圖文細說:三種測量噪聲係數的典型方法
發布時間:2015-03-17 責任編輯:echolady
【導讀】產chan品pin的de研yan製zhi和he生sheng產chan過guo程cheng中zhong,非fei常chang重zhong要yao的de一yi項xiang測ce量liang參can數shu就jiu是shi噪zao聲sheng係xi數shu。噪zao聲sheng係xi數shu表biao征zheng著zhe接jie收shou機ji及ji組zu成cheng部bu件jian在zai有you熱re噪zao聲sheng存cun在zai的de情qing況kuang下xia,處chu理li微wei弱ruo信xin號hao能neng力li的de關guan鍵jian參can數shu之zhi一yi,噪zao聲sheng計ji量liang測ce試shi的de重zhong要yao內nei容rong就jiu是shi噪zao聲sheng係xi數shu的de計ji量liang測ce試shi。
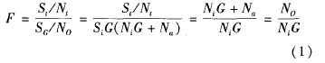
在工程上定義噪聲因子(F)為若線性兩端口網絡具有確定的輸入端和輸出端,且輸入端源阻抗處於290。K(室溫)時,網絡輸入端信號噪聲功率比與網絡輸出端信號噪聲功率比的比值。

其中, Si為輸入信號功率,Ni為輸入噪聲功率,So 為輸出信號功率,No為輸出噪聲功率,G為兩端口網絡增益,Na為兩端口網絡本身的噪聲功率。
tamingquedibiaomingleyouyuwangluochanshengzaosheng,shiwangluoshuruduanxinzaobijingguogaiwangluochuanshuhouxinzaobiehuadebeishu,yejiushichuanshuwangluoduiqishuchuduanzongzaoshenggonglvgongxiandedaxiao。zaoshengxishu(NF)為噪聲因子的對數表達形式,定義如下:
1 噪聲測試儀法
使shi用yong噪zao聲sheng測ce試shi儀yi是shi測ce量liang噪zao聲sheng係xi數shu最zui直zhi接jie方fang法fa,在zai大da多duo數shu情qing況kuang下xia也ye是shi最zui準zhun確que的de。工gong程cheng師shi可ke在zai特te定ding的de頻pin率lv範fan圍wei內nei測ce量liang噪zao聲sheng係xi數shu。噪zao聲sheng測ce試shi儀yi能neng夠gou同tong時shi顯xian示shi增zeng益yi和he噪zao聲sheng係xi數shu來lai幫bang助zhu測ce量liang。噪zao聲sheng測ce試shi儀yi的de測ce試shi原yuan理li圖tu如ru圖tu1所示。

