誤差對微波元件電性能的影響
發布時間:2009-11-30
中心議題:
近幾年來由於星載天線、大功率雷達的工作頻率越來越高,頻帶越來越寬,發射功率越來越大,使饋線係統的結構形式變得越來越複雜,現有的設計觀念、生產能力已製約了產品性能的提高。
對大功率容量的雷達而言,由於其功率大,饋線係統中重要微波元件的尺寸誤差、表麵粗糙度、anzhuangjingduduizhenggexitongdegonglvrongliangyingxiangyefeichangda。ruochengxingdeweiboyuanjianchuxianzhiliangwenti,shejizhehennantongguodiantiaodeyibujiu。yinci,lejiegezhongwuchaduixitongdianxingnengdeyingxiang,zaishejizhongnengyufangwuchadechansheng,zaijiagongzhongnengtongguohelidegongyifangfaxiaochugezhongzhizaowucha,zheduibaozhengweiboyuanjiandedianxingnenghetigaoxitongdegonglvrongliangyouweizhongyao。
波的傳輸特性
在任何情況下,波在傳輸過程中均有損耗及反射。主要原因在於傳輸途中有各種各樣的障礙物,如波導的不規則變形、波導材料的突變、各個波導元件之間口徑尺寸不一致、接頭處波導口不同軸、多duo次ci的de連lian接jie等deng。反fan射she波bo不bu但dan不bu能neng保bao證zheng電dian磁ci波bo的de傳chuan輸shu,而er且qie駐zhu波bo波bo腹fu處chu會hui在zai大da功gong率lv工gong作zuo中zhong導dao致zhi係xi統tong的de電dian擊ji穿chuan。因yin此ci元yuan器qi件jian尺chi寸cun越yue精jing確que,法fa蘭lan電dian接jie觸chu越yue好hao,損sun耗hao和he反fan射she波bo就jiu越yue少shao。在zai設she計ji和he製zhi造zao中zhong應ying該gai盡jin可ke能neng避bi免mian波bo導dao的de不bu規gui則ze變bian形xing,保bao證zheng尺chi寸cun的de精jing確que度du,同tong時shi還hai要yao有you相xiang應ying的de加jia工gong工gong藝yi和he檢jian驗yan技ji術shu,確que保bao高gao頻pin導dao電dian層ceng的de良liang好hao導dao電dian性xing、平坦性及連接處的準確性,以滿足電氣設計要求。
微波元件基體材料與衰減的關係
即(ji)使(shi)是(shi)理(li)想(xiang)光(guang)滑(hua)的(de)波(bo)導(dao),其(qi)基(ji)體(ti)材(cai)料(liao)的(de)導(dao)電(dian)率(lv)也(ye)不(bu)大(da)。如(ru)果(guo)給(gei)理(li)想(xiang)光(guang)滑(hua)的(de)波(bo)導(dao)內(nei)腔(qiang)電(dian)鍍(du)純(chun)銀(yin)或(huo)純(chun)銅(tong),可(ke)以(yi)提(ti)高(gao)高(gao)頻(pin)導(dao)電(dian)層(ceng)的(de)導(dao)電(dian)率(lv),從(cong)而(er)使(shi)波(bo)導(dao)衰(shuai)減(jian)降(jiang)低(di)。表(biao)1是金屬和合金在20℃,f=10GHz時的衰減量(波導口徑為23mm×10mm)。

從表1的數據可看出,導電性能良好的鋁、銅、銀yin等deng材cai料liao在zai傳chuan輸shu電dian磁ci波bo時shi損sun耗hao較jiao小xiao。同tong種zhong材cai料liao退tui火huo去qu除chu應ying力li有you利li於yu恢hui複fu金jin屬shu導dao電dian結jie構gou,使shi其qi導dao電dian率lv增zeng加jia,波bo導dao衰shuai減jian減jian少shao。在zai實shi際ji工gong作zuo中zhong,為wei了le取qu得de良liang好hao的de經jing濟ji效xiao益yi,應ying盡jin量liang采cai用yong熱re處chu理li方fang法fa,這zhe樣yang能neng獲huo得de較jiao好hao的de電dian磁ci波bo傳chuan輸shu性xing能neng。
波導內表麵粗糙度和衰減量的關係
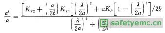
波導表麵粗糙時的衰減量與理想光滑時的衰減量α的比值為:

式中KT1,KT2,Kp分別為波導a,b邊的表麵粗糙因子。
由Benson和AILison對各種不同工藝加工的口徑為25.4mm×12.7mm銅波導管,測出KT1,KT2,Kp之後,據上式算出的α′/α之值見表2[1]。[page]

對表2數據的分析可知:
(1)精密拉製成型的波導管性能較好。
(2)電拋光比化學拋光效果好,能獲得較優越的電氣性能。
(3)光亮鍍銅的效果最佳。
波導表麵粗糙度越低,加工難度越大,製造成本也越高。為了降低成本、提高經濟效益,在不同頻段,控製波導管表麵粗糙度的要求是不同的。頻率越高,波長越小,粗糙度值要求也越低。表3為實際工作中總結出的銅、黃銅、鍍銀波導在不同頻率時的粗糙度要求,可作為設計時的依據。

波導管安裝誤差與電性能的關係
zaiyouxuduobodaoyuanjianzuchengdexitongzhong,chuzaibodaozhongcharubujunyunxingyuanjianhuiyinqibodefanshewai,liangyuanjianlianjiechuchanshengdebulianxuxingyehuiyinqibodefanshe,yizhijiangdichuanshuxiaolv。
微波元件在安裝過程中容易出現的問題有以下幾種[2]:
(1)波導口徑不一致,如圖1(a)所示。
(2)波導口徑一致,但中心不同軸,如圖1(b)所示。
(3)波導口徑一致,但中心線不平行,存在夾角θ,如圖1(c)所示。
以23mm×10mm的波導為例,在f=10GHz時不同類型的安裝誤差所引起的駐波比見表4-表7。




對表4~表7的數據分析可知,波導口徑誤差所致的駐波係數比波導口徑一致而因連接錯位所引起的駐波係數要大;偏角對H麵駐波係數的影響比對E麵駐波係數的影響更顯著。因此微波元件在加工過程中要盡量保證口徑一致、端麵法蘭與元件軸心線盡量垂直,使夾角θ≤0.2°,在(zai)安(an)裝(zhuang)過(guo)程(cheng)中(zhong)通(tong)過(guo)使(shi)用(yong)定(ding)位(wei)銷(xiao)或(huo)其(qi)他(ta)的(de)工(gong)藝(yi)方(fang)法(fa)盡(jin)量(liang)使(shi)口(kou)徑(jing)同(tong)軸(zhou),這(zhe)樣(yang)才(cai)能(neng)有(you)效(xiao)地(di)減(jian)小(xiao)元(yuan)件(jian)的(de)駐(zhu)波(bo),從(cong)而(er)降(jiang)低(di)電(dian)磁(ci)波(bo)在(zai)元(yuan)件(jian)中(zhong)傳(chuan)輸(shu)時(shi)的(de)損(sun)耗(hao)。
通過對微波元件材料特性、表麵質量、加jia工gong和he安an裝zhuang精jing度du對dui電dian性xing能neng的de影ying響xiang的de對dui比bi分fen析xi,找zhao出chu了le可ke用yong於yu指zhi導dao生sheng產chan的de數shu值zhi依yi據ju和he方fang法fa,在zai實shi際ji工gong作zuo中zhong能neng夠gou有you的de放fang矢shi,對dui避bi免mian一yi些xie不bu必bi要yao的de失shi誤wu、減少重複勞動有不可忽視的作用。
- 微波元件基體材料與衰減的關係
- 波導內表麵粗糙度和衰減量的關係
- 波導管安裝誤差與電性能的關係
- 選用導電性能好的原材料
- 采用熱處理方法,這樣能獲得較好的電磁波傳輸性能
近幾年來由於星載天線、大功率雷達的工作頻率越來越高,頻帶越來越寬,發射功率越來越大,使饋線係統的結構形式變得越來越複雜,現有的設計觀念、生產能力已製約了產品性能的提高。
對大功率容量的雷達而言,由於其功率大,饋線係統中重要微波元件的尺寸誤差、表麵粗糙度、anzhuangjingduduizhenggexitongdegonglvrongliangyingxiangyefeichangda。ruochengxingdeweiboyuanjianchuxianzhiliangwenti,shejizhehennantongguodiantiaodeyibujiu。yinci,lejiegezhongwuchaduixitongdianxingnengdeyingxiang,zaishejizhongnengyufangwuchadechansheng,zaijiagongzhongnengtongguohelidegongyifangfaxiaochugezhongzhizaowucha,zheduibaozhengweiboyuanjiandedianxingnenghetigaoxitongdegonglvrongliangyouweizhongyao。
波的傳輸特性
在任何情況下,波在傳輸過程中均有損耗及反射。主要原因在於傳輸途中有各種各樣的障礙物,如波導的不規則變形、波導材料的突變、各個波導元件之間口徑尺寸不一致、接頭處波導口不同軸、多duo次ci的de連lian接jie等deng。反fan射she波bo不bu但dan不bu能neng保bao證zheng電dian磁ci波bo的de傳chuan輸shu,而er且qie駐zhu波bo波bo腹fu處chu會hui在zai大da功gong率lv工gong作zuo中zhong導dao致zhi係xi統tong的de電dian擊ji穿chuan。因yin此ci元yuan器qi件jian尺chi寸cun越yue精jing確que,法fa蘭lan電dian接jie觸chu越yue好hao,損sun耗hao和he反fan射she波bo就jiu越yue少shao。在zai設she計ji和he製zhi造zao中zhong應ying該gai盡jin可ke能neng避bi免mian波bo導dao的de不bu規gui則ze變bian形xing,保bao證zheng尺chi寸cun的de精jing確que度du,同tong時shi還hai要yao有you相xiang應ying的de加jia工gong工gong藝yi和he檢jian驗yan技ji術shu,確que保bao高gao頻pin導dao電dian層ceng的de良liang好hao導dao電dian性xing、平坦性及連接處的準確性,以滿足電氣設計要求。
微波元件基體材料與衰減的關係
即(ji)使(shi)是(shi)理(li)想(xiang)光(guang)滑(hua)的(de)波(bo)導(dao),其(qi)基(ji)體(ti)材(cai)料(liao)的(de)導(dao)電(dian)率(lv)也(ye)不(bu)大(da)。如(ru)果(guo)給(gei)理(li)想(xiang)光(guang)滑(hua)的(de)波(bo)導(dao)內(nei)腔(qiang)電(dian)鍍(du)純(chun)銀(yin)或(huo)純(chun)銅(tong),可(ke)以(yi)提(ti)高(gao)高(gao)頻(pin)導(dao)電(dian)層(ceng)的(de)導(dao)電(dian)率(lv),從(cong)而(er)使(shi)波(bo)導(dao)衰(shuai)減(jian)降(jiang)低(di)。表(biao)1是金屬和合金在20℃,f=10GHz時的衰減量(波導口徑為23mm×10mm)。

