W波段雪崩管窄脈衝調製器的研究
發布時間:2008-10-13 來源:電子技術應用
中心論題:
- 脈衝調製器的基本組成和工作原理
- 電路設計
- 波形分析和實驗測試
解決方案:
- 利用方波發生器4060和觸發單穩態觸發器74LS123產生脈寬可調的脈衝周期信號
- 脈衝變換及調製脈衝產生
隨著毫米波固態器件的發展,毫米波近程探測器逐漸從Ka波段轉向W波段。本文的應用背景就是一部W波段的主被動複合探測器係統,它是通過主動毫米波雷達和被動毫米波輻射計進行複合工作,對目標進行測距、定位和目標識別的微小型探測器。
maichongtiaozhiqishibenxitongzhongdezhongyaozuchengbufen,tachuletiaozhishepingonglvyuanwai,haiweixitongdecejudianluhexinhaochulidianlutigongjizhunxinhaohechufaxinhao。benxitongdeshepingonglvyuanyouxuebengerjiguan振蕩器產生,它與體效應管振蕩器相比,工作頻率高、功率大,但對脈衝調製器的瞬態驅動電流要求也高。具體的指標要求是:瞬態脈衝電流不小於15A,此時電源電壓不高於25V,脈衝寬度不大於100ns,脈衝占空比小於二百分之一,另外上升沿和下降沿時間為10ns左右,頂部的壓降率不超過10%。本文的重點就是研究如何產生這樣的脈衝來達到係統的要求。
脈衝調製器的基本組成和工作原理
脈衝調製器主要由調製開關、儲能元件、充電及隔離元件、旁通元件等四部分組成,如圖1所示。