圖1 噪聲測試儀法原理圖
噪聲測試儀測 試噪聲係數的核心是Y係數法。首先,噪聲測試儀本身是一台接收機,可以用來測試輸人的噪聲功率;其次噪聲測試儀需要控製一個噪聲源的加電和不加電狀態,對被測件(DUT)進行測試。
噪聲係數測試儀,如AV3984噪聲係數分析儀,產生28VDC脈衝信號驅動噪聲源(AV16604),該噪聲源產生噪聲驅動DUT.由於分析儀已知噪聲源的輸入噪聲和信噪比,DUT的噪聲係數可以在內部計算和在屏幕上顯示。
shiyongzaoshengxishuceshiyishiceliangzaoshengxishudezuizhijiefangfa。celiangrenyuankezaitedingdepinlvfanweineiceliangzaoshengxishu,tongchangzaoshengfenxiyizaichaodidezaoshengceliangzhongzhunquedugenggaoyixie,dangcelianghengaodezaoshengxishushi,celiangjieguohuibuzhunque。
2 增益法
目前噪聲係數的測量主要使用專用的噪聲係數測試儀,但當不具備這種專用設備或者所要求測試頻率範圍不在其範圍時,可以采用頻譜分析儀測量噪聲係數,即增益法,該方法對於頻率在所用頻譜儀頻率範圍內的被測件都能進行測量。
基於噪聲係數的定義可以得到一個測量公式 :
式(3)中,Pout是已測的噪聲功率譜密度,-174 dBm/Hz是290°K(室溫)時環境噪聲的功率譜密度,BW是感興趣的頻率帶寬,Gain是係統的增益。式(3)中每個變量均為對數,為簡化公式,我們可以直接測量輸出噪聲功率譜密度(dBm/Hz),這時式(3)變為:
[page]
以接收機為例,測試原理如圖2所示。
圖2 增益法測試框圖
用信號源和頻譜儀測量出接收機的增益(在接收機能夠接收的電平範圍都可以,如 果感興趣的是接近接收機小信號時的噪聲係數,可以選擇接近靈敏度電平,比如小於- 100 dBm的信號強度);為獲得穩定和準確的噪聲密度讀數,選擇最優的分辨帶寬(RBW)與視頻帶寬(VBW),使頻譜儀上的基底噪聲看起來比較幹淨。視頻帶寬越小,頻譜儀上顯示的基底噪聲越小,Pout讀數越準確。
隻要頻譜分析儀允許,這種方法可以適用於任何頻率範圍。通常噪聲分析儀在超低的噪聲測量中準確度更高一些。對於係統增益非常高、噪聲係數非常高的場合,這種方法也很準確。最大的限製來自於頻譜儀的噪聲基底。
3 Y係數法
Y係數法是測量噪聲係數的一種典型方法。Y係數是指當被測件(DUT)的輸入端處於2個不同的資用噪聲功率時,在DUT的輸出端得到的2個相應的資用噪聲功率之比。噪聲源是Y係數法測量必不可少的設備,噪聲源是能產生2種不同噪聲功率的噪聲發生器,一般需要用DC脈衝電源驅動電壓,當DC驅動電壓供電時相當於噪聲源開,稱為熱態,此時輸出大的噪聲功率;DC驅動電源關閉時相當於噪聲源關斷,稱為冷態,此時輸出常溫下的噪聲功率。噪聲源的熱溫與冷溫的差值稱為噪聲源的超噪比(ENR)。
測試原理如圖1所示,為了進一步說明其工作原理,下麵導出它的工作方程。
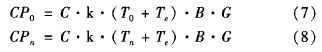
當噪聲源轉移到噪聲溫度T0時,DUT的輸出功率Pn為:
式(5)中,k為波爾茲曼常數,1.38*10- 23J/K,B為帶寬(Hz),G為增益,Te為被測網絡等效輸入噪聲溫度(K)。同理,當噪聲源轉移到噪聲溫度Tn時,DUT的輸出噪聲功率Pn為:
設噪聲係數測試儀的增 益為C,則在上述兩種情況下,噪聲係數測試儀所檢測到的功率分別為CP0和CPn即:

對式(3)和式(4)聯立求解 Te並表示為F,即可得到:
式中,ENR是噪聲源的超噪比(dB), Y=CPn/CP0,功率比值,通常稱為Y係數,F是噪聲係數(dB)。
圖3所示為Y係數量值發生器的組成原理圖。

圖3 Y係數發生器原理圖
首先使噪聲源工作在噪聲溫度T0(冷態),射頻衰減器置於0(dB),標準衰減器置於A0(dB),並使指示器指示在某一位置;然後,噪聲源工作在噪聲溫度Tn(熱態),調整標準衰減器使指示器的指示回到原來位置。設此時的衰減讀數為An,那麼A = An - A0(dB),可以得到Y係數的表達式為:
Y係數法適用於大範圍噪聲係數的測量,簡單易行並且準確度高,隻需要知道噪聲源的ENR,並測量出噪聲源冷、熱2個狀態下的輸出噪聲功率,不用測量DUT的增益,因此在對噪聲係數準確度做檢定時采用此方法。
[page]
4 實驗驗證
將式(10)給出的Y係數代人式(9),就複現了噪聲係數標準值Fs,結果如表1所示。
我們選用AV3984型微波噪聲係數分析儀進行實驗,其工作頻率為10 MHz~26.5 GHz,實驗框圖如圖4所示。

