電源設計經驗:低成本高效益解決方案是這樣煉成的!
發布時間:2020-06-05 責任編輯:wenwei
【導讀】有些應用需要寬鬆的輸出調節功能以及不到20mA的電流。對這樣的應用來說,采用分立組件打造的線性穩壓器是一種低成本高效益的解決方案(圖1)。而對於具有嚴格的輸出調節功能並需要更大電流的應用,則可使用高性能的低壓差線性穩壓器(LDO)。

圖1:簡單的串聯穩壓器
有兩個與圖1所(suo)示(shi)電(dian)路(lu)相(xiang)關(guan)的(de)設(she)計(ji)挑(tiao)戰(zhan)。第(di)一(yi)個(ge)挑(tiao)戰(zhan)是(shi)要(yao)調(tiao)節(jie)輸(shu)出(chu)電(dian)壓(ya),第(di)二(er)個(ge)挑(tiao)戰(zhan)是(shi)要(yao)在(zai)短(duan)路(lu)事(shi)件(jian)中(zhong)安(an)然(ran)無(wu)恙(yang)。在(zai)這(zhe)篇(pian)文(wen)章(zhang)中(zhong),筆(bi)者(zhe)將(jiang)討(tao)論(lun)如(ru)何(he)用(yong)分(fen)立(li)組(zu)件(jian)設(she)計(ji)穩(wen)健(jian)的(de)線(xian)性(xing)穩(wen)壓(ya)器(qi)。
下麵是一個用來給微控製器供電的示例:
輸入範圍:8.4V至12.6V。
輸出範圍:1.71V至3.7V。
最大負載電流:Io_max = 20mA。
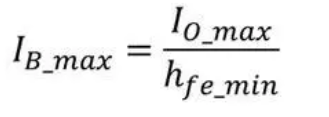
雙極型NPN晶體管的選擇
NPN雙極型晶體管Q1是最重要的組件。筆者首先選擇了這種器件。該晶體管應符合下列要求:
集電極至發射極和基極至發射極的擊穿電壓應超過最高輸入電壓Vin_max。
集電極最大允許電流應超過最大負載電流Io_max。
chulezheliangxiangjibenyaoqiuzhiwai,shiyongjuyoubeixuanfengzhuangdezujianyeshiyigehaozhuyi。dangshejidaogonghaoshi,yongyouzhezhonglinghuoxingjianghuijianhuayihoudeshejiguocheng。bizheweizhezhongyingyongxuanzelejuyoubeixuanfengzhuanghebutongedinggonglvdeNPN晶體管。
下麵是筆者所用NPN晶體管的關鍵特性。
當IC = 50mA時:
直流(DC)電流增益hFE = 60;
集電極-發射極最高飽和電壓VCEsat = 300mV;
基極-發射極最高飽和電壓VBEsat = 950mV。
齊納二極管Dz的選擇
輸出電壓等於反向齊納電壓VZ減去該晶體管基極至發射極電壓VBE。因此,最低反向齊納電壓應符合下述要求(方程式1):
對於這種應用,筆者選用的一個測試條件是IZT = 1mA,並選擇了一個具有以下特性的齊納二極管:
當Vo_min = 1.71V且VBE_max= 0.95V時,Vz_min應大於2.65V。
當反向電流IZT = 1mA時,最低反向電壓VZ_min = 2.7V。
當反向電流IZT = 5mA時,最高反向電壓VZ_max = 3.8V。
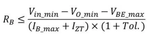
基極上拉電阻器RB
電阻器RB可為齊納二極管和晶體管基極提供電流。在運行條件下,它應提供足夠的電流。齊納二極管反向電流IZ應大於1mA,正如筆者在“齊納二極管Dz的選擇”部分所討論的。方程式2可估算出運行所需的最大基極電流:
(2)其中Hfe_min = 60。因此,IB_max ≈ 0.333mA。
方程式3可計算出RB的值。筆者使用了一個具有1%容差的電阻器。
(3)故此,RB應小於4.26kΩ。筆者使用了一個具有4.22kΩ標準值的電阻器。
添加一個用於輸出調節的虛擬負載電阻器
當負載電流為零時,輸出電壓達到最大值。當1mA ≤ IZT ≤ 5mA時,VZ最大值為3.8。VBE(on)應大於0.1V,這樣該穩壓器的輸出就能符合要求。此外,筆者還添加了一個虛擬負載電阻器,以便在無負載條件下汲取集電極電流。
圖2顯示,VBE(on)可作為集電極電流IC的函數。當IC = 0.1mA時,VBE(on) 大於0.3V。

