低固定增益差分放大器的噪聲測量
發布時間:2019-12-28 責任編輯:wenwei
【導讀】長期用於消費類電子產品的發光二極管(L E D),最近也開始用於汽車照明領域,用來提供信號功能、日間行駛燈和車內照明。隨著這項照明技術日益普及,製造商也在不斷研究新的應用方式,以便充分發揮LED前大燈和尾燈時尚美觀的優勢。由隨機小電壓構成的噪聲可能很難測量,實驗室儀器本身的噪聲使測量問題進一步複雜化。
測量噪聲時,常常要使用專門的技術。例如,放大器通常配置為高 閉環增益,以使放大輸入噪聲便於測量。但是,低固定增益差分放大器的噪聲測量麵臨著更大的問題,它集成反饋和增益電阻,不方便 shiyonggaozengyipeizhi。ciwai,weileyupinpufenxiyijiekou,xuyaojinxingchafendanduanzhuanhuan。dierjifangdaqikeyitigongzengyibingzhixingchafendanduanzhuanhuan,qiaomiaodijiejueshangshulianggewenti。
圖1顯示可選 增 益(1、2或3)差分放大器 ADA4950-1 後接低噪聲、低失真運算放大器 AD8099。lA D8099將差分輸出轉換為單端信號,增 益設為10。與A D A 4 9 5 0 -1相比,A D8099的1n V/√H z等效輸入電壓噪聲可忽略不計。A D A 4 9 5 0 -1 的輸出放大10倍,其噪聲也成比例放大。利用0.5pF補償電容和10倍增益,A D8099具有足夠的帶寬來測量A D A 4 9 5 0 -1 的噪聲;在係統的頻率響應開始滾降之前,工作頻率最高可達10 MHz。

圖1. 利用低噪聲、低失真運算放大器A D8099測量可選增益差分放大器ADA4950-1的噪聲
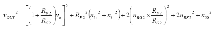
AD8099的輸出電壓為:
當輸入接地時,測得的A D8099噪聲貢獻視為測量係統的噪底,然後測量包括A D A 4 9 5 0 -1的總輸出噪聲,A D A 4 9 5 0 -1 的噪聲即為RSS(和的平方根)方法,用總噪聲減去A D8099的噪聲貢獻。如式2所示;其中Vn1為A DA 4 9 5 0 -1的輸出噪聲, Vn2為AD8099的輸出噪聲。
總輸出噪聲為:
(2)為了精確測量係統噪聲,還采用了其它幾項技術:
● 測量AD8099的噪聲時,其輸入通過SMA連接器接地,SMA連接器的芯線對連接器的接地引腳短路。此外,SMA 連接器焊在一起,直接在連接器上形成共用接地連接,而不是通過電路板。
● D8099和ADA4950-1使用模擬控製電源。與數字控製電源相比,模擬控製電源能更好地抑製60Hz電力線耦合的噪聲和諧波。
● 所有鄰近儀器均關閉,除非測量需要使用。這可以最大程度減少由這些儀器控製器數字電路而產生的振蕩,這些振蕩可以通過 空氣耦合至放大器。出於同樣的原因,使用4英尺電纜將電路板連接到頻譜分析儀,頻譜分析儀會拾取顯示器的刷新頻率,從 而影響AD8099的輸出。
● 為使A D8099的噪聲貢獻較小,使用低值電阻 (RF = 2 5 0 Ω; RG= 25 Ω) 配置其增益。較低的值會引起A D8099 振蕩。當用短電纜將ADA4950-1與A D8099 相連時,在250 M Hz時可觀察到振蕩。當使用1英尺電纜時,振蕩消失。
AD8099本身的噪聲貢獻非常小:
(3)其中vn為輸入電壓噪聲,ni+和ni-為AD8099的輸入電流噪聲。
因為需要一個大反饋電阻來放大該噪聲,但內部反饋電阻值無法改變,所以不可能測量A DA 4 9 5 0 -1的電流噪聲。
圖2所示的是測量結果,測量100kHz及以下的噪聲使用的是Stanford Research S ys tems S R785,測量100 k H z 以上的噪聲使用的是A gilen t E4440 PSA頻譜分析儀。

圖2. 測試結果
推薦閱讀:
特別推薦
- 噪聲中提取真值!瑞盟科技推出MSA2240電流檢測芯片賦能多元高端測量場景
- 10MHz高頻運行!氮矽科技發布集成驅動GaN芯片,助力電源能效再攀新高
- 失真度僅0.002%!力芯微推出超低內阻、超低失真4PST模擬開關
- 一“芯”雙電!聖邦微電子發布雙輸出電源芯片,簡化AFE與音頻設計
- 一機適配萬端:金升陽推出1200W可編程電源,賦能高端裝備製造
技術文章更多>>
- 邊緣AI的發展為更智能、更可持續的技術鋪平道路
- IAR作為Qt Group獨立BU攜兩項重磅汽車電子應用開發方案首秀北京車展
- 數字化的線性穩壓器
- 安森美:用全光譜“智慧之眼”定義下一代工業機器人
- 貿澤EIT係列新一期,探索AI如何重塑日常科技與用戶體驗
技術白皮書下載更多>>
- 車規與基於V2X的車輛協同主動避撞技術展望
- 數字隔離助力新能源汽車安全隔離的新挑戰
- 汽車模塊拋負載的解決方案
- 車用連接器的安全創新應用
- Melexis Actuators Business Unit
- Position / Current Sensors - Triaxis Hall
熱門搜索
Future
GFIVE
GPS
GPU
Harting
HDMI
HDMI連接器
HD監控
HID燈
I/O處理器
IC
IC插座
IDT
IGBT
in-cell
Intersil
IP監控
iWatt
Keithley
Kemet
Knowles
Lattice
LCD
LCD模組
LCR測試儀
lc振蕩器
Lecroy
LED
LED保護元件
LED背光