圖4 實驗框圖
依據圖4所示連接實驗儀器,AV3984的噪聲係數性能指標為±0.25 dB,測試數據如表2所示。
實驗中使用標準衰減器,通過記錄噪聲係數分析儀的Phot值,代入下列公式計算,得出噪聲係數測量值:
結果表明,數據的最大偏差在0.25 dB內。Y係數法能測量很大的噪聲係數範圍,適用於任何頻段,不受增益限製,準確度更高。
實(shi)驗(yan)中(zhong)使(shi)用(yong)智(zhi)能(neng)噪(zao)聲(sheng)源(yuan),超(chao)噪(zao)比(bi)表(biao)可(ke)以(yi)自(zi)動(dong)從(cong)噪(zao)聲(sheng)源(yuan)內(nei)上(shang)載(zai)到(dao)噪(zao)聲(sheng)係(xi)數(shu)分(fen)析(xi)儀(yi)內(nei),也(ye)可(ke)以(yi)在(zai)需(xu)要(yao)的(de)時(shi)候(hou)通(tong)過(guo)命(ming)令(ling)上(shang)載(zai)。對(dui)於(yu)需(xu)要(yao)手(shou)動(dong)輸(shu)入(ru)超(chao)噪(zao)比(bi)表(biao)的(de)噪(zao)聲(sheng)源(yuan),在(zai)測(ce)量(liang)之(zhi)前(qian)一(yi)定(ding)要(yao)確(que)認(ren)所(suo)使(shi)用(yong)的(de)超(chao)噪(zao)比(bi)表(biao)與(yu)噪(zao)聲(sheng)源(yuan)是(shi)匹(pi)配(pei)的(de)。
噪聲係數FS - Y係數值關係表


特別推薦
- 噪聲中提取真值!瑞盟科技推出MSA2240電流檢測芯片賦能多元高端測量場景
- 10MHz高頻運行!氮矽科技發布集成驅動GaN芯片,助力電源能效再攀新高
- 失真度僅0.002%!力芯微推出超低內阻、超低失真4PST模擬開關
- 一“芯”雙電!聖邦微電子發布雙輸出電源芯片,簡化AFE與音頻設計
- 一機適配萬端:金升陽推出1200W可編程電源,賦能高端裝備製造
技術文章更多>>
- 三星上演罕見對峙:工會集會討薪,股東隔街抗議
- 摩爾線程實現DeepSeek-V4“Day-0”支持,國產GPU適配再提速
- 築牢安全防線:智能駕駛邁向規模化應用的關鍵挑戰與破局之道
- GPT-Image 2:99%文字準確率,AI生圖告別“鬼畫符”
- 機器人馬拉鬆的勝負手:藏在主板角落裏的“時鍾戰爭”
技術白皮書下載更多>>
- 車規與基於V2X的車輛協同主動避撞技術展望
- 數字隔離助力新能源汽車安全隔離的新挑戰
- 汽車模塊拋負載的解決方案
- 車用連接器的安全創新應用
- Melexis Actuators Business Unit
- Position / Current Sensors - Triaxis Hall
熱門搜索
鑒頻器
江蘇商絡
交流電機
腳踏開關
接觸器接線
接近開關
接口IC
介質電容
介質諧振器
金屬膜電阻
晶體濾波器
晶體諧振器
晶體振蕩器
晶閘管
精密電阻
精密工具
景佑能源
聚合物電容
君耀電子
開發工具
開關
開關電源
開關電源電路
開關二極管
開關三極管
科通
可變電容
可調電感
可控矽
空心線圈

