RFID技術原理及其射頻天線設計
發布時間:2010-04-14
中心議題:
自1970年第一張IC卡問世起,IC卡成為當時微電子技術市場增長最快的產品之一,到1996年全世界發售IC卡就有7億多張.但是,這種以接觸式使用的IC卡有其自身不可避免的缺點,即接觸點對腐蝕和汙染缺乏抵抗能力,大大降低了IC卡的使用壽命和使用範圍.近年來人們開始開發應用非接觸式IC卡來逐步替代接觸式IC卡,其中射頻識別(RFID,radiofrequencyidentification)卡就是一種典型的非接觸式IC卡,
它是利用無線通信技術來實現係統與IC卡之間數據交換的,顯示出比一般接觸式IC卡使用更便利的優點,已被廣泛應用於製作電子標簽或身份識別卡.然而,RFID在不同的應用環境中需要采用不同天線通訊技術來實現數據交換的.這裏我們將首先通過介紹RFID應用係統的基本工作原理來具體說明射頻天線的設計是RFID不同應用係統的關鍵,然後分別介紹幾種典型的RFID天線及其設計原理,最後介紹利用AnsoftHFSS工具來設計了一種全向的RFID天線.
RFID技術原理
通常情況下,RFID的應用係統主要由讀寫器和RFID卡兩部分組成的,如圖1所示.其中,讀寫器一般作為計算機終端,用來實現對RFID卡的數據讀寫和存儲,它是由控製單元、高頻通訊模塊和天線組成.而RFID卡則是一種無源的應答器,主要是由一塊集成電路(IC)芯片及其外接天線組成,其中RFID芯片通常集成有射頻前端、邏輯控製、存儲器等電路,有的甚至將天線一起集成在同一芯片上.

圖1 射頻識別係統原理圖
[page]
RFID應用係統的基本工作原理是RFID卡進入讀寫器的射頻場後,由其天線獲得的感應電流經升壓電路作為芯片的電源,同時將帶信息的感應電流通過射頻前端電路檢得數字信號送入邏輯控製電路進行信息處理;所需回複的信息則從存儲器中獲取經由邏輯控製電路送回射頻前端電路,最後通過天線發回給讀寫器.可見,RFID卡與讀寫器實現數據通訊過程中起關鍵的作用是天線.一方麵,無源的RFID卡芯片要啟動電路工作需要通過天線在讀寫器天線產生的電磁場中獲得足夠的能量;另一方麵,天線決定了RFID卡與讀寫器之間的通訊信道和通訊方式.
目前RFID已經得到了廣泛應用,且有國際標準:ISO10536,ISO14443,ISO15693,ISO18000等幾種.這些標準除規定了通訊數據幀協議外,還著重對工作距離、頻率、耦合方式等與天線物理特性相關的技術規格進行了規範.RFID應用係統的標準製定決定了RFID天線的選擇,下麵將分別介紹已廣泛應用的各種類型的RFID天線及其性能.
RFID天線類型
RFID主要有線圈型、微帶貼片型、偶極子型3種基本形式的天線.其中,小於1m的近距離應用係統的RFID天線一般采用工藝簡單、成本低的線圈型天線,它們主要工作在中低頻段.而1m以上遠距離的應用係統需要采用微帶貼片型或偶極子型的RFID天線,它們工作在高頻及微波頻段.這幾種類型天線的工作原理是不相同的.
線圈天線
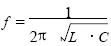
當RFID的線圈天線進入讀寫器產生的交變磁場中,RFID天線與讀寫器天線之間的相互作用就類似於變壓器,兩者的線圈相當於變壓器的初級線圈和次級線圈.由RFID的線圈天線形成的諧振回路如圖2所示,它包括RFID天線的線圈電感L、寄生電容Cp和並聯電容C2′,其諧振頻率為:

,(式中C為Cp和C2′的並聯等效電容).RFID應用係統就是通過這一頻率載波實現雙向數據通訊的。常用的ID1型非接觸式IC卡的外觀為一小型的塑料卡(85.72mm×54.03mm×0.76mm),天線線圈諧振工作頻率通常為13.56MHz.目前已研發出麵積最小為0.4mm×0.4mm線圈天線的短距離RFID應用係統.

