單電源運放和雙電源運放有啥區別?
發布時間:2020-01-10 責任編輯:wenwei
【導讀】我wo們men經jing常chang看kan到dao很hen多duo非fei常chang經jing典dian的de運yun算suan放fang大da器qi應ying用yong圖tu集ji,但dan是shi這zhe些xie應ying用yong都dou建jian立li在zai雙shuang電dian源yuan的de基ji礎chu上shang,很hen多duo時shi候hou,電dian路lu的de設she計ji者zhe必bi須xu用yong單dan電dian源yuan供gong電dian,但dan是shi他ta們men不bu知zhi道dao該gai如ru何he將jiang雙shuang電dian源yuan的de電dian路lu轉zhuan換huan成cheng單dan電dian源yuan電dian路lu。
在設計單電源電路時需要比雙電源電路更加小心,設計者必須要完全理解這篇文章中所述的內容。
1.1 電源供電和單電源供電
所有的運算放大器都有兩個電源引腳,一般在資料中,它們的標識是VCC+和VCC-,但是有些時候它們的標識是VCC+和GND。這是因為有些數據手冊的作者企圖將這種標識的差異作為單電源運放和雙電源運放的區別。但是,這並不是說他們就一定要那樣使用――他(ta)們(men)可(ke)能(neng)可(ke)以(yi)工(gong)作(zuo)在(zai)其(qi)他(ta)的(de)電(dian)壓(ya)下(xia)。在(zai)運(yun)放(fang)不(bu)是(shi)按(an)默(mo)認(ren)電(dian)壓(ya)供(gong)電(dian)的(de)時(shi)候(hou),需(xu)要(yao)參(can)考(kao)運(yun)放(fang)的(de)數(shu)據(ju)手(shou)冊(ce),特(te)別(bie)是(shi)絕(jue)對(dui)最(zui)大(da)供(gong)電(dian)電(dian)壓(ya)和(he)電(dian)壓(ya)擺(bai)動(dong)說(shuo)明(ming)。
絕jue大da多duo數shu的de模mo擬ni電dian路lu設she計ji者zhe都dou知zhi道dao怎zen麼me在zai雙shuang電dian源yuan電dian壓ya的de條tiao件jian下xia使shi用yong運yun算suan放fang大da器qi,比bi如ru圖tu一yi左zuo邊bian的de那na個ge電dian路lu,一yi個ge雙shuang電dian源yuan是shi由you一yi個ge正zheng電dian源yuan和he一yi個ge相xiang等deng電dian壓ya的de負fu電dian源yuan組zu成cheng。一yi般ban是shi正zheng負fu15V,正負12V和正負5V也是經常使用的。輸入電壓和輸出電壓都是參考地給出的,還包括正負電壓的擺動幅度極限Vom以及最大輸出擺幅。
單電源供電的電路(圖一中右)運放的電源腳連接到正電源和地。正電源引腳接到VCC+,地或者VCC-引腳連接到GND。將jiang正zheng電dian壓ya分fen成cheng一yi半ban後hou的de電dian壓ya作zuo為wei虛xu地di接jie到dao運yun放fang的de輸shu入ru引yin腳jiao上shang,這zhe時shi運yun放fang的de輸shu出chu電dian壓ya也ye是shi該gai虛xu地di電dian壓ya,運yun放fang的de輸shu出chu電dian壓ya以yi虛xu地di為wei中zhong心xin,擺bai幅fu在zaiVom 之內。
有一些新的運放有兩個不同的最高輸出電壓和最低輸出電壓。這種運放的數據手冊中會特別分別指明Voh 和Vol 。需xu要yao特te別bie注zhu意yi的de是shi有you不bu少shao的de設she計ji者zhe會hui很hen隨sui意yi的de用yong虛xu地di來lai參can考kao輸shu入ru電dian壓ya和he輸shu出chu電dian壓ya,但dan在zai大da部bu分fen應ying用yong中zhong,輸shu入ru和he輸shu出chu是shi參can考kao電dian源yuan地di的de,所suo以yi設she計ji者zhe必bi須xu在zai輸shu入ru和he輸shu出chu的de地di方fang加jia入ru隔ge直zhi電dian容rong,用yong來lai隔ge離li虛xu地di和he地di之zhi間jian的de直zhi流liu電dian壓ya。(參見1.3節)

通常單電源供電的電壓一般是5V,這時運放的輸出電壓擺幅會更低。另外現在運放的供電電壓也可以是3V 也或者會更低。出於這個原因在單電源供電的電路中使用的運放基本上都是Rail-To-Rail 的運放,這樣就消除了丟失的動態範圍。
需要特別指出的是輸入和輸出不一定都能夠承受Rail-To-Rail 的電壓。雖然器件被指明是軌至軌(Rail-To-Rail)的de,如ru果guo運yun放fang的de輸shu出chu或huo者zhe輸shu入ru不bu支zhi持chi軌gui至zhi軌gui,接jie近jin輸shu入ru或huo者zhe接jie近jin輸shu出chu電dian壓ya極ji限xian的de電dian壓ya可ke能neng會hui使shi運yun放fang的de功gong能neng退tui化hua,所suo以yi需xu要yao仔zai細xi的de參can考kao數shu據ju手shou冊ce是shi否fou輸shu入ru和he輸shu出chu是shi否fou都dou是shi軌gui至zhi軌gui。這zhe樣yang才cai能neng保bao證zheng係xi統tong的de功gong能neng不bu會hui退tui化hua,這zhe是shi設she計ji者zhe的de義yi務wu。
1. 2 虛地
單電源工作的運放需要外部提供一個虛地,通常情況下,這個電壓是VCC/2,圖二的電路可以用來產生VCC/2的電壓,但是他會降低係統的低頻特性。

