深入剖析電感電流
發布時間:2019-05-31 責任編輯:wenwei
【導讀】在開關電dian源yuan的de設she計ji中zhong電dian感gan的de設she計ji為wei工gong程cheng師shi帶dai來lai的de許xu多duo的de挑tiao戰zhan。工gong程cheng師shi不bu僅jin要yao選xuan擇ze電dian感gan值zhi,還hai要yao考kao慮lv電dian感gan可ke承cheng受shou的de電dian流liu,繞rao線xian電dian阻zu,機ji械xie尺chi寸cun等deng等deng。本ben文wen專zhuan注zhu於yu解jie釋shi:電感上的DC電流效應。這也會為選擇合適的電感提供必要的信息。
理解電感的功能
電感常常被理解為開關電源輸出端中的LC濾波電路中的L(C是其中的輸出電容)。雖然這樣理解是正確的,但是為了理解電感的設計就必須更深入的了解電感的行為。
在降壓轉換中(Fairchild典型的開關控製器),電感的一端是連接到DC輸出電壓。另一端通過開關頻率切換連接到輸入電壓或GND。

在狀態1過程中,電感會通過(高邊 “high-side”)MOSFET連接到輸入電壓。在狀態2過程中,電感連接到GND。由於使用了這類的控製器,可以采用兩種方式實現電感接地:通過 二極管接地或通過(低邊“low-side”)MOSFET接地。如果是後一種方式,轉換器就稱為“同步(synchronus)”方式。
現在再考慮一下在這兩個狀態下流過電感的電流是如果變化的。在狀態1過程中,電感的一端連接到輸入電壓,另一端連接到輸出電壓。對於一個降壓轉換器,輸 入電壓必須比輸出電壓高,因此會在電感上形成正向壓降。相反,在狀態2過程中,原來連接到輸入電壓的電感一端被連接到地。對於一個降壓轉換器,輸出電壓必 然為正端,因此會在電感上形成負向的壓降。
我們利用電感上電壓計算公式:
V=L(dI/dt)
因此,當電感上的電壓為正時(狀態1),電感上的電流就會增加;當電感上的電壓為負時(狀態2),電感上的電流就會減小。通過電感的電流如圖2所示:

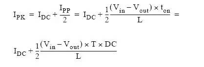
通過上圖我們可以看到,流過電感的最大電流為DC電流加開關峰峰電流的一半。上圖也稱為紋波電流。根據上述的公式,我們可以計算出峰值電流:

其中,ton是狀態1的時間,T是開關周期(開關頻率的倒數),DC為狀態1的占空比。
警告:上麵的計算是假設各元器件(MOSFET上的導通壓降,電感的導通壓降或異步電路中肖特基二極管的正向壓降)上的壓降對比輸入和輸出電壓是可以忽略的。
如果,器件的下降不可忽略,就要用下列公式作精確計算:
同步轉換電路:

異步轉換電路:

其中,Rs為感應電阻阻抗加電感繞線電阻的阻。Vf 是肖特基二極管的正向壓降。R是Rs加MOSFET導通電阻,R=Rs+Rm。
電感磁芯的飽和度
通tong過guo已yi經jing計ji算suan的de電dian感gan峰feng值zhi電dian流liu,我wo們men可ke以yi發fa現xian電dian感gan上shang產chan生sheng了le什shen麼me。很hen容rong易yi會hui知zhi道dao,隨sui著zhe通tong過guo電dian感gan的de電dian流liu增zeng加jia,它ta的de電dian感gan量liang會hui減jian小xiao。這zhe是shi由you於yu磁ci芯xin材cai料liao的de物wu理li特te性xing決jue 定的。電感量會減少多少就很重要了:如果電感量減小很多,轉換器就不會正常工作了。當通過電感的電流大到電感實效的程度,此時的電流稱為“飽和電流”。這 也是電感的基本參數。
實際上,轉換電路中的開關功率電感總會有一個“軟”飽和度。要了解這個概念可以觀察實際測量的電感Vs DC電流的曲線:

當電流增加到一定程度後,電感量就不會急劇下降了,這就稱為“軟”飽和特性。如果電流再增加,電感就會損壞了。
注意:電感量下降在很多類的電感中都會存在。例如:toroids,gapped E-cores等。但是,rod core電感就不會有這種變化。
有了這個軟飽和的特性,我們就可以知道在所有的轉換器中為什麼都會規定在DC輸出電流下的最小電感量;而且由於紋波電流的變化也不會嚴重影響電感量。在 所有的應用中都希望紋波電流盡量的小,因為它會影響輸出電壓的紋波。這也就是為什麼大家總是很關心DC輸出電流下的電感量,而會在Spec中忽略紋波電流 下的電感量。
推薦閱讀:
特別推薦
- 噪聲中提取真值!瑞盟科技推出MSA2240電流檢測芯片賦能多元高端測量場景
- 10MHz高頻運行!氮矽科技發布集成驅動GaN芯片,助力電源能效再攀新高
- 失真度僅0.002%!力芯微推出超低內阻、超低失真4PST模擬開關
- 一“芯”雙電!聖邦微電子發布雙輸出電源芯片,簡化AFE與音頻設計
- 一機適配萬端:金升陽推出1200W可編程電源,賦能高端裝備製造
技術文章更多>>
- 一秒檢測,成本降至萬分之一,光引科技把幾十萬的台式光譜儀“搬”到了手腕上
- AI服務器電源機櫃Power Rack HVDC MW級測試方案
- 突破工藝邊界,奎芯科技LPDDR5X IP矽驗證通過,速率達9600Mbps
- 通過直接、準確、自動測量超低範圍的氯殘留來推動反滲透膜保護
- 從技術研發到規模量產:恩智浦第三代成像雷達平台,賦能下一代自動駕駛!
技術白皮書下載更多>>
- 車規與基於V2X的車輛協同主動避撞技術展望
- 數字隔離助力新能源汽車安全隔離的新挑戰
- 汽車模塊拋負載的解決方案
- 車用連接器的安全創新應用
- Melexis Actuators Business Unit
- Position / Current Sensors - Triaxis Hall
熱門搜索
按鈕開關
白色家電
保護器件
保險絲管
北鬥定位
北高智
貝能科技
背板連接器
背光器件
編碼器型號
便攜產品
便攜醫療
變容二極管
變壓器
檳城電子
並網
撥動開關
玻璃釉電容
剝線機
薄膜電容
薄膜電阻
薄膜開關
捕魚器
步進電機
測力傳感器
測試測量
測試設備
拆解
場效應管
超霸科技