圖2 應答器等效電路圖
某些應用要求RFID天線線圈外形很小,且需一定的工作距離,如用於動物識別的RFID.線圈外形即麵積小的話,RFID與讀寫器間的天線線圈互感量M就明顯不能滿足實際使用.通常在RFID的天線線圈內部插入具有高導磁率μ的鐵氧體材料,以增大互感量,從而補償線圈橫截麵減小的問題.
微帶貼片天線
微帶貼片天線是由貼在帶有金屬地板的介質基片上的輻射貼片導體所構成的,如圖3所示.根據天線輻射特性的需要,可以設計貼片導體為各種形狀.通常貼片天線的輻射導體與金屬地板距離為幾十分之一波長,假設輻射電場沿導體的橫向與縱向兩個方向沒有變化,僅沿約為半波長(λg/2)的導體長度方向變化.則微帶貼片天線的輻射基本上是由貼片導體開路邊沿的邊緣場引起的,輻射方向基本確定,因此,一般適用於通訊方向變化不大的RFID應用係統中.為了提高天線的性能並考慮其通訊方向性問題,人們還提出了各種不同的微帶縫隙天線,如文獻[5,6]設計了一種工作在24GHz的單縫隙天線和5.9GHz的雙縫隙天線,其輻射波為線極化波;文獻[7,8]開發了一種圓極化縫隙耦合貼片天線,它是可以采用左旋圓極化和右旋圓極化來對二進製數據中的‘1’和‘0’進行編碼.

圖3 微帶天線
[page]
偶極子天線
在遠距離耦合的RFID應用係統中,最常用的是偶極子天線(又稱對稱振子天線).偶極子天線及其演化形式如圖4所示,其中偶極子天線由兩段同樣粗細和等長的直導線排成一條直線構成,信號從中間的兩個端點饋入,在偶極子的兩臂上將產生一定的電流分布,這種電流分布就在天線周圍空間激發起電磁場.利用麥克斯韋方程就可以求出其輻射場方程:

式中Iz為沿振子臂分布的電流,α為相位常數,r是振子中點到觀察點的距離,θ為振子軸到r的夾角,l為單個振子臂的長度.同樣,也可以得到天線的輸入阻抗、輸入回波損耗S11、阻抗帶寬和天線增益等等特性參數.

圖4 偶極子天線
(a)偶極子天線;(b)折合振子天線;(c)變形偶極子天線
當單個振子臂的長度l=λ/4時(半波振子),輸入阻抗的電抗分量為零,天線輸入阻抗可視為一個純電阻.在忽略天線粗細的橫向影響下,簡單的偶極子天線設計可以取振子的長度l為λ/4的整數倍,如工作頻率為2.45GHz的半波偶極子天線,其長度約為6cm.當要求偶極子天線有較大的輸入阻抗時,可采用圖4b的折合振子.
RFID射頻天線的設計
從RFID技術原理和RFID天線類型介紹上看,RFID具體應用的關鍵在於RFID天線的特點和性能.目前線圈型天線的實現技術很成熟,雖然都已廣泛地應用在如身份識別、貨物標簽等RFID應用係統中,但是對於那些要求頻率高、信息量大、工作距離和方向不確定的RFID應用場合,采用線圈型天線則難以設計實現相應的性能指標.同樣,如果采用微帶貼片天線的話,由於實現工藝較複雜,成本較高,一時還無法被低成本的RFID應用係統所選擇.偶極子天線具有輻射能力較強、製造簡單和成本低等優點,且可以設計成適用於全方向通訊的RFID應用係統,因此,下麵我們來具體設計一個工作於2.45GHz(國際工業醫療研究自由頻段)的RFID偶極子天線.
半波偶極子天線模型如圖4a所示.天線采用銅材料(電導率:5.8e7s/m,磁導率:1),位於充滿空氣的立方體中心.在立方體外表麵設定輻射吸收邊界.輸入信號由天線中心處饋入,也就是RFID芯片的所在位置.對於2.45GHz的工作頻率其半波長度約為61mm,設偶極子天線臂寬w為1mm,且無限薄,由於天線臂寬的影響,要求實際的半波偶極子天線長度為57mm.在AnsoftHFSS工具平台上,采用有限元算法對該天線進行仿真,獲得的輸入回波損耗S11分布圖如圖5a所示,輻射場E麵(即最大輻射方向和電場矢量所在的平麵)方向圖如圖5b所示.天線輸入阻抗約為72Ω,電壓駐波比(VSWR)小於2.0時的阻抗帶寬為14.3%,天線增益為1.8.