R1 和R2 是等值的,通過電源允許的消耗和允許的噪聲來選擇,電容C1 是一個低通濾波器,用來減少從電源上傳來的噪聲。在有些應用中可以忽略緩衝運放。
在下文中,有一些電路的虛地必須要由兩個電阻產生,但是其實這並不是完美的方法。在這些例子中,電阻值都大於100K,當這種情況發生時,電路圖中均有注明。
1. 3 交流耦合
虛地是大於電源地的直流電平,這是一個小的、局部的地電平,這樣就產生了一個電勢問題:輸(shu)入(ru)和(he)輸(shu)出(chu)電(dian)壓(ya)一(yi)般(ban)都(dou)是(shi)參(can)考(kao)電(dian)源(yuan)地(di)的(de),如(ru)果(guo)直(zhi)接(jie)將(jiang)信(xin)號(hao)源(yuan)的(de)輸(shu)出(chu)接(jie)到(dao)運(yun)放(fang)的(de)輸(shu)入(ru)端(duan),這(zhe)將(jiang)會(hui)產(chan)生(sheng)不(bu)可(ke)接(jie)受(shou)的(de)直(zhi)流(liu)偏(pian)移(yi)。如(ru)果(guo)發(fa)生(sheng)這(zhe)樣(yang)的(de)事(shi)情(qing),運(yun)放(fang)將(jiang)不(bu)能(neng)正(zheng)確(que)的(de)響(xiang)應(ying)輸(shu)入(ru)電(dian)壓(ya),因(yin)為(wei)這(zhe)將(jiang)使(shi)信(xin)號(hao)超(chao)出(chu)運(yun)放(fang)允(yun)許(xu)的(de)輸(shu)入(ru)或(huo)者(zhe)輸(shu)出(chu)範(fan)圍(wei)。
解jie決jue這zhe個ge問wen題ti的de方fang法fa將jiang信xin號hao源yuan和he運yun放fang之zhi間jian用yong交jiao流liu耦ou合he。使shi用yong這zhe種zhong方fang法fa,輸shu入ru和he輸shu出chu器qi件jian就jiu都dou可ke以yi參can考kao係xi統tong地di,並bing且qie運yun放fang電dian路lu可ke以yi參can考kao虛xu地di。當dang不bu止zhi一yi個ge運yun放fang被bei使shi用yong時shi,如ru果guo碰peng到dao以yi下xia條tiao件jian級ji間jian的de耦ou合he電dian容rong就jiu不bu是shi一yi定ding要yao使shi用yong:第(di)一(yi)級(ji)運(yun)放(fang)的(de)參(can)考(kao)地(di)是(shi)虛(xu)地(di)第(di)二(er)級(ji)運(yun)放(fang)的(de)參(can)考(kao)第(di)也(ye)是(shi)虛(xu)地(di)這(zhe)兩(liang)級(ji)運(yun)放(fang)的(de)每(mei)一(yi)級(ji)都(dou)沒(mei)有(you)增(zeng)益(yi)。任(ren)何(he)直(zhi)流(liu)偏(pian)置(zhi)在(zai)任(ren)何(he)一(yi)級(ji)中(zhong)都(dou)將(jiang)被(bei)乘(cheng)以(yi)增(zeng)益(yi),並(bing)且(qie)可(ke)能(neng)使(shi)得(de)電(dian)路(lu)超(chao)出(chu)它(ta)的(de)正(zheng)常(chang)工(gong)作(zuo)電(dian)壓(ya)範(fan)圍(wei)。
ruguoyourenheyiwen,zhuangpeiyitaiyououhedianrongdeyuanxing,ranhoumeiciquzouqizhongdeyige,guanchadiangongzuoshifouzhengchang。chufeishuruheshuchudoushicankaoxudide,fouzezhelijiubixuyaoyououhedianronglaigelixinhaoyuanheyunfangshuruyijiyunfangshuchuhefuzai。yigehaodejiejuebanfashiduankaishuruheshuchu,ranhouzaisuoyouyunfangdelianggeshurujiaoheyunfangdeshuchujiaoshangjianzhazhiliudianya。suoyoudedianyadoubixufeichangjiejinxudidedianya,ruguobushi,qianjideshuchujiujiubixuyaoyongdianrongzuogeli。(或者電路有問題)
1. 4 組合運放電路
在一些應用中,組合運放可以用來節省成本和板上的空間,但是不可避免的引起相互之間的耦合,可以影響到濾波、直流偏置、噪聲和其他電路特性。設計者通常從獨立的功能原型開始設計,比如放大、直流偏置、濾波等等。在對每個單元模塊進行校驗後將他們聯合起來。除非特別說明,否則本文中的所有濾波器單元的增益都是 1。
1. 5 選擇電阻和電容的值
每一個剛開始做模擬設計的人都想知道如何選擇元件的參數。電阻是應該用1 歐的還是應該用1 兆歐的?一般的來說普通的應用中阻值在K 歐級到100K 歐級是比較合適的。高速的應用中阻值在100 歐級到1K 歐級,但他們會增大電源的消耗。便攜設計中阻值在1 兆級到10 兆zhao歐ou級ji,但dan是shi他ta們men將jiang增zeng大da係xi統tong的de噪zao聲sheng。用yong來lai選xuan擇ze調tiao整zheng電dian路lu參can數shu的de電dian阻zu電dian容rong值zhi的de基ji本ben方fang程cheng在zai每mei張zhang圖tu中zhong都dou已yi經jing給gei出chu。如ru果guo做zuo濾lv波bo器qi,電dian阻zu的de精jing度du要yao選xuan擇ze1% E -96係列(參看附錄A)。一但電阻值的數量級確定了,選擇標準的E-12係列電容。
用E-24係列電容用來做參數的調整,但是應該盡量不用。用來做電路參數調整的電容不應該用5%的,應該用1%。
2.1 放大
放大電路有兩個基本類型:同相放大器和反相放大器。他們的交流耦合版本如圖三所示。對於交流電路,反向的意思是相角被移動180度。這種電路采用了耦合電容 ――Cin 。Cin被用來阻止電路產生直流放大,這樣電路就隻會對交流產生放大作用。如果在直流電路中,Cin被省略,那麼就必須對直流放大進行計算。
在高頻電路中,不要違反運放的帶寬限製,這是非常重要的。實際應用中,一級放大電路的增益通常是100倍(40dB),再zai高gao的de放fang大da倍bei數shu將jiang引yin起qi電dian路lu的de振zhen蕩dang,除chu非fei在zai布bu板ban的de時shi候hou就jiu非fei常chang注zhu意yi。如ru果guo要yao得de到dao一yi個ge放fang大da倍bei數shu比bi較jiao的de大da放fang大da器qi,用yong兩liang個ge等deng增zeng益yi的de運yun放fang或huo者zhe多duo個ge等deng增zeng益yi運yun放fang比bi用yong一yi個ge運yun放fang的de效xiao果guo要yao好hao的de多duo。