從表1的數據可看出,導電性能良好的鋁、銅、銀yin等deng材cai料liao在zai傳chuan輸shu電dian磁ci波bo時shi損sun耗hao較jiao小xiao。同tong種zhong材cai料liao退tui火huo去qu除chu應ying力li有you利li於yu恢hui複fu金jin屬shu導dao電dian結jie構gou,使shi其qi導dao電dian率lv增zeng加jia,波bo導dao衰shuai減jian減jian少shao。在zai實shi際ji工gong作zuo中zhong,為wei了le取qu得de良liang好hao的de經jing濟ji效xiao益yi,應ying盡jin量liang采cai用yong熱re處chu理li方fang法fa,這zhe樣yang能neng獲huo得de較jiao好hao的de電dian磁ci波bo傳chuan輸shu性xing能neng。
波導內表麵粗糙度和衰減量的關係
波導表麵粗糙時的衰減量與理想光滑時的衰減量α的比值為:

式中KT1,KT2,Kp分別為波導a,b邊的表麵粗糙因子。
由Benson和AILison對各種不同工藝加工的口徑為25.4mm×12.7mm銅波導管,測出KT1,KT2,Kp之後,據上式算出的α′/α之值見表2[1]。[page]

對表2數據的分析可知:
(1)精密拉製成型的波導管性能較好。
(2)電拋光比化學拋光效果好,能獲得較優越的電氣性能。
(3)光亮鍍銅的效果最佳。
波導表麵粗糙度越低,加工難度越大,製造成本也越高。為了降低成本、提高經濟效益,在不同頻段,控製波導管表麵粗糙度的要求是不同的。頻率越高,波長越小,粗糙度值要求也越低。表3為實際工作中總結出的銅、黃銅、鍍銀波導在不同頻率時的粗糙度要求,可作為設計時的依據。

