電源供電以及電機驅動原理與電路分析
發布時間:2020-06-02 責任編輯:wenwei
【導讀】電機驅動Motor drive是組裝在膠片式照相機內的微型電機或彈簧及其附件的總稱,借助微型電機自動地卷取膠片,大多是指35毫米單鏡頭反光相機所用的。
1 供電電路原理
供電部分原理圖如圖1-1所示:

圖1-1
從圖1-1中可知道供電有+5V、+3.3V、+1.5V三種,其中每個電源均有0.1µF的旁路電容,將電源中的高頻串擾旁路到地,防止高頻信號通過電源串擾到其它模塊中。同時還能將電源本身的工頻幹擾濾除。
值得注意的是:在(zai)布(bu)線(xian)的(de)時(shi)候(hou),經(jing)退(tui)藕(ou)電(dian)容(rong)退(tui)藕(ou)後(hou)的(de)電(dian)源(yuan)輸(shu)出(chu)點(dian)應(ying)該(gai)盡(jin)量(liang)緊(jin)靠(kao)芯(xin)片(pian)的(de)電(dian)源(yuan)引(yin)腳(jiao)進(jin)行(xing)供(gong)電(dian),過(guo)長(chang)的(de)引(yin)線(xian)有(you)可(ke)能(neng)重(zhong)新(xin)變(bian)成(cheng)幹(gan)擾(rao)接(jie)收(shou)天(tian)線(xian),導(dao)致(zhi)退(tui)藕(ou)效(xiao)果(guo)消(xiao)失(shi)。如(ru)果(guo)無(wu)法(fa)讓(rang)每(mei)個(ge)退(tui)藕(ou)後(hou)的(de)電(dian)源(yuan)輸(shu)出(chu)點(dian)均(jun)緊(jin)靠(kao)芯(xin)片(pian)的(de)電(dian)源(yuan)引(yin)腳(jiao),那(na)麼(me)可(ke)以(yi)采(cai)用(yong)分(fen)別(bie)退(tui)藕(ou)的(de)方(fang)法(fa),即(ji)分(fen)別(bie)盡(jin)量(liang)緊(jin)靠(kao)每(mei)個(ge)芯(xin)片(pian)的(de)電(dian)源(yuan)引(yin)腳(jiao)點(dian)接(jie)入(ru)退(tui)藕(ou)電(dian)容(rong)進(jin)行(xing)退(tui)藕(ou),這(zhe)也(ye)解(jie)釋(shi)了(le)為(wei)什(shen)麼(me)圖(tu)1-1的3.3V電源有兩個退藕輸出點。
2 電機驅動電路原理
電機驅動電路原理如圖2-1所示:

圖2-1
圖2-1中Header 4X2為4排2列插針,FM0~3為FPGA芯片I/O輸出口,加入的插針給予一個可動的機製,在需要使用時才用跳線帽進行相連,提高I/O口的使用效率。RES5是五端口排阻,內部集成了4個等阻值且一端公共連接的電阻,PIN 1是公共端,PIN2~5為排阻的輸出端,排阻原理圖如圖2-2所示:

圖2-2
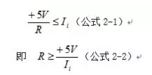
該排阻公共端接電源,即上拉電阻形式,作用是增強FPGA芯片I/O口(以下簡稱I/O口)的驅動能力,實際上就是增加I/O輸出高電平時輸出電流的大小。當I/O輸出高電平時,+5V電源經排阻與IN1~4相連,相當於為I/O提供一個額外的電流輸出源,從而提高驅動能力。當I/O輸出低電平時,可將I/O近似看做接地,而IN1~4因與I/O由導線直接相連,因此直接接受了I/O的低電平輸出信號。此時,+5V電源經排阻R、I/O內部電路(電阻近似為零)後接地,因此該路的電流不能大於I/O的拉電流(Ii)最大值,有公式2-1:

由公式2-2可以得出排阻的取值範圍。
該上拉電阻除了提高驅動能力外,還有一個作用,就是進行電平轉換。經查,ULN2003的接口邏輯為:5V-TTL, 5V-CMOS邏輯。而在3.3V供電的情況下,I/O口可以提供3.3V-LVTTL,3.3V-LVCMOS,3.3V-PCI和SSTL-3接口邏輯電平。因此,需要外接5V的上拉電阻將I/O電平規格變成5V電平邏輯。
芯片ULN2003內部集成7組達林頓管,專門用於提高驅動電流,芯片引腳間邏輯如圖2-3所示:

圖2-3

圖2-4
由於I/O電流遠遠不足以驅動電機,因此需要外接該芯片驅動電機,ULN2003內部集成的達林頓管電路如圖2-4所示。達林頓管的形式具有將弱點信號轉化成強電信號的特點,I/O電平邏輯從PIN IN輸入,通過達林頓管控製PIN 9(COMMON)端輸入的強電信號按照I/O信號規律變化。值得注意的是:ULN2003輸出邏輯將與輸入邏輯相反,編程時應該注意該特點。
RES6是六端口排阻,內部集成了5個等阻值且一端公共連接的電阻,PIN 1是公共端,PIN2~6為排阻的輸出端,原理圖與接法說明可參考上述圖2-2,排阻取值範圍計算參見公式2-2,此處不再贅述。值得注意的是:RES6的PIN 1與PIN 2相連,是因為多出了一個不使用的電阻,為了避免PIN 2懸空,因此將PIN 2與PIN 1(公共端)相連,即PIN 2對應的電阻被短路,從而既避免的懸空的引腳,又能使該電阻失效。
3 電機指示燈電路原理
電機指示燈電路如圖3-1所示:

圖3-1
電機部分指示燈用於指示各路信號的邏輯電平狀態,其中R106~109為限流電阻,防止發光二極管因電流過大燒毀。值得注意的是:該指示燈的發光二極管接成共陽極,由M0~3信號端口產生低電平點亮對應的二極管,而ULN2003的OUT與IN邏輯電平相反,因此對於I/O口FM0~3來說,輸出高電平就能點亮對應的發光二極管,例如:FM0輸出高電平,則對應LD17點亮,編程時應注意此電路將I/O實際邏輯反相了兩次,對應關係為I/O口輸出哪路高電平則對應點亮哪路指示燈。
4 時鍾電路原理
時鍾電路如圖4-1所示:

圖4-1
采用50Mhz有源晶振產生時鍾信號,接法采用有源晶振的典型接法:PIN 1懸空,PIN 2接地,PIN 3輸出時鍾信號,PIN 4接電源。由於FPGA的I/O供電為3.3V,而時鍾電路產生的時鍾信號要由I/O口接收,因此時鍾信號最大值不能超過3.3V,故時鍾電路電源采用3.3V供電。
5 FPGA部分電路原理
FPGA部分電路原理圖如圖5-1所示:

圖5-1
Header 18X2為18排2列排陣,兩組排陣分別與PIN口、3.3V電源、數字地相連,提供了可動的機製,使得PIN口可根據需要用排線與目標相連,達到信號傳輸的目的。而3.3V電源以及數字地針口則可以根據需要,用排線為目標提供邏輯高電平或邏輯低電平。
U21D為FPGA芯片的時鍾信號接收部分,通過網絡標號“CLK0~3”與對應的時鍾信號端口相連。
U21C為FPGA芯片的供電及接地部分,含有“GND”字樣的是“地”端口,與數字地相連,VCCIO1~4為I/O口供電端口,采用3.3V電源供電,通過網絡標號“+3.3V”與3.3V電源端口相連。VCCA_PLL1、VCCA_PLL2、VCCINT為內部運算器和輸入緩衝區的供電端口,采用1.5V電源供電,通過網絡標號“+1.5V”與1.5V電源端口相連。
U21B為JTAG與AS下載部分,TMS、TCK、TD1、TD0分別為JATAG下載方式的模式選擇端、時鍾信號端、數據輸入端、數據輸出端。DATA0為AS下載的數據端口,MSEL0、MSEL1、nCE、nCEO、CONF_ DONE、nCONFIG、nSTATUS端口按照典型接法相連。值得注意的是:無論AS還是JTAG都是通過JTAG標準通訊,AS下載一般是下載POF到PROM(flash)裏,重新上電仍然可以加載,JTAG下載是通過JTAG口將sof文件直接下載到FPGA內,一般是臨時調試用的,掉電就丟失了。
U22是電可擦除ROM,用於存放AS下載後的數據,使得FPGA的程序段掉電也能得以保存,DATA端是數據讀取端,用於讀取ROM內數據。DCLK為時鍾端口,用於接收時鍾信號進行同步傳輸。nCS是片選端口,用於接收片選信號表示對該芯片進行通訊。ASDI為AS下載數據輸入端,用於接收AS下載數據。VCC與GND分別為電源端口與地端口,分別接3.3V與數字地。
推薦閱讀:
特別推薦
- 噪聲中提取真值!瑞盟科技推出MSA2240電流檢測芯片賦能多元高端測量場景
- 10MHz高頻運行!氮矽科技發布集成驅動GaN芯片,助力電源能效再攀新高
- 失真度僅0.002%!力芯微推出超低內阻、超低失真4PST模擬開關
- 一“芯”雙電!聖邦微電子發布雙輸出電源芯片,簡化AFE與音頻設計
- 一機適配萬端:金升陽推出1200W可編程電源,賦能高端裝備製造
技術文章更多>>
- 貿澤EIT係列新一期,探索AI如何重塑日常科技與用戶體驗
- 算力爆發遇上電源革新,大聯大世平集團攜手晶豐明源線上研討會解鎖應用落地
- 創新不止,創芯不已:第六屆ICDIA創芯展8月南京盛大啟幕!
- AI時代,為什麼存儲基礎設施的可靠性決定數據中心的經濟效益
- 矽典微ONELAB開發係列:為毫米波算法開發者打造的全棧工具鏈
技術白皮書下載更多>>
- 車規與基於V2X的車輛協同主動避撞技術展望
- 數字隔離助力新能源汽車安全隔離的新挑戰
- 汽車模塊拋負載的解決方案
- 車用連接器的安全創新應用
- Melexis Actuators Business Unit
- Position / Current Sensors - Triaxis Hall
熱門搜索