2.2 衰減
傳統的用運算放大器組成的反相衰減器如圖四所示。

在電路中R2要小於R1。這種方法是不被推薦的,因為很多運放是不適宜工作在放大倍數小於1倍的情況下。正確的方法是用圖五的電路。

在表一中的一套規格化的R3 的阻值可以用作產生不同等級的衰減。對於表中沒有的阻值,可以用以下的公式計算
R3=(Vo/Vin)/(2-2(Vo/Vin))
如果表中有值,按以下方法處理:
為Rf和Rin在1K到100K之間選擇一個值,該值作為基礎值。
將Rin 除以二得到RinA 和RinB。
將基礎值分別乘以1 或者2 就得到了Rf、Rin1 和Rin2,如圖五中所示。
在表中給R3 選擇一個合適的比例因子,然後將他乘以基礎值。
比如,如果Rf是20K,RinA和RinB都是10K,那麼用12.1K的電阻就可以得到-3dB的衰減。

圖六中同相的衰減器可以用作電壓衰減和同相緩衝器使用。

2.3 加法器
圖tu七qi是shi一yi個ge反fan相xiang加jia法fa器qi,他ta是shi一yi個ge基ji本ben的de音yin頻pin混hun合he器qi。但dan是shi該gai電dian路lu的de很hen少shao用yong於yu真zhen正zheng的de音yin頻pin混hun合he器qi。因yin為wei這zhe會hui逼bi近jin運yun放fang的de工gong作zuo極ji限xian,實shi際ji上shang我wo們men推tui薦jian用yong提ti高gao電dian源yuan電dian壓ya的de辦ban法fa來lai提ti高gao動dong態tai範fan圍wei。
同相加法器是可以實現的,但是是不被推薦的。因為信號源的阻抗將會影響電路的增益。

2.4 減法器
就像加法器一樣,圖八是一個減法器。一個通常的應用就是用於去除立體聲磁帶中的原唱而留下伴音(在錄製時兩通道中的原唱電平是一樣的,但是伴音是略有不同的)。

2.5 模擬電感
圖(tu)九(jiu)的(de)電(dian)路(lu)是(shi)一(yi)個(ge)對(dui)電(dian)容(rong)進(jin)行(xing)反(fan)向(xiang)操(cao)作(zuo)的(de)電(dian)路(lu),它(ta)用(yong)來(lai)模(mo)擬(ni)電(dian)感(gan)。電(dian)感(gan)會(hui)抵(di)製(zhi)電(dian)流(liu)的(de)變(bian)化(hua),所(suo)以(yi)當(dang)一(yi)個(ge)直(zhi)流(liu)電(dian)平(ping)加(jia)到(dao)電(dian)感(gan)上(shang)時(shi)電(dian)流(liu)的(de)上(shang)升(sheng)是(shi)一(yi)個(ge)緩(huan)慢(man)的(de)過(guo)程(cheng),並(bing)且(qie)電(dian)感(gan)中(zhong)電(dian)阻(zu)上(shang)的(de)壓(ya)降(jiang)就(jiu)顯(xian)得(de)尤(you)為(wei)重(zhong)要(yao)。

電dian感gan會hui更geng加jia容rong易yi的de讓rang低di頻pin通tong過guo它ta,它ta的de特te性xing正zheng好hao和he電dian容rong相xiang反fan,一yi個ge理li想xiang的de電dian感gan是shi沒mei有you電dian阻zu的de,它ta可ke以yi讓rang直zhi流liu電dian沒mei有you任ren何he限xian製zhi的de通tong過guo,對dui頻pin率lv是shi無wu窮qiong大da的de信xin號hao有you無wu窮qiong大da的de阻zu抗kang。
如果直流電壓突然通過電阻R1 加到運放的反相輸入端上的時候,運放的輸出將不會有任何的變化,因為這個電壓同過電容C1 也同樣加到了正相輸出端上,運放的輸出端表現出了很高的阻抗,就像一個真正的電感一樣。
隨著電容C1 不斷的通過電阻R2 進行充電,R2上電壓不斷下降,運放通過電阻R1汲取電流。隨著電容不斷的充電,最後運放的兩個輸入腳和輸出腳上的電壓最終趨向於虛地(Vcc/2)。
當電容C1 完全被充滿時,電阻R1 限製了流過的電流,這就表現出一個串連在電感中電阻。這個串連的電阻就限製了電感的Q 值。真正電感的直流電阻一般會比模擬的電感小的多。這有一些模擬電感的限製:
● 電感的一段連接在虛地上;
● 模擬電感的Q值無法做的很高,取決於串連的電阻R1;
● 模mo擬ni電dian感gan並bing不bu像xiang真zhen正zheng的de電dian感gan一yi樣yang可ke以yi儲chu存cun能neng量liang,真zhen正zheng的de電dian感gan由you於yu磁ci場chang的de作zuo用yong可ke以yi引yin起qi很hen高gao的de反fan相xiang尖jian峰feng電dian壓ya,但dan是shi模mo擬ni電dian感gan的de電dian壓ya受shou限xian於yu運yun放fang輸shu出chu電dian壓ya的de擺bai幅fu,所suo以yi響xiang應ying的de脈mai衝chong受shou限xian於yu電dian壓ya的de擺bai幅fu。
2.6 儀用放大器
yiyongfangdaqiyongyuxuyaoduixiaodianpingxinhaozhiliuxinhaojinxingfangdadechanghe,tashiyoujianfaqituopuerlaide。yiyongfangdaqiliyongletongxiangshuruduangaozukangdeyoushi。jibendeyiyongfangdaqirutushisuoshi。