圖2:基極-發射極導通電壓與集電極電流
方程式4可計算出該虛擬電阻:
(4)筆者將一個36kΩ的電阻器添加到了該電路,如圖3所示。
圖3:具有虛擬負載電阻器的串聯穩壓器
為短路事件進行的電流限製
圖3所示電路的輸出對地短路將產生較大的集電極電流。一項PSPICE仿真結果表明,集電極電流可高達190mA,見圖4。

圖4:短路仿真結果
晶體管Q1的功耗是2.4W。沒有能應對該功耗的封裝。
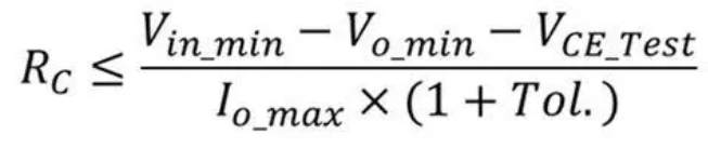
為了限製短路電流,筆者添加了一個電阻器RC(從VIN到晶體管Q1的集電極),如圖5所示。

圖5:具有限流電阻器的串聯穩壓器
電阻器RC將會滿足輸出調節要求,並能在短路事件中耗散功率。筆者可計算出RC的值:
(5)VCE_Test是圖1中所用的集電極-發射極電壓。筆者為RC選擇了一個5%容差的電阻器。采用方程式5,RC應小於271Ω。使用這個估計值,在短路事件中方程式6可計算出最壞情況下的RC功耗:
(6)該功耗約為0.56W。筆者選擇了一個1W、270Ω的功率電阻器。對於RC短路功耗更高的應用,您可把多個電阻器串聯以分擔功耗。
組件應力分析
就電阻器RC而言,在具有最大輸入的短路事件中會發生最壞情況下的功耗。采用方程式6,可計算出最大功耗為0.59W。
就晶體管Q1而言,因為有限流電阻器RC,所以在短路事件中不會發生最壞情況下的功耗。在正常運行期間Q1的功耗是集電極電流的函數,如方程式7所示:
當滿足下列條件時,會發生最壞的情況:
VIN = VIN_max
VO = VO_min
IC = (VIN_max – VO_min)/(2×RC)
因此,Q1的最大功耗為(VIN_max – VO_min)2/(4×RC)。在本示例中,它是110mW。筆者選擇了一種額定功率為350mW、采用SOT23封裝的小外形晶體管。
至於RB的最大功耗,在具有最大輸入的短路事件中會發生最壞的情況。跨RB的電壓等於輸入電壓減去VBE(sat)。最大功耗估計為38mW。
推薦閱讀:
特別推薦
- 噪聲中提取真值!瑞盟科技推出MSA2240電流檢測芯片賦能多元高端測量場景
- 10MHz高頻運行!氮矽科技發布集成驅動GaN芯片,助力電源能效再攀新高
- 失真度僅0.002%!力芯微推出超低內阻、超低失真4PST模擬開關
- 一“芯”雙電!聖邦微電子發布雙輸出電源芯片,簡化AFE與音頻設計
- 一機適配萬端:金升陽推出1200W可編程電源,賦能高端裝備製造
技術文章更多>>
- 貿澤EIT係列新一期,探索AI如何重塑日常科技與用戶體驗
- 算力爆發遇上電源革新,大聯大世平集團攜手晶豐明源線上研討會解鎖應用落地
- 創新不止,創芯不已:第六屆ICDIA創芯展8月南京盛大啟幕!
- AI時代,為什麼存儲基礎設施的可靠性決定數據中心的經濟效益
- 築基AI4S:摩爾線程全功能GPU加速中國生命科學自主生態
技術白皮書下載更多>>
- 車規與基於V2X的車輛協同主動避撞技術展望
- 數字隔離助力新能源汽車安全隔離的新挑戰
- 汽車模塊拋負載的解決方案
- 車用連接器的安全創新應用
- Melexis Actuators Business Unit
- Position / Current Sensors - Triaxis Hall
熱門搜索
微波功率管
微波開關
微波連接器
微波器件
微波三極管
微波振蕩器
微電機
微調電容
微動開關
微蜂窩
位置傳感器
溫度保險絲
溫度傳感器
溫控開關
溫控可控矽
聞泰
穩壓電源
穩壓二極管
穩壓管
無焊端子
無線充電
無線監控
無源濾波器
五金工具
物聯網
顯示模塊
顯微鏡結構
線圈
線繞電位器
線繞電阻