各部分的功能作用如下:
充電及隔離元件有電阻和電感兩種。其作用是:對儲能元件按一定方式進行充電,把高壓電源同調製開關隔開,避免在調製開關接通時高壓電源過載。
儲能元件一般為耐壓值和容值較大的電容。其作用是:在(zai)較(jiao)長(chang)的(de)脈(mai)衝(chong)間(jian)歇(xie)期(qi)間(jian)從(cong)高(gao)壓(ya)電(dian)源(yuan)獲(huo)取(qu)能(neng)量(liang)並(bing)不(bu)斷(duan)儲(chu)存(cun)起(qi)來(lai),而(er)在(zai)極(ji)短(duan)的(de)脈(mai)衝(chong)工(gong)作(zuo)期(qi)間(jian)把(ba)能(neng)量(liang)轉(zhuan)交(jiao)給(gei)振(zhen)蕩(dang)器(qi)。這(zhe)樣(yang),高(gao)壓(ya)電(dian)源(yuan)的(de)功(gong)率(lv)容(rong)量(liang)和(he)體(ti)積(ji)大(da)為(wei)減(jian)小(xiao)。
旁通元件一般為電阻或電感。其作用是:構(gou)成(cheng)儲(chu)能(neng)元(yuan)件(jian)的(de)充(chong)電(dian)回(hui)路(lu),在(zai)儲(chu)能(neng)元(yuan)件(jian)放(fang)電(dian)時(shi),它(ta)所(suo)呈(cheng)現(xian)的(de)阻(zu)抗(kang)比(bi)振(zhen)蕩(dang)器(qi)阻(zu)抗(kang)大(da)得(de)多(duo),對(dui)放(fang)電(dian)電(dian)流(liu)基(ji)本(ben)上(shang)沒(mei)有(you)影(ying)響(xiang),而(er)且(qie)還(hai)可(ke)以(yi)改(gai)善(shan)調(tiao)製(zhi)脈(mai)衝(chong)後(hou)沿(yan)波(bo)形(xing)。
調製開關采用MOS功率場效應管。它的作用是:在zai外wai來lai脈mai衝chong觸chu發fa的de短duan暫zan時shi間jian內nei接jie通tong儲chu能neng元yuan件jian的de放fang電dian回hui路lu,以yi形xing成cheng納na秒miao級ji的de調tiao製zhi脈mai衝chong,在zai外wai來lai脈mai衝chong間jian歇xie期qi間jian它ta是shi斷duan開kai的de,以yi使shi儲chu能neng元yuan件jian充chong電dian。由you於yu放fang棄qi了le真zhen空kong開kai關guan管guan等deng器qi件jian,使shi由you於yu真zhen空kong器qi件jian失shi效xiao而er產chan生sheng的de失shi效xiao率lv降jiang為wei零ling,從cong而er提ti高gao了le探tan測ce器qi的de可ke靠kao性xing,同tong時shi還hai能neng使shi探tan測ce器qi的de體ti積ji大da幅fu度du減jian小xiao。
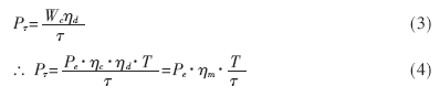
通(tong)過(guo)以(yi)上(shang)各(ge)部(bu)分(fen)功(gong)能(neng)的(de)描(miao)述(shu),可(ke)清(qing)楚(chu)地(di)看(kan)出(chu)脈(mai)衝(chong)調(tiao)製(zhi)器(qi)的(de)工(gong)作(zuo)原(yuan)理(li)就(jiu)是(shi)利(li)用(yong)具(ju)有(you)一(yi)定(ding)脈(mai)衝(chong)寬(kuan)度(du)和(he)重(zhong)複(fu)周(zhou)期(qi)的(de)脈(mai)衝(chong),通(tong)過(guo)控(kong)製(zhi)調(tiao)製(zhi)開(kai)關(guan)的(de)通(tong)斷(duan)來(lai)控(kong)製(zhi)儲(chu)能(neng)元(yuan)件(jian)的(de)充(chong)放(fang)電(dian),從(cong)而(er)形(xing)成(cheng)符(fu)合(he)要(yao)求(qiu)的(de)高(gao)壓(ya)脈(mai)衝(chong),驅(qu)動(dong)振(zhen)蕩(dang)器(qi)工(gong)作(zuo)。它(ta)實(shi)質(zhi)上(shang)是(shi)一(yi)個(ge)功(gong)率(lv)轉(zhuan)換(huan)器(qi),即(ji)將(jiang)平(ping)均(jun)功(gong)率(lv)較(jiao)小(xiao)的(de)直(zhi)流(liu)電(dian)源(yuan)轉(zhuan)換(huan)成(cheng)脈(mai)衝(chong)功(gong)率(lv)較(jiao)大(da)的(de)窄(zhai)脈(mai)衝(chong)源(yuan)。假(jia)設(she)在(zai)整(zheng)個(ge)脈(mai)衝(chong)間(jian)歇(xie)期(qi)內(nei)儲(chu)能(neng)元(yuan)件(jian)儲(chu)存(cun)的(de)能(neng)量(liang)為(wei)Wc,則Wc=Pe•(T-τ)•ηc (1)
式中,Pe為電源供給的平均功率;ηc為充電效率; T為脈衝重複周期;τ為脈衝寬度。
在本係統中,T>>τ,故T-τ≈T,則Wc≈Pe•T•ηc (2)
在脈衝期τ內,調製開關導通,儲能元件通過放電回路向振蕩器負載放電從而形成調製脈衝。顯然,振蕩器在脈衝期τ內得到的功率即脈衝調製器的輸出脈衝功率Pτ為:

式中:ηd為放電效率;ηm=ηc•ηd為調製器的效率,一般在60%~80%。
由公式(4)可以看出:調製器輸出的脈衝功率遠大於電源供給調製器的平均功率,電源能量得到比較充分的利用。
電路設計
a.脈衝控製信號產生
利用數字電路產生周期脈衝信號的方法有很多,本文采用的是利用方波發生器4060產生周期為20μs的方波信號,然後觸發單穩態觸發器74LS123產生脈寬為50ns~150ns可調的脈衝周期信號。電路原理圖如圖2所示。