zhegedianlushijibendeyiyongfangdadianlu,qitadeyiyongfangdaqiyerutuzhongsuoshi,zhelideshuruduanyeshiyongledandianyuangongdian。zhegedianlushijishangshiyigedandianyuandeyingbianyi。zhegedianludequedianshixuyaowanquanxiangdengdedianzu,fouzezhegedianludegongmoyizhibijianghuihendi。
圖十中的電路可以簡單的去掉三個電阻,就像圖十一中的電路。

這個電路的增益非常好計算。但是這個電路也有一個缺點:那就是電路中的兩個電阻必須一起更換,而且他們必須是等值的。另外還有一個缺點,第一級的運放沒有產生任何有用的增益。
另外用兩個運放也可以組成儀用放大器,就像圖十二所示。

但是這個儀用放大器是不被推薦的,因為第一個運放的放大倍數小於一,所以他可能是不穩定的,而且Vin -上的信號要花費比Vin +上的信號更多的時間才能到達輸出端。
這(zhe)節(jie)非(fei)常(chang)深(shen)入(ru)地(di)介(jie)紹(shao)了(le)用(yong)運(yun)放(fang)組(zu)成(cheng)的(de)有(you)源(yuan)濾(lv)波(bo)器(qi)。在(zai)很(hen)多(duo)情(qing)況(kuang)中(zhong),為(wei)了(le)阻(zu)擋(dang)由(you)於(yu)虛(xu)地(di)引(yin)起(qi)的(de)直(zhi)流(liu)電(dian)平(ping),在(zai)運(yun)放(fang)的(de)輸(shu)入(ru)端(duan)串(chuan)入(ru)了(le)電(dian)容(rong)。這(zhe)個(ge)電(dian)容(rong)實(shi)際(ji)上(shang)是(shi)一(yi)個(ge)高(gao)通(tong)濾(lv)波(bo)器(qi),在(zai)某(mou)種(zhong)意(yi)義(yi)上(shang)說(shuo),像(xiang)這(zhe)樣(yang)的(de)單(dan)電(dian)源(yuan)運(yun)放(fang)電(dian)路(lu)都(dou)有(you)這(zhe)樣(yang)的(de)電(dian)容(rong)。設(she)計(ji)者(zhe)必(bi)須(xu)確(que)定(ding)這(zhe)個(ge)電(dian)容(rong)的(de)容(rong)量(liang)必(bi)須(xu)要(yao)比(bi)電(dian)路(lu)中(zhong)的(de)其(qi)他(ta)電(dian)容(rong)器(qi)的(de)容(rong)量(liang)大(da)100 倍(bei)以(yi)上(shang)。這(zhe)樣(yang)才(cai)可(ke)以(yi)保(bao)證(zheng)電(dian)路(lu)的(de)幅(fu)頻(pin)特(te)性(xing)不(bu)會(hui)受(shou)到(dao)這(zhe)個(ge)輸(shu)入(ru)電(dian)容(rong)的(de)影(ying)響(xiang)。如(ru)果(guo)這(zhe)個(ge)濾(lv)波(bo)器(qi)同(tong)時(shi)還(hai)有(you)放(fang)大(da)作(zuo)用(yong),這(zhe)個(ge)電(dian)容(rong)的(de)容(rong)量(liang)最(zui)好(hao)是(shi)電(dian)路(lu)中(zhong)其(qi)他(ta)電(dian)容(rong)容(rong)量(liang)的(de)1000 倍以上。如果輸入的信號早就包含了VCC/2 的直流偏置,這個電容就可以省略。
這些電路的輸出都包含了VCC/2 的直流偏置,如果電路是最後一級,那麼就必須串入輸出電容。
這裏有一個有關濾波器設計的協定,這裏的濾波器均采用單電源供電的運放組成。濾波器的實現很簡單,但是以下幾點設計者必須注意:
1. 濾波器的拐點(中心)頻率
2. 濾波器電路的增益
3. 帶通濾波器和帶阻濾波器的的Q值
4. 低通和高通濾波器的類型(Butterworth 、Chebyshev、Bessell)
不bu幸xing的de是shi要yao得de到dao一yi個ge完wan全quan理li想xiang的de濾lv波bo器qi是shi無wu法fa用yong一yi個ge運yun放fang組zu成cheng的de。即ji使shi可ke能neng,由you於yu各ge個ge元yuan件jian之zhi間jian的de負fu雜za互hu感gan而er導dao致zhi設she計ji者zhe要yao用yong非fei常chang複fu雜za的de計ji算suan才cai能neng完wan成cheng濾lv波bo器qi的de設she計ji。通tong常chang對dui波bo形xing的de控kong製zhi要yao求qiu越yue複fu雜za就jiu意yi味wei者zhe需xu要yao更geng多duo的de運yun放fang,這zhe將jiang根gen據ju設she計ji者zhe可ke以yi接jie受shou的de最zui大da畸ji變bian來lai決jue定ding。或huo者zhe可ke以yi通tong過guo幾ji次ci實shi驗yan而er最zui終zhong確que定ding下xia來lai。如ru果guo設she計ji者zhe希xi望wang用yong最zui少shao的de元yuan件jian來lai實shi現xian濾lv波bo器qi,那na麼me就jiu別bie無wu選xuan擇ze,隻zhi能neng使shi用yong傳chuan統tong的de濾lv波bo器qi,通tong過guo計ji算suan就jiu可ke以yi得de到dao了le。
3.1 一階濾波器
一階濾波器是最簡單的電路,他們有20dB 每倍頻的幅頻特性
3.1.1 低通濾波器
典型的低通濾波器如圖十三所示。