波導管安裝誤差與電性能的關係
zaiyouxuduobodaoyuanjianzuchengdexitongzhong,chuzaibodaozhongcharubujunyunxingyuanjianhuiyinqibodefanshewai,liangyuanjianlianjiechuchanshengdebulianxuxingyehuiyinqibodefanshe,yizhijiangdichuanshuxiaolv。
微波元件在安裝過程中容易出現的問題有以下幾種[2]:
(1)波導口徑不一致,如圖1(a)所示。
(2)波導口徑一致,但中心不同軸,如圖1(b)所示。
(3)波導口徑一致,但中心線不平行,存在夾角θ,如圖1(c)所示。
以23mm×10mm的波導為例,在f=10GHz時不同類型的安裝誤差所引起的駐波比見表4-表7。




對表4~表7的數據分析可知,波導口徑誤差所致的駐波係數比波導口徑一致而因連接錯位所引起的駐波係數要大;偏角對H麵駐波係數的影響比對E麵駐波係數的影響更顯著。因此微波元件在加工過程中要盡量保證口徑一致、端麵法蘭與元件軸心線盡量垂直,使夾角θ≤0.2°,在(zai)安(an)裝(zhuang)過(guo)程(cheng)中(zhong)通(tong)過(guo)使(shi)用(yong)定(ding)位(wei)銷(xiao)或(huo)其(qi)他(ta)的(de)工(gong)藝(yi)方(fang)法(fa)盡(jin)量(liang)使(shi)口(kou)徑(jing)同(tong)軸(zhou),這(zhe)樣(yang)才(cai)能(neng)有(you)效(xiao)地(di)減(jian)小(xiao)元(yuan)件(jian)的(de)駐(zhu)波(bo),從(cong)而(er)降(jiang)低(di)電(dian)磁(ci)波(bo)在(zai)元(yuan)件(jian)中(zhong)傳(chuan)輸(shu)時(shi)的(de)損(sun)耗(hao)。
通過對微波元件材料特性、表麵質量、加jia工gong和he安an裝zhuang精jing度du對dui電dian性xing能neng的de影ying響xiang的de對dui比bi分fen析xi,找zhao出chu了le可ke用yong於yu指zhi導dao生sheng產chan的de數shu值zhi依yi據ju和he方fang法fa,在zai實shi際ji工gong作zuo中zhong能neng夠gou有you的de放fang矢shi,對dui避bi免mian一yi些xie不bu必bi要yao的de失shi誤wu、減少重複勞動有不可忽視的作用。
特別推薦
- 噪聲中提取真值!瑞盟科技推出MSA2240電流檢測芯片賦能多元高端測量場景
- 10MHz高頻運行!氮矽科技發布集成驅動GaN芯片,助力電源能效再攀新高
- 失真度僅0.002%!力芯微推出超低內阻、超低失真4PST模擬開關
- 一“芯”雙電!聖邦微電子發布雙輸出電源芯片,簡化AFE與音頻設計
- 一機適配萬端:金升陽推出1200W可編程電源,賦能高端裝備製造
技術文章更多>>
- 2026藍牙亞洲大會暨展覽在深啟幕
- 維智捷發布中國願景
- 2秒啟動係統 • 資源受限下HMI最優解,米爾RK3506開發板× LVGL Demo演示
- H橋降壓-升壓電路中的交替控製與帶寬優化
- Tektronix 助力二維材料器件與芯片研究與創新
技術白皮書下載更多>>
- 車規與基於V2X的車輛協同主動避撞技術展望
- 數字隔離助力新能源汽車安全隔離的新挑戰
- 汽車模塊拋負載的解決方案
- 車用連接器的安全創新應用
- Melexis Actuators Business Unit
- Position / Current Sensors - Triaxis Hall
熱門搜索
接口IC
介質電容
介質諧振器
金屬膜電阻
晶體濾波器
晶體諧振器
晶體振蕩器
晶閘管
精密電阻
精密工具
景佑能源
聚合物電容
君耀電子
開發工具
開關
開關電源
開關電源電路
開關二極管
開關三極管
科通
可變電容
可調電感
可控矽
空心線圈
控製變壓器
控製模塊
藍牙
藍牙4.0
藍牙模塊
浪湧保護器



