DC-DC動態特性怎麼優化改善
發布時間:2023-04-18 責任編輯:lina
【導讀】電(dian)源(yuan)是(shi)現(xian)代(dai)電(dian)子(zi)產(chan)品(pin)必(bi)不(bu)可(ke)缺(que)的(de)模(mo)塊(kuai),現(xian)今(jin)大(da)多(duo)數(shu)的(de)通(tong)用(yong)電(dian)源(yuan)芯(xin)片(pian)都(dou)會(hui)提(ti)供(gong)如(ru)下(xia)圖(tu)所(suo)示(shi)的(de)反(fan)饋(kui)引(yin)腳(jiao),便(bian)於(yu)客(ke)戶(hu)使(shi)用(yong)反(fan)饋(kui)電(dian)阻(zu)實(shi)現(xian)所(suo)需(xu)的(de)輸(shu)出(chu),簡(jian)化(hua)設(she)計(ji)並(bing)節(jie)省(sheng)調(tiao)試(shi)時(shi)間(jian)。但(dan)是(shi)通(tong)用(yong)化(hua)也(ye)從(cong)根(gen)本(ben)上(shang)製(zhi)約(yue)了(le)轉(zhuan)換(huan)器(qi)的(de)帶(dai)寬(kuan)及(ji)瞬(shun)態(tai)響(xiang)應(ying)能(neng)力(li)。這(zhe)種(zhong)情(qing)況(kuang)下(xia),設(she)計(ji)師(shi)可(ke)以(yi)通(tong)過(guo)使(shi)用(yong)前(qian)饋(kui)電(dian)容(rong)在(zai)一(yi)定(ding)程(cheng)度(du)上(shang)對(dui)此(ci)進(jin)行(xing)改(gai)善(shan)。
電(dian)源(yuan)是(shi)現(xian)代(dai)電(dian)子(zi)產(chan)品(pin)必(bi)不(bu)可(ke)缺(que)的(de)模(mo)塊(kuai),現(xian)今(jin)大(da)多(duo)數(shu)的(de)通(tong)用(yong)電(dian)源(yuan)芯(xin)片(pian)都(dou)會(hui)提(ti)供(gong)如(ru)下(xia)圖(tu)所(suo)示(shi)的(de)反(fan)饋(kui)引(yin)腳(jiao),便(bian)於(yu)客(ke)戶(hu)使(shi)用(yong)反(fan)饋(kui)電(dian)阻(zu)實(shi)現(xian)所(suo)需(xu)的(de)輸(shu)出(chu),簡(jian)化(hua)設(she)計(ji)並(bing)節(jie)省(sheng)調(tiao)試(shi)時(shi)間(jian)。但(dan)是(shi)通(tong)用(yong)化(hua)也(ye)從(cong)根(gen)本(ben)上(shang)製(zhi)約(yue)了(le)轉(zhuan)換(huan)器(qi)的(de)帶(dai)寬(kuan)及(ji)瞬(shun)態(tai)響(xiang)應(ying)能(neng)力(li)。這(zhe)種(zhong)情(qing)況(kuang)下(xia),設(she)計(ji)師(shi)可(ke)以(yi)通(tong)過(guo)使(shi)用(yong)前(qian)饋(kui)電(dian)容(rong)在(zai)一(yi)定(ding)程(cheng)度(du)上(shang)對(dui)此(ci)進(jin)行(xing)改(gai)善(shan)。
本次對前饋補償進行基本介紹,以方便設計人員選取合適的前饋電容以達到更的產品性能。
前饋電容的影響
常見的可調電源電路如下圖所示。
*可調電源電路
A(s)為電源係統的開環增益,為方便討論我們假定A(s)裏已經包含了輸出電容、負載等其他因素的影響。
上述電路在不使用前饋電容CF時的輸出電壓為
其中,β為反饋係數。其環路增益為
可見,通過調節分壓電阻雖然可以改變輸出電壓OUT,但同時也使得G(s)的帶寬變窄。
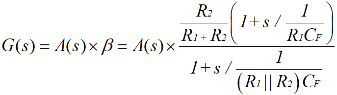
合理地使用前饋電容可以提升電源的帶寬及響應速度,此時環路增益為
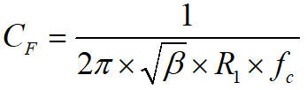
由此可得,CF並不改變DC輸出,而是為係統引入了一對低頻零點fz和高頻極點fp。零點會使相位裕量增加,極點則惡化相位裕量,使零點與極點盡量遠離才能獲得更多的相位裕量。但CF引入的零極點對的距離在對數坐標裏是固定的,因為
據此可確定,前饋電容在R1/R2越大時作用越明顯,在R1=0時不產生作用。而在R1/R2確定的場合,需要合理地選擇前饋電容CF。
前饋電容的選擇
為了兼顧係統的帶寬和相位裕量,通過以下步驟可以得到化的前饋電容容值
1. 在沒有前饋電容的情況下測得係統的穿越頻率fc;
2. 選擇的前饋電容引入的零點和極點,使其滿足
化簡為
免責聲明:本文為轉載文章,轉載此文目的在於傳遞更多信息,版權歸原作者所有。本文所用視頻、圖片、文字如涉及作品版權問題,請聯係小編進行處理。
推薦閱讀:
- 噪聲中提取真值!瑞盟科技推出MSA2240電流檢測芯片賦能多元高端測量場景
- 10MHz高頻運行!氮矽科技發布集成驅動GaN芯片,助力電源能效再攀新高
- 失真度僅0.002%!力芯微推出超低內阻、超低失真4PST模擬開關
- 一“芯”雙電!聖邦微電子發布雙輸出電源芯片,簡化AFE與音頻設計
- 一機適配萬端:金升陽推出1200W可編程電源,賦能高端裝備製造
- 從機械執行到智能互動:移遠Q-Robotbox助力具身智能加速落地
- 品英Pickering將亮相2026航空電子國際論壇,展示航電與電池測試前沿方案
- 模擬芯片設計師的噩夢:晶體管差1毫伏就廢了,溫度升1度特性全飄
- 3A大電流僅需3x1.6mm?意法半導體DCP3603重新定義電源設計
- 芯科科技Tech Talks與藍牙亞洲大會聯動,線上線下賦能物聯網創新
- 車規與基於V2X的車輛協同主動避撞技術展望
- 數字隔離助力新能源汽車安全隔離的新挑戰
- 汽車模塊拋負載的解決方案
- 車用連接器的安全創新應用
- Melexis Actuators Business Unit
- Position / Current Sensors - Triaxis Hall




