RC電路的瞬態響應
發布時間:2021-01-12 來源:Doug Mercer 和 Antoniu Miclaus 責任編輯:wenwei
【導讀】在《模擬對話》2017年12月文章中介紹SMUADALM1000之後,我們希望進行一些小的基本測量,這是ADALM1000係列的第四部分。本實驗活動的目標是通過脈衝波形研究串聯RC電路的瞬態響應並了解時間常數的概念。

圖1. ADALM1000原理圖。
現在我們開始下一個實驗。
目標:
本實驗活動的目標是通過脈衝波形研究串聯RC電路的瞬態響應並 了解時間常數的概念。
背景:
在本實驗活動中,將向RC電路施加一個脈衝波形,以分析該電 路的瞬態響應。RC電路對電路時間常數的影響由與之相關的脈 衝寬度決定。
時間常數(τ):RC或RL電路中發生某些電壓和電流變化所需的時間 度量。通常來說,在四倍時間常數(4 τ)之後,RC電路中的電容幾乎 完全充電,此時其兩端電壓約為最大值的98%。一般認為這個區 間就是電路的瞬態響應。發生切換後經過的時間超過五倍時間常 數(5 τ)時,各電流和電壓已達到最終值,此過程亦稱為穩態響應。
表1顯示在給定時間常數下,RC充電電路中的電容在充電時的電 壓和電流百分比。
表1. 給定時間常數的電壓和電流百分比

請注意,現實中電容不可能100%充滿。因此,實際上通常使用5 倍時間常數來表示電容已完全充滿。
一個RC電路的時間常數是其等效電容和等效電容兩端的戴維寧 電阻的乘積。
脈衝就是電壓或電流從一個電平跳變到另一電平,然後又返回原 來電平的過程。如果一個波形的高電平時間與其低電平時間相 等,則稱為方波。每個脈衝循環的長度稱為周期(T)。
一個理想方波的脈衝寬度(tp)等於時間周期的一半。
那麼,脈衝寬度和頻率之間的關係可表示為:

圖2. 串聯RC電路。
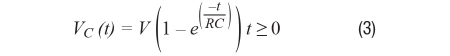
根據基爾霍夫定律,電容兩端的充電電壓VC (t)可表示為:

其中V表示τ = 0時電路上施加的源電壓,RC = τ,是時間常數。
該響應曲線呈遞增趨勢,如圖3所示。

圖3. 串聯RC電路對於步進輸入的電容充電,時間軸通過τ歸一化。
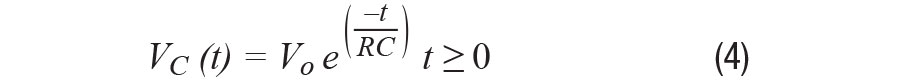
該電容的放電電壓表示為:
其中Vo表示t = 0時電容中存儲的初始電壓,RC = τ,是時間常數。 該響應曲線是一個衰減式指數,如圖4所示。

圖4. 串聯RC電路的電容放電過程。
材料:
● ADALM1000硬件模塊
● 電阻 (2.2 kΩ, 10 kΩ)
● 電容 (1 μF, 0.01 μF)
步驟:
1. 在無焊試驗板上搭建如圖5所示的電路,使用的元件為R1 = 2.2 kΩ,C1 = 1 μF。打開ALICE示波器軟件。
2. 將通道A任意波形發生器(AWG)的最小值(Min)設為0.5 V,最大值(Max)設為4.5V,從而生成一個峰峰值為4 V,中心為2.5 V的方波,作為輸入電壓施加於電路。在AWG A的模式下拉菜單中選擇SVMI模式。在AWG A的波形下拉菜單中選擇方波模式。在AWG B的模式下拉菜單中選擇高阻抗模式。

圖5. 試驗板RC電路圖。

圖6. 試驗板RC電路連接,R1 = 2.2 kΩ且C1 = 1 μF。
3. 在ALICE曲線下拉菜單中選擇顯示CA-V和CB-V。在觸發器下拉菜單中選擇CA-V和自動電平。調節時間基準,直到顯示屏方格上大約可顯示兩個周期的方波信號。

圖7. 示波器配置。
此配置使用示波器從通道A觀察電路的輸入,從通道B觀察電路的輸出。請確保您已勾選Sync AWG選擇器。
4. 針對以下三種情況觀測電路的響應,並記錄結果。
a. 脈衝寬度 » 5 τ:設置AWG A輸出的頻率,使電容在每個 方波周期內有足夠的時間完全充電和放電。令脈衝寬度為 15 τ,然後根據公式2設置頻率。所得值應約為15 Hz。如果 可行,請根據屏幕上所得的波形確定出時間常數。如果難 以求得時間常數,請說明可能存在的原因。
b. 脈衝寬度 = 5 τ:設置頻率,使脈衝寬度 = 5 τ(該頻率 應約為45 Hz)。由於脈衝寬度為5 τ,所以電容剛好能夠 在每個脈衝周期內完全充電和放電(見圖3和圖4)。