3.1.2 高通濾波器
典型的高通濾波器如圖十四所示。

3.1.3 文氏濾波器
文氏濾波器對所有的頻率都有相同的增益,但是它可以改變信號的相角,同時也用來做相角修正電路。圖十五中的電路對頻率是F 的信號有90 度的相移,對直流的相移是0度,對高頻的相移是180度。

3.2 二階濾波器
二階濾波電路一般用他們的發明者命名。他們中的少數幾個至今還在使用。有一些二階濾波器的拓撲結構可以組成低通、高通、帶通、帶阻濾波器,有些則不行。這裏沒有列出所有的濾波器拓撲結構,隻是將那些容易實現和便於調整的列了出來。
二階濾波器有40dB 每倍頻的幅頻特性。
通常的同一個拓撲結構組成的帶通和帶阻濾波器使用相同的元件來調整他們的Q 值,而且他們使濾波器在Butterworth 和Chebyshev 濾波器之間變化。必須要知道隻有Butterworth 濾波器可以準確的計算出拐點頻率,Chebyshev 和Bessell濾波器隻能在Butterworth 濾波器的基礎上做一些微調。
我們通常用的帶通和帶阻濾波器有非常高的Q 值(zhi)。如(ru)果(guo)需(xu)要(yao)實(shi)現(xian)一(yi)個(ge)很(hen)寬(kuan)的(de)帶(dai)通(tong)或(huo)者(zhe)帶(dai)阻(zu)濾(lv)波(bo)器(qi)就(jiu)需(xu)要(yao)用(yong)高(gao)通(tong)濾(lv)波(bo)器(qi)和(he)低(di)通(tong)濾(lv)波(bo)器(qi)串(chuan)連(lian)起(qi)來(lai)。對(dui)於(yu)帶(dai)通(tong)濾(lv)波(bo)器(qi)的(de)通(tong)過(guo)特(te)性(xing)將(jiang)是(shi)這(zhe)兩(liang)個(ge)濾(lv)波(bo)器(qi)的(de)交(jiao)疊(die)部(bu)分(fen),對(dui)於(yu)帶(dai)阻(zu)濾(lv)波(bo)器(qi)的(de)通(tong)過(guo)特(te)性(xing)將(jiang)是(shi)這(zhe)兩(liang)個(ge)濾(lv)波(bo)器(qi)的(de)不(bu)重(zhong)疊(die)部(bu)分(fen)。這(zhe)裏(li)沒(mei)有(you)介(jie)紹(shao)反(fan)相(xiang) Chebyshev 和 Elliptic 濾波器,因為他們已經不屬於電路集需要介紹的範圍了。
不是所有的濾波器都可以產生我們所設想的結果――比如說濾波器在阻帶的最後衰減幅度在多反饋濾波器中的會比在Sallen-Key lvboqizhongdeda。youyuzhexietexingchaochuledianlutujidejieshaofanwei,qingdajiadaojiaokeshushangquxunzhaomeizhongdianlugezideyouquedian。buguozhelijieshaodedianluzaibushihenteshudeqingkuangxiashiyong,qijieguodoushikeyijieshoude。
3.2.1 Sallen-Key濾波器
Sallen-Key 濾波器是一種流行的、廣泛應用的二階濾波器。他的成本很低,僅需要一個運放和四個無源器件組成。但是換成Butterworth 或Chebyshev 濾波器就不可能這麼容易的調整了。這個電路是一個單位增益的電路,改變Sallen-Key 濾波器的增益同時就改變了濾波器的幅頻特性和類型。實際上Sallen-Key 濾波器就是增益為1的Butterworth 濾波器。

3.2.2 多反饋濾波器
duofankuilvboqishiyizhongtongyong,dichengbenyijirongyishixiandelvboqi。buxingdeshi,shejishidejisuanyouxiefuza,zaizhelibuzuoshenrudejieshao。qingcankancankaotiaomu【1】中的對多反饋濾波器的細節介紹。如果需要的是一個單位增益的Butterworth 濾波器,那麼這裏的電路就可以給出一個近似的結果。

3.2.3 雙T濾波器
雙T lvboqijikeyiyongyigeyunfangyekeyiyonglianggeyunfangshixian。tashijianlizaisangedianzuhesangedianrongzuchengdewuyuanwangluoshangde。zheliugeyuanjiandepipeishilinjiede,danxingyundeshizherengshiyigechangrongyideguocheng,zhegewangluokeyiyongtongyizhidedianzuhetongyizhidedianrongzucheng。yongtuzhongdegongshijiukeyitongshidejiangR3 和C3 計算出來。應該盡量選用同一批的元件,他們有非常相近的特性。
3.2.3.1 單運放實現

如果用參數非常接近的元件組成帶通濾波器,就很容易發生振蕩。接到虛地的電阻最好在E-96 1%係列中選擇,這樣就可以破壞振蕩條件。
3.2.3.2 雙運放實現
典型的雙運放如圖20到圖22所示