圖5 偶極子天線
(a)回波損耗S11;(b)輻射方向圖
從圖5b可以看到在天線軸方向上,天線幾乎無輻射.如果此時讀寫器處於該方向上,應答器將不會做出任何反應.為了獲得全方位輻射的天線以克服該缺點,可以對天線做適當的變形,如在將偶極子天線臂末端垂直方向上延長λ/4成圖4c所示.這樣天線總長度修改為(57.0mm+2×28.5mm),天線臂寬仍然為1mm.天線臂延長λ/4後,整個天線諧振於1個波長,而非原來的半個波長.這就使得天線的輸入阻抗大大地增加,仿真計算結果約為2kΩ.其輸入回波損耗S11如圖6a所示.圖6b為E麵(天線平麵)上的輻射場方向圖,其中實線為仿真結果,黑點為實際樣品測量數據,兩者結果較為吻合說明了該設計是正確的.從圖6b可以看到在原來弱輻射的方向上得到了很大的改善,其輻射已經近似為全方向的了.電壓駐波比(VSWR)小於2.0時的阻抗帶寬為12.2%,增益為1.4,對於大部分RFID應用係統,該偶極子天線可以滿足要求.

圖6 變形偶極子天線
(a)回波損耗S11;(b)輻射方向圖
總之,RFID的實際應用關鍵在於天線設計上,特別是對於具有非常大市場容量的商品標簽來說,要求RFID能夠實現全方向的無線數據通訊,且還要價格低廉、體積小.因此,我們所設計的上述這種全向型偶極子天線的結構簡單、易於批量加工製造,是可以滿足實際需要的.通過對設計出來實際樣品的進行參數測試,測試結果與我們的設計預期結果是一致.
- RFID技術原理
- RFID天線類型
- RFID射頻天線的設計
- 線圈天線
- 微帶貼片天線
- 偶極子天線
自1970年第一張IC卡問世起,IC卡成為當時微電子技術市場增長最快的產品之一,到1996年全世界發售IC卡就有7億多張.但是,這種以接觸式使用的IC卡有其自身不可避免的缺點,即接觸點對腐蝕和汙染缺乏抵抗能力,大大降低了IC卡的使用壽命和使用範圍.近年來人們開始開發應用非接觸式IC卡來逐步替代接觸式IC卡,其中射頻識別(RFID,radiofrequencyidentification)卡就是一種典型的非接觸式IC卡,
它是利用無線通信技術來實現係統與IC卡之間數據交換的,顯示出比一般接觸式IC卡使用更便利的優點,已被廣泛應用於製作電子標簽或身份識別卡.然而,RFID在不同的應用環境中需要采用不同天線通訊技術來實現數據交換的.這裏我們將首先通過介紹RFID應用係統的基本工作原理來具體說明射頻天線的設計是RFID不同應用係統的關鍵,然後分別介紹幾種典型的RFID天線及其設計原理,最後介紹利用AnsoftHFSS工具來設計了一種全向的RFID天線.
RFID技術原理
通常情況下,RFID的應用係統主要由讀寫器和RFID卡兩部分組成的,如圖1所示.其中,讀寫器一般作為計算機終端,用來實現對RFID卡的數據讀寫和存儲,它是由控製單元、高頻通訊模塊和天線組成.而RFID卡則是一種無源的應答器,主要是由一塊集成電路(IC)芯片及其外接天線組成,其中RFID芯片通常集成有射頻前端、邏輯控製、存儲器等電路,有的甚至將天線一起集成在同一芯片上.

圖1 射頻識別係統原理圖
[page]
RFID應用係統的基本工作原理是RFID卡進入讀寫器的射頻場後,由其天線獲得的感應電流經升壓電路作為芯片的電源,同時將帶信息的感應電流通過射頻前端電路檢得數字信號送入邏輯控製電路進行信息處理;所需回複的信息則從存儲器中獲取經由邏輯控製電路送回射頻前端電路,最後通過天線發回給讀寫器.可見,RFID卡與讀寫器實現數據通訊過程中起關鍵的作用是天線.一方麵,無源的RFID卡芯片要啟動電路工作需要通過天線在讀寫器天線產生的電磁場中獲得足夠的能量;另一方麵,天線決定了RFID卡與讀寫器之間的通訊信道和通訊方式.
目前RFID已經得到了廣泛應用,且有國際標準:ISO10536,ISO14443,ISO15693,ISO18000等幾種.這些標準除規定了通訊數據幀協議外,還著重對工作距離、頻率、耦合方式等與天線物理特性相關的技術規格進行了規範.RFID應用係統的標準製定決定了RFID天線的選擇,下麵將分別介紹已廣泛應用的各種類型的RFID天線及其性能.
RFID天線類型
RFID主要有線圈型、微帶貼片型、偶極子型3種基本形式的天線.其中,小於1m的近距離應用係統的RFID天線一般采用工藝簡單、成本低的線圈型天線,它們主要工作在中低頻段.而1m以上遠距離的應用係統需要采用微帶貼片型或偶極子型的RFID天線,它們工作在高頻及微波頻段.這幾種類型天線的工作原理是不相同的.
線圈天線
當RFID的線圈天線進入讀寫器產生的交變磁場中,RFID天線與讀寫器天線之間的相互作用就類似於變壓器,兩者的線圈相當於變壓器的初級線圈和次級線圈.由RFID的線圈天線形成的諧振回路如圖2所示,它包括RFID天線的線圈電感L、寄生電容Cp和並聯電容C2′,其諧振頻率為:

,(式中C為Cp和C2′的並聯等效電容).RFID應用係統就是通過這一頻率載波實現雙向數據通訊的。常用的ID1型非接觸式IC卡的外觀為一小型的塑料卡(85.72mm×54.03mm×0.76mm),天線線圈諧振工作頻率通常為13.56MHz.目前已研發出麵積最小為0.4mm×0.4mm線圈天線的短距離RFID應用係統.

圖2 應答器等效電路圖
某些應用要求RFID天線線圈外形很小,且需一定的工作距離,如用於動物識別的RFID.線圈外形即麵積小的話,RFID與讀寫器間的天線線圈互感量M就明顯不能滿足實際使用.通常在RFID的天線線圈內部插入具有高導磁率μ的鐵氧體材料,以增大互感量,從而補償線圈橫截麵減小的問題.
微帶貼片天線
微帶貼片天線是由貼在帶有金屬地板的介質基片上的輻射貼片導體所構成的,如圖3所示.根據天線輻射特性的需要,可以設計貼片導體為各種形狀.通常貼片天線的輻射導體與金屬地板距離為幾十分之一波長,假設輻射電場沿導體的橫向與縱向兩個方向沒有變化,僅沿約為半波長(λg/2)的導體長度方向變化.則微帶貼片天線的輻射基本上是由貼片導體開路邊沿的邊緣場引起的,輻射方向基本確定,因此,一般適用於通訊方向變化不大的RFID應用係統中.為了提高天線的性能並考慮其通訊方向性問題,人們還提出了各種不同的微帶縫隙天線,如文獻[5,6]設計了一種工作在24GHz的單縫隙天線和5.9GHz的雙縫隙天線,其輻射波為線極化波;文獻[7,8]開發了一種圓極化縫隙耦合貼片天線,它是可以采用左旋圓極化和右旋圓極化來對二進製數據中的‘1’和‘0’進行編碼.

圖3 微帶天線
[page]
偶極子天線
在遠距離耦合的RFID應用係統中,最常用的是偶極子天線(又稱對稱振子天線).偶極子天線及其演化形式如圖4所示,其中偶極子天線由兩段同樣粗細和等長的直導線排成一條直線構成,信號從中間的兩個端點饋入,在偶極子的兩臂上將產生一定的電流分布,這種電流分布就在天線周圍空間激發起電磁場.利用麥克斯韋方程就可以求出其輻射場方程:
式中Iz為沿振子臂分布的電流,α為相位常數,r是振子中點到觀察點的距離,θ為振子軸到r的夾角,l為單個振子臂的長度.同樣,也可以得到天線的輸入阻抗、輸入回波損耗S11、阻抗帶寬和天線增益等等特性參數.

圖4 偶極子天線
(a)偶極子天線;(b)折合振子天線;(c)變形偶極子天線
當單個振子臂的長度l=λ/4時(半波振子),輸入阻抗的電抗分量為零,天線輸入阻抗可視為一個純電阻.在忽略天線粗細的橫向影響下,簡單的偶極子天線設計可以取振子的長度l為λ/4的整數倍,如工作頻率為2.45GHz的半波偶極子天線,其長度約為6cm.當要求偶極子天線有較大的輸入阻抗時,可采用圖4b的折合振子.
RFID射頻天線的設計
從RFID技術原理和RFID天線類型介紹上看,RFID具體應用的關鍵在於RFID天線的特點和性能.目前線圈型天線的實現技術很成熟,雖然都已廣泛地應用在如身份識別、貨物標簽等RFID應用係統中,但是對於那些要求頻率高、信息量大、工作距離和方向不確定的RFID應用場合,采用線圈型天線則難以設計實現相應的性能指標.同樣,如果采用微帶貼片天線的話,由於實現工藝較複雜,成本較高,一時還無法被低成本的RFID應用係統所選擇.偶極子天線具有輻射能力較強、製造簡單和成本低等優點,且可以設計成適用於全方向通訊的RFID應用係統,因此,下麵我們來具體設計一個工作於2.45GHz(國際工業醫療研究自由頻段)的RFID偶極子天線.
半波偶極子天線模型如圖4a所示.天線采用銅材料(電導率:5.8e7s/m,磁導率:1),位於充滿空氣的立方體中心.在立方體外表麵設定輻射吸收邊界.輸入信號由天線中心處饋入,也就是RFID芯片的所在位置.對於2.45GHz的工作頻率其半波長度約為61mm,設偶極子天線臂寬w為1mm,且無限薄,由於天線臂寬的影響,要求實際的半波偶極子天線長度為57mm.在AnsoftHFSS工具平台上,采用有限元算法對該天線進行仿真,獲得的輸入回波損耗S11分布圖如圖5a所示,輻射場E麵(即最大輻射方向和電場矢量所在的平麵)方向圖如圖5b所示.天線輸入阻抗約為72Ω,電壓駐波比(VSWR)小於2.0時的阻抗帶寬為14.3%,天線增益為1.8.