圖8. 通過計算方波個數近似測量時間常數t。
c. 脈衝寬度 « 5 τ:在此情況下,電容無法在切換到放電狀 態前充分充電,反之亦然。對於此情況,令脈衝寬度僅為 1.0 τ,然後相應地設置頻率。
5. 采用R1 = 10 kΩ,C1 = 0.01 μF重複上述步驟,並記錄測量結果。
問題:
1. 使用公式1計算時間常數(τ),並將其與4b(R = 2.2 k,C = 0.01 μF) 所得的測量值進行比較。
2. 對另一組值(R = 10 kΩ,C = 0.01 μF)重複該步驟。
您可以在學子專區博客上找到問題答案。
注釋
與所有ALM實驗室一樣,當涉及與ALM1000連接器的連接和配置 硬件時,我們使用以下術語。綠色陰影矩形表示與ADALM1000模 擬I/O連接器的連接。模擬I/O通道引腳被稱為CA和CB。當配置為 驅動電壓/測量電流時,添加-V,例如CA-V;當配置為驅動電流/測 量電壓時,添加-I,例如CA-I。當通道配置為高阻態模式以僅測量 電壓時,添加-H,例如CA-H。
示波器跡線同樣按照通道和電壓/電流來指稱,例如:CA-V和CB-V 指電壓波形,CA-I和CB-I指電流波形。
對於本文示例,我們使用的是ALICE 1.1版軟件。
文件:alice-desktop-1.1-setup.zip。請點擊此處下載。
ALICE桌麵軟件提供如下功能:
● 雙通道示波器,用於時域顯示和電壓/電流波形分析。
● 雙通道任意波形發生器(AWG)控製。
● X和Y顯示,用於繪製捕捉的電壓/電流與電壓/電流數據,以及電壓波形直方圖。
● 雙通道頻譜分析儀,用於頻域顯示和電壓波形分析。
● 波特圖繪圖儀和內置掃描發生器的網絡分析儀。
● 阻抗分析儀,用於分析複雜RLC網絡,以及用作RLC儀和矢量電壓表。
● 一個直流歐姆表相對於已知外部電阻或已知內部50 Ω電阻測量未知電阻。
● 使用ADALP2000模擬器件套件中的AD584精密2.5 V基準電壓源進行電路板自校準。
● ALICE M1K電壓表。
● ALICE M1K表源。
● ALICE M1K桌麵工具。
注:需要將ADALM1000連接到您的PC才能使用該軟件。

圖9. ALICE桌麵1.1菜單。
免責聲明:本文為轉載文章,轉載此文目的在於傳遞更多信息,版權歸原作者所有。本文所用視頻、圖片、文字如涉及作品版權問題,請聯係小編進行處理。
推薦閱讀:
特別推薦
- 噪聲中提取真值!瑞盟科技推出MSA2240電流檢測芯片賦能多元高端測量場景
- 10MHz高頻運行!氮矽科技發布集成驅動GaN芯片,助力電源能效再攀新高
- 失真度僅0.002%!力芯微推出超低內阻、超低失真4PST模擬開關
- 一“芯”雙電!聖邦微電子發布雙輸出電源芯片,簡化AFE與音頻設計
- 一機適配萬端:金升陽推出1200W可編程電源,賦能高端裝備製造
技術文章更多>>
- 從機械執行到智能互動:移遠Q-Robotbox助力具身智能加速落地
- 品英Pickering將亮相2026航空電子國際論壇,展示航電與電池測試前沿方案
- 模擬芯片設計師的噩夢:晶體管差1毫伏就廢了,溫度升1度特性全飄
- 3A大電流僅需3x1.6mm?意法半導體DCP3603重新定義電源設計
- 芯科科技Tech Talks與藍牙亞洲大會聯動,線上線下賦能物聯網創新
技術白皮書下載更多>>
- 車規與基於V2X的車輛協同主動避撞技術展望
- 數字隔離助力新能源汽車安全隔離的新挑戰
- 汽車模塊拋負載的解決方案
- 車用連接器的安全創新應用
- Melexis Actuators Business Unit
- Position / Current Sensors - Triaxis Hall
熱門搜索
按鈕開關
白色家電
保護器件
保險絲管
北鬥定位
北高智
貝能科技
背板連接器
背光器件
編碼器型號
便攜產品
便攜醫療
變容二極管
變壓器
檳城電子
並網
撥動開關
玻璃釉電容
剝線機
薄膜電容
薄膜電阻
薄膜開關
捕魚器
步進電機
測力傳感器
測試測量
測試設備
拆解
場效應管
超霸科技