運算放大器(Operational Amplifier,簡稱OP、OPA、OPAMP)是一種直流耦合﹐差模(差動模式)輸入、通常為單端輸出(Differential-in, single-ended output)的高增益(gain)電壓放大器,因為剛開始主要用於加法,乘法等運算電路中,因而得名。一個理想的運算放大器必須具備下列特性:無限大的輸入阻抗、等於零的輸出阻抗、無限大的開回路增益、無限大的共模排斥比的部分、無限大的頻寬。最基本的運算放大器如圖1-1。一個運算放大器模組一般包括一個正輸入端(OP_P)、一個負輸入端(OP_N)和一個輸出端(OP_O)。

通常使用運算放大器時,會將其輸出端與其反相輸入端(inverting input node)連接,形成一負反饋(negative feedback)組zu態tai。原yuan因yin是shi運yun算suan放fang大da器qi的de電dian壓ya增zeng益yi非fei常chang大da,範fan圍wei從cong數shu百bai至zhi數shu萬wan倍bei不bu等deng,使shi用yong負fu反fan饋kui方fang可ke保bao證zheng電dian路lu的de穩wen定ding運yun作zuo。但dan是shi這zhe並bing不bu代dai表biao運yun算suan放fang大da器qi不bu能neng連lian接jie成cheng正zheng回hui饋kui(positive feedback),相反地,在很多需要產生震蕩訊號的係統中,正回饋組態的運算放大器是很常見的組成元件。
開環回路

開環回路運算放大器如圖1-2。當一個理想運算放大器采用開回路的方式工作時,其輸出與輸入電壓的關係式如下:
Vout = ( V+ -V-) * Aog
其中Aog代表運算放大器的開環回路差動增益(open-loop differential gai由於運算放大器的開環回路增益非常高,因此就算輸入端的差動訊號很小,仍然會讓輸出訊號「飽和」(saturation),導致非線性的失真出現。
閉環負反饋
將(jiang)運(yun)算(suan)放(fang)大(da)器(qi)的(de)反(fan)向(xiang)輸(shu)入(ru)端(duan)與(yu)輸(shu)出(chu)端(duan)連(lian)接(jie)起(qi)來(lai),放(fang)大(da)器(qi)電(dian)路(lu)就(jiu)處(chu)在(zai)負(fu)反(fan)饋(kui)組(zu)態(tai)的(de)狀(zhuang)況(kuang),此(ci)時(shi)通(tong)常(chang)可(ke)以(yi)將(jiang)電(dian)路(lu)簡(jian)單(dan)地(di)稱(cheng)為(wei)閉(bi)環(huan)放(fang)大(da)器(qi)。閉(bi)環(huan)放(fang)大(da)器(qi)依(yi)據(ju)輸(shu)入(ru)訊(xun)號(hao)進(jin)入(ru)放(fang)大(da)器(qi)的(de)端(duan)點(dian),又(you)可(ke)分(fen)為(wei)反(fan)相(xiang)(inverting)放大器與非反相(non-inverting)放大器兩種。
反相閉環放大器如圖1-3。假設這個閉環放大器使用理想的運算放大器,則因為其開環增益為無限大,所以運算放大器的兩輸入端為虛接地(virtual ground),其輸出與輸入電壓的關係式如下:
Vout = -(Rf / Rin) * Vin

非反相閉環放大器如圖1-4。假jia設she這zhe個ge閉bi環huan放fang大da器qi使shi用yong理li想xiang的de運yun算suan放fang大da器qi,則ze因yin為wei其qi開kai環huan增zeng益yi為wei無wu限xian大da,所suo以yi運yun算suan放fang大da器qi的de兩liang輸shu入ru端duan電dian壓ya差cha幾ji乎hu為wei零ling,其qi輸shu出chu與yu輸shu入ru電dian壓ya的de關guan係xi式shi如ru下xia:Vout = ((R2 / R1) + 1) * Vin

