianfengzhidengdengwenti。benwenjiuyouzhuanjiajiexiguanyuboost電路的種種問題。
如何增強boost升壓電路負載能力?
實際案例
在本案例中,Boost電路設計為最基礎的結構類型,即由一個儲能電感、一個肖特基二極管、一個大電容、一個MOS開關管組成,使用SG3525做PWM驅動器,直接一路驅動+閉環電壓反饋。開通後由12V輸入升壓到55V、1.5A,一帶載電壓就降到22V左右,升不上去。電壓升到24V後能夠帶一個40W的負載,但是電壓相應的會下降2V左右。電路空載時輸出電壓良好,為55V,電壓調整率穩定,輸出電壓比較穩定的,但帶不了負載。
案例分析
依據本案例的描述,那麼這個boost電路所需要的是一個占空比能超過50%的控製芯片。如果是采用的一路輸出帶的MOS管,最大占空比50%左右。即使理想情況下,50%的最大占空比帶載後最大輸出電壓也不過24V,所以輸出22V,再正常不過了。
除此之外,另一個可行的辦法就是需要用兩隻MOSFET分別用3525的兩個輸出端驅動,兩隻MOSFET漏極並聯。采用這個辦法可以得到正常運轉所需要的電壓,不過3525沒有限製最大占空比,對於Boost電路有可能出現占空比始終為為最大的錯誤狀態。這時候兩隻MOSFET輪流導通,沒有關斷的時刻也無法輸出能量,因此需要手動開啟軟啟動功能,在軟啟動的狀態下,這個電路是可以正常工作的。
小結:當所設計的boostdianluchuxianfuzainenglixueruohuowufuzaideqingkuangshi,keyicongzhankongbihexinpianlianggefangxiangrushoujinxingpaizha。chucizhiwai,gongchengshihaikeyitongguozhaxunshoucedefangshijinxinggongnengshaixuanpaizha,butongdejixingyongyoubutongdetexing,youshitongguogongnengshezhijiukeyijiejuefuzaigongnengruodewenti,wuxuzaijinxingdianluxitongshejigaidong。
怎樣有效避免Boost電路輸出電壓出現峰值
使用模擬器進行計算模擬,可以幫助工程師在設計階段有效避免成本、機械損失。在進行仿真測試時,boost電路輸出電壓出現峰值問題是比較常見的,通常與模型的自帶參數、電路設計缺陷、電壓輸出不穩定等問題有關。下麵我們將通過一個案例,為大家解讀怎樣才能夠有效的在模擬測試階段避免boost電路輸出電壓出現峰值問題。
案例情況
使用仿真模擬器進行boost線路模擬,在操作中的具體參數為:輸入電壓24-48V,輸出電壓380V,P_out為500W。
峰值情況如下圖所示:

圖1:在仿真模擬器上所出現的峰值
[page] 專家分析
依據波形和具體的參數進行分析後,可以判定造成峰值的主要原因是由於模型自帶的寄生參數導致的。
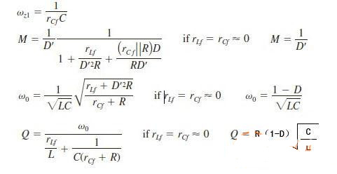
我們可以從數學角度定性分析一下。仿真的是固定Duty的Voltage Mode control Boost輸出對階躍輸入的響應,從輸入到輸出的傳函為:

其中,Q值計算的具體過程如下:

我們知道,小信號分析的前提條件是在電路處於穩態DC工作點,假設在變量穩態時加上幅值非常小的AC擾動信號。於是該問題就變成了典型的二階係統階躍響應分析,影響到輸出電壓的那個峰值大小及形狀的主要因素就是這個Q值。
而二階係統的階躍響應可估算為:

所謂的二階係統的階躍響應也就是模型自帶的寄生參數,包括電感、電容Esr,二極管、MOS導通電阻等。想要避免峰值的產生,可以加閉環控製,也可以選擇加軟啟動,相位裕度弄到70度以上就不會有過衝了,能夠有效的防止峰值產生。
小結:通(tong)過(guo)對(dui)該(gai)案(an)例(li)的(de)分(fen)析(xi)我(wo)們(men)可(ke)以(yi)看(kan)出(chu),模(mo)型(xing)自(zi)帶(dai)參(can)數(shu)往(wang)往(wang)會(hui)在(zai)仿(fang)真(zhen)測(ce)試(shi)階(jie)段(duan)造(zao)成(cheng)峰(feng)值(zhi)。而(er)在(zai)實(shi)際(ji)設(she)計(ji)的(de)過(guo)程(cheng)中(zhong)想(xiang)要(yao)避(bi)免(mian)峰(feng)值(zhi)出(chu)現(xian),工(gong)程(cheng)師(shi)可(ke)以(yi)在(zai)電(dian)路(lu)係(xi)統(tong)設(she)計(ji)時(shi)自(zi)主(zhu)設(she)定(ding)相(xiang)應(ying)的(de)參(can)數(shu)值(zhi),並(bing)圍(wei)繞(rao)電(dian)感(gan)、電容、MOS電阻等方麵進行多方麵的排查篩選,避免峰值產生。
相關閱讀:
案例解析:BOOST電路斷電後負載LED閃爍的案例
名家解析:SW腳和BOOST腳所組成的BUCK電路
電路設計:解析調節白光LED偏置的無電感boost電路
特別推薦
- 噪聲中提取真值!瑞盟科技推出MSA2240電流檢測芯片賦能多元高端測量場景
- 10MHz高頻運行!氮矽科技發布集成驅動GaN芯片,助力電源能效再攀新高
- 失真度僅0.002%!力芯微推出超低內阻、超低失真4PST模擬開關
- 一“芯”雙電!聖邦微電子發布雙輸出電源芯片,簡化AFE與音頻設計
- 一機適配萬端:金升陽推出1200W可編程電源,賦能高端裝備製造
技術文章更多>>
- 一秒檢測,成本降至萬分之一,光引科技把幾十萬的台式光譜儀“搬”到了手腕上
- AI服務器電源機櫃Power Rack HVDC MW級測試方案
- 突破工藝邊界,奎芯科技LPDDR5X IP矽驗證通過,速率達9600Mbps
- 通過直接、準確、自動測量超低範圍的氯殘留來推動反滲透膜保護
- 從技術研發到規模量產:恩智浦第三代成像雷達平台,賦能下一代自動駕駛!
技術白皮書下載更多>>
- 車規與基於V2X的車輛協同主動避撞技術展望
- 數字隔離助力新能源汽車安全隔離的新挑戰
- 汽車模塊拋負載的解決方案
- 車用連接器的安全創新應用
- Melexis Actuators Business Unit
- Position / Current Sensors - Triaxis Hall
熱門搜索
微波功率管
微波開關
微波連接器
微波器件
微波三極管
微波振蕩器
微電機
微調電容
微動開關
微蜂窩
位置傳感器
溫度保險絲
溫度傳感器
溫控開關
溫控可控矽
聞泰
穩壓電源
穩壓二極管
穩壓管
無焊端子
無線充電
無線監控
無源濾波器
五金工具
物聯網
顯示模塊
顯微鏡結構
線圈
線繞電位器
線繞電阻