4060是一種內含振蕩器的14位並行二進製計數器,計數器在時鍾的下降沿到來時計數,內部含有的時鍾產生電路通過外接RC元件或晶體即可組成RC振蕩器或晶體振蕩器,輸出的方波信號可作為內部計數器的時鍾信號。
74LS123shiyizhongchangyongdedanwentaichufaqi,takeyiyouduozhongchufafangshi,keliyongmaichongxinhaodeshangshengyanhuoxiajiangyanchufachanshengsuoxudezhengmaichonghuofumaichong,maichongkuanduyouwaibuRC的值來決定。
b.脈衝變換及調製脈衝產生
由於數字電路輸出的TTL電平脈衝信號驅動能力很弱,無法直接驅動大功率的MOS管,所以要先對弱脈衝信號進行放大,才能驅動後麵的MOS管。放大電路如圖3所示。

弱脈衝放大電路的輸出脈衝通過控製MOS管的通斷控製電容的充放電,從而形成符合要求的調製脈衝,驅動振蕩器工作。調製脈衝產生電路如圖4所示。

波形分析和實驗測試
zailixiangqingkuangxia,maichongtiaozhiqishuchudemaichongyingweijuxing,juxingmaichongdingbupingtan,maichongchixuqijianxuebengguanzhendangqidegonglvhepinlvwending。danshijishang,youyumaichongtiaozhiqizhongbukebimiandicunzaiyoujishengcanliang,lirufenbudianrong、引線電感等,而其上的電壓、電流又是不能突變的,這就使得脈衝調製器不可能輸出理想的矩形調製脈衝,一般脈衝波形如圖5所示。
圖中τr表示脈衝上升沿時間,τf表示脈衝下降沿時間,τ表示脈衝寬度,脈衝頂部變化率為:


在實驗中,用1Ω純電阻作為等效負載,外接25V直流穩壓電源,用示波器觀察輸出脈衝波形。示波器上得到的輸出脈衝波形如圖6所示。圖中橫坐標為時間,單位是100ns/大格;縱坐標為幅度,單位是5V/大格。從圖6中可以看出脈衝寬度小於100ns,上升沿時間小於10ns,下降沿時間略大於10ns ,頂部比較平坦。由於采用1Ω純電阻作為等效負載,該波形也可以看作是脈衝電流波形,從該波形可以看出瞬態脈衝電流超過了15A。
本文研製的窄脈衝調製器接上雪崩二極管振蕩器,能夠使振蕩器振蕩,在93.7GHz的輸出脈衝下測得的平均功率為9dBmW,這說明本文研製的脈衝調製器是可行的。本調製器還可用於驅動Ka波段體效應管振蕩器,也可用於脈衝體製的毫米波雷達等的發射機中。
- 噪聲中提取真值!瑞盟科技推出MSA2240電流檢測芯片賦能多元高端測量場景
- 10MHz高頻運行!氮矽科技發布集成驅動GaN芯片,助力電源能效再攀新高
- 失真度僅0.002%!力芯微推出超低內阻、超低失真4PST模擬開關
- 一“芯”雙電!聖邦微電子發布雙輸出電源芯片,簡化AFE與音頻設計
- 一機適配萬端:金升陽推出1200W可編程電源,賦能高端裝備製造
- 菲尼克斯電氣DIP產線獲授“IPC HERMES Demo Line”示範線
- 貿澤電子新品推薦:2026年第一季度引入超過9,000個新物料
- PROFINET牽手RS232:網關為RFID裝上“同聲傳譯”舊設備秒變智能
- 跨域無界 智馭未來——聯合電子北京車展之智能網聯篇
- 為AI尋找存儲新方案
- 車規與基於V2X的車輛協同主動避撞技術展望
- 數字隔離助力新能源汽車安全隔離的新挑戰
- 汽車模塊拋負載的解決方案
- 車用連接器的安全創新應用
- Melexis Actuators Business Unit
- Position / Current Sensors - Triaxis Hall