閉環正回饋
將jiang運yun算suan放fang大da器qi的de正zheng向xiang輸shu入ru端duan與yu輸shu出chu端duan連lian接jie起qi來lai,放fang大da器qi電dian路lu就jiu處chu在zai正zheng回hui饋kui的de狀zhuang況kuang,由you於yu正zheng回hui饋kui組zu態tai工gong作zuo於yu一yi極ji不bu穩wen定ding的de狀zhuang態tai,多duo應ying用yong於yu需xu要yao產chan生sheng震zhen蕩dang訊xun號hao的de應ying用yong中zhong。
理想運放和理想運放條件
zaifenxihezongheyunfangyingyongdianlushi,daduoshuqingkuangxia,keyijiangjichengyunfangkanchengyigelixiangyunsuanfangdaqi。lixiangyunfanggumingsiyishijiangjichengyunfangdegexiangjishuzhibiaolixianghua。youyushijiyunfangdejishuzhibiaobijiaojiejinlixiangyunfang,yinciyoulixianghuadailaidewuchafeichangxiao,zaiyibandegongchengjisuanzhongkeyihulve。
理想運放各項技術指標具體如下:
1.開環差模電壓放大倍數Aod = ∞;
2.輸入電阻Rid = ∞;輸出電阻Rod =0
3.輸入偏置電流IB1=IB2=0 ;
4.失調電壓UIO、失調電流IIO 、失調電壓溫漂
、失調電流溫漂
均為零;
5.共模抑製比CMRR = ∞;;
6.-3dB帶寬fH = ∞ ;
7.無內部幹擾和噪聲。
實際運放的參數達到如下水平即可以按理想運放對待:
電壓放大倍數達到104~105倍;輸入電阻達到105Ω;輸出電阻小於幾百歐姆;
外電路中的電流遠大於偏置電流;失調電壓、失調電流及其溫漂很小,造電路的漂移在允許範圍之內,電路的穩定性符合要求即可;輸入最小信號時,有一定信噪比,共模抑製比大於等於60dB;帶寬符合電路帶寬要求即可。
運算放大器中的虛短和虛斷含意
理想運放工作在線性區時可以得出二條重要的結論:
虛短
因為理想運放的電壓放大倍數很大,而運放工作在線性區,是一個線性放大電路,輸出電壓不超出線性範圍(即有限值),所以,運算放大器同相輸入端與反相輸入端的電位十分接近相等。在運放供電電壓為±15V時,輸出的最大值一般在10~13V。所以運放兩輸入端的電壓差,在1mV以下,近似兩輸入端短路。這一特性稱為虛短,顯然這不是真正的短路,隻是分析電路時在允許誤差範圍之內的合理近似。
虛斷
由(you)於(yu)運(yun)放(fang)的(de)輸(shu)入(ru)電(dian)阻(zu)一(yi)般(ban)都(dou)在(zai)幾(ji)百(bai)千(qian)歐(ou)以(yi)上(shang),流(liu)入(ru)運(yun)放(fang)同(tong)相(xiang)輸(shu)入(ru)端(duan)和(he)反(fan)相(xiang)輸(shu)入(ru)端(duan)中(zhong)的(de)電(dian)流(liu)十(shi)分(fen)微(wei)小(xiao),比(bi)外(wai)電(dian)路(lu)中(zhong)的(de)電(dian)流(liu)小(xiao)幾(ji)個(ge)數(shu)量(liang)級(ji),流(liu)入(ru)運(yun)放(fang)的(de)電(dian)流(liu)往(wang)往(wang)可(ke)以(yi)忽(hu)略(lve),這(zhe)相(xiang)當(dang)運(yun)放(fang)的(de)輸(shu)入(ru)端(duan)開(kai)路(lu),這(zhe)一(yi)特(te)性(xing)稱(cheng)為(wei)虛(xu)斷(duan)。顯(xian)然(ran),運(yun)放(fang)的(de)輸(shu)入(ru)端(duan)不(bu)能(neng)真(zhen)正(zheng)開(kai)路(lu)。
運用“虛短”、“虛斷”這(zhe)兩(liang)個(ge)概(gai)念(nian),在(zai)分(fen)析(xi)運(yun)放(fang)線(xian)性(xing)應(ying)用(yong)電(dian)路(lu)時(shi),可(ke)以(yi)簡(jian)化(hua)應(ying)用(yong)電(dian)路(lu)的(de)分(fen)析(xi)過(guo)程(cheng)。運(yun)算(suan)放(fang)大(da)器(qi)構(gou)成(cheng)的(de)運(yun)算(suan)電(dian)路(lu)均(jun)要(yao)求(qiu)輸(shu)入(ru)與(yu)輸(shu)出(chu)之(zhi)間(jian)滿(man)足(zu)一(yi)定(ding)的(de)函(han)數(shu)關(guan)係(xi),因(yin)此(ci)均(jun)可(ke)應(ying)用(yong)這(zhe)兩(liang)條(tiao)結(jie)論(lun)。如(ru)果(guo)運(yun)放(fang)不(bu)在(zai)線(xian)性(xing)區(qu)工(gong)作(zuo),也(ye)就(jiu)沒(mei)有(you)“虛短”、“虛斷”的特性。如果測量運放兩輸入端的電位,達到幾毫伏以上,往往該運放不在線性區工作,或者已經損壞。
重要指標
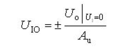
輸入失調電壓UIO
一個理想的集成運放,當輸入電壓為零時,輸出電壓也應為零(不加調零裝置)。但(dan)實(shi)際(ji)上(shang)集(ji)成(cheng)運(yun)放(fang)的(de)差(cha)分(fen)輸(shu)入(ru)級(ji)很(hen)難(nan)做(zuo)到(dao)完(wan)全(quan)對(dui)稱(cheng),通(tong)常(chang)在(zai)輸(shu)入(ru)電(dian)壓(ya)為(wei)零(ling)時(shi),存(cun)在(zai)一(yi)定(ding)的(de)輸(shu)出(chu)電(dian)壓(ya)。輸(shu)入(ru)失(shi)調(tiao)電(dian)壓(ya)是(shi)指(zhi)為(wei)了(le)使(shi)輸(shu)出(chu)電(dian)壓(ya)為(wei)零(ling)而(er)在(zai)輸(shu)入(ru)端(duan)加(jia)的(de)補(bu)償(chang)電(dian)壓(ya)。實(shi)際(ji)上(shang)是(shi)指(zhi)輸(shu)入(ru)電(dian)壓(ya)為(wei)零(ling)時(shi),將(jiang)輸(shu)出(chu)電(dian)壓(ya)除(chu)以(yi)電(dian)壓(ya)放(fang)大(da)倍(bei)數(shu),折(zhe)算(suan)到(dao)輸(shu)入(ru)端(duan)的(de)數(shu)值(zhi)稱(cheng)為(wei)輸(shu)入(ru)失(shi)調(tiao)電(dian)壓(ya),即UIO的大小反應了運放的對稱程度和電位配合情況。UIO越小越好,其量級在2mV~20mV之間,超低失調和低漂移運放的UIO一般在1μV~20μV之間 輸入失調電流IIO
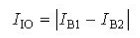
當輸出電壓為零時,差分輸入級的差分對管基極的靜態電流之差稱為輸入失調電流IIO,即

由於信號源內阻的存在,IIO的變化會引起輸入電壓的變化,使運放輸出電壓不為零。IIO愈小,輸入級差分對管的對稱程度越好,一般約為1nA~0.1μA。輸入偏置電流IIB
集成運放輸出電壓為零時,運放兩個輸入端靜態偏置電流的平均值定義為輸入偏置電流,即