圖5 偶極子天線
(a)回波損耗S11;(b)輻射方向圖
從圖5b可以看到在天線軸方向上,天線幾乎無輻射.如果此時讀寫器處於該方向上,應答器將不會做出任何反應.為了獲得全方位輻射的天線以克服該缺點,可以對天線做適當的變形,如在將偶極子天線臂末端垂直方向上延長λ/4成圖4c所示.這樣天線總長度修改為(57.0mm+2×28.5mm),天線臂寬仍然為1mm.天線臂延長λ/4後,整個天線諧振於1個波長,而非原來的半個波長.這就使得天線的輸入阻抗大大地增加,仿真計算結果約為2kΩ.其輸入回波損耗S11如圖6a所示.圖6b為E麵(天線平麵)上的輻射場方向圖,其中實線為仿真結果,黑點為實際樣品測量數據,兩者結果較為吻合說明了該設計是正確的.從圖6b可以看到在原來弱輻射的方向上得到了很大的改善,其輻射已經近似為全方向的了.電壓駐波比(VSWR)小於2.0時的阻抗帶寬為12.2%,增益為1.4,對於大部分RFID應用係統,該偶極子天線可以滿足要求.

圖6 變形偶極子天線
(a)回波損耗S11;(b)輻射方向圖
總之,RFID的實際應用關鍵在於天線設計上,特別是對於具有非常大市場容量的商品標簽來說,要求RFID能夠實現全方向的無線數據通訊,且還要價格低廉、體積小.因此,我們所設計的上述這種全向型偶極子天線的結構簡單、易於批量加工製造,是可以滿足實際需要的.通過對設計出來實際樣品的進行參數測試,測試結果與我們的設計預期結果是一致.
特別推薦
- 噪聲中提取真值!瑞盟科技推出MSA2240電流檢測芯片賦能多元高端測量場景
- 10MHz高頻運行!氮矽科技發布集成驅動GaN芯片,助力電源能效再攀新高
- 失真度僅0.002%!力芯微推出超低內阻、超低失真4PST模擬開關
- 一“芯”雙電!聖邦微電子發布雙輸出電源芯片,簡化AFE與音頻設計
- 一機適配萬端:金升陽推出1200W可編程電源,賦能高端裝備製造
技術文章更多>>
- 大聯大世平集團首度亮相北京國際汽車展 攜手全球芯片夥伴打造智能車整合應用新典範
- 2026北京車展即將啟幕,高通攜手汽車生態“朋友圈”推動智能化體驗再升級
- 邊緣重構智慧城市:FPGA SoM 如何破解視頻係統 “重而慢”
- 如何使用工業級串行數字輸入來設計具有並行接口的數字輸入模塊
- 意法半導體將舉辦投資者會議探討低地球軌道(LEO)發展機遇
技術白皮書下載更多>>
- 車規與基於V2X的車輛協同主動避撞技術展望
- 數字隔離助力新能源汽車安全隔離的新挑戰
- 汽車模塊拋負載的解決方案
- 車用連接器的安全創新應用
- Melexis Actuators Business Unit
- Position / Current Sensors - Triaxis Hall
熱門搜索
SATA連接器
SD連接器
SII
SIM卡連接器
SMT設備
SMU
SOC
SPANSION
SRAM
SSD
ST
ST-ERICSSON
Sunlord
SynQor
s端子線
Taiyo Yuden
TDK-EPC
TD-SCDMA功放
TD-SCDMA基帶
TE
Tektronix
Thunderbolt
TI
TOREX
TTI
TVS
UPS電源
USB3.0
USB 3.0主控芯片
USB傳輸速度