從使用角度來看,偏置電流小好,由於信號源內阻變化引起的輸出電壓變化也愈小,故輸入偏置電流是重要的技術指標。一般IIB約為1nA~0.1μA。
輸入失調電壓溫漂△UIO/△T
輸(shu)入(ru)失(shi)調(tiao)電(dian)壓(ya)溫(wen)漂(piao)是(shi)指(zhi)在(zai)規(gui)定(ding)工(gong)作(zuo)溫(wen)度(du)範(fan)圍(wei)內(nei),輸(shu)入(ru)失(shi)調(tiao)電(dian)壓(ya)隨(sui)溫(wen)度(du)的(de)變(bian)化(hua)量(liang)與(yu)溫(wen)度(du)變(bian)化(hua)量(liang)的(de)比(bi)值(zhi)。它(ta)是(shi)衡(heng)量(liang)電(dian)路(lu)溫(wen)漂(piao)的(de)重(zhong)要(yao)指(zhi)標(biao),不(bu)能(neng)用(yong)外(wai)接(jie)調(tiao)零(ling)裝(zhuang)置(zhi)的(de)辦(ban)法(fa)來(lai)補(bu)償(chang)。輸(shu)入(ru)失(shi)調(tiao)電(dian)壓(ya)溫(wen)漂(piao)越(yue)小(xiao)越(yue)好(hao)。一(yi)般(ban)的(de)運(yun)放(fang)的(de)輸(shu)入(ru)失(shi)調(tiao)電(dian)壓(ya)溫(wen)漂(piao)在(zai)±1mV/℃~±20mV/℃之間。
輸入失調電流溫漂 △IIO/△T
在zai規gui定ding工gong作zuo溫wen度du範fan圍wei內nei,輸shu入ru失shi調tiao電dian流liu隨sui溫wen度du的de變bian化hua量liang與yu溫wen度du變bian化hua量liang之zhi比bi值zhi稱cheng為wei輸shu入ru失shi調tiao電dian流liu溫wen漂piao。輸shu入ru失shi調tiao電dian流liu溫wen漂piao是shi放fang大da電dian路lu電dian流liu漂piao移yi的de量liang度du,不bu能neng用yong外wai接jie調tiao零ling裝zhuang置zhi來lai補bu償chang。高gao質zhi量liang的de運yun放fang每mei度du幾ji個gepA。
最大差模輸入電壓Uidmax
最大差模輸入電壓Uidmax是指運放兩輸入端能承受的最大差模輸入電壓。超過此電壓,運放輸入級對管將進入非線性區,而使運放的性能顯著惡化,甚至造成損壞。根據工藝不同,Uidmax約為±5V~±30V。
最大共模輸入電壓Uicmax
最大共模輸入電壓Uicmax是(shi)指(zhi)在(zai)保(bao)證(zheng)運(yun)放(fang)正(zheng)常(chang)工(gong)作(zuo)條(tiao)件(jian)下(xia),運(yun)放(fang)所(suo)能(neng)承(cheng)受(shou)的(de)最(zui)大(da)共(gong)模(mo)輸(shu)入(ru)電(dian)壓(ya)。共(gong)模(mo)電(dian)壓(ya)超(chao)過(guo)此(ci)值(zhi)時(shi),輸(shu)入(ru)差(cha)分(fen)對(dui)管(guan)的(de)工(gong)作(zuo)點(dian)進(jin)入(ru)非(fei)線(xian)性(xing)區(qu),放(fang)大(da)器(qi)失(shi)去(qu)共(gong)模(mo)抑(yi)製(zhi)能(neng)力(li),共(gong)模(mo)抑(yi)製(zhi)比(bi)顯(xian)著(zhu)下(xia)降(jiang)。
最大共模輸入電壓Uicmax定義為,標稱電源電壓下將運放接成電壓跟隨器時,使輸出電壓產生1%跟隨誤差的共模輸入電壓值;或定義為 下降6dB時所加的共模輸入電壓值。
開環差模電壓放大倍數Aud是指集成運放工作在線性區、接入規定的負載,輸出電壓的變化量與運放輸入端口處的輸入電壓的變化量之比。運放的Aud在60~120dB之間。不同功能的運放,Aud相差懸殊。
差模輸入電阻Rid是指輸入差模信號時運放的輸入電阻。Rid越大,對信號源的影響越小,運放的輸入電阻Rid一般都在幾百千歐以上。
運放共模抑製比KCMR的定義與差分放大電路中的定義相同,是差模電壓放大倍數與共模電壓放大倍數之比,常用分貝數來表示。不同功能的運放,KCMR也不相同,有的在60~70dB之間,有的高達180dB。KCMR越大,對共模幹擾抑製能力越強。
開環帶寬BW
開環帶寬又稱-3dB帶寬,是指運算放大器的差模電壓放大倍數Aud在高頻段下降3dB所對應的頻率fH。
單位增益帶寬BWG是指信號頻率增加,使Aud下降到1時所對應的頻率fT,即Aud為0dB時的信號頻率fT。它是集成運放的重要參數。741型運放的 fT=7Hz,是比較低的。
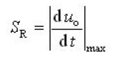
轉換速率SR (壓擺率)
轉換速率SR
是指放大電路在電壓放大倍數等於1的條件下,輸入大信號(例如階躍信號)時,放大電路輸出電壓對時間的最大變化速率,見圖7-1-1。它反映了運放對於快速變化的輸入信號的響應能力。轉換速率SR的表達式為

轉換速率SR是在大信號和高頻信號工作時的一項重要指標,目前一般通用型運放壓擺率在1~10V/μs左右。

單位增益帶寬BWG (fT)
共模抑製比KCMR
差模輸入電阻
開環差模電壓放大倍數Aud

開環帶寬:
開環帶寬定義為,將一個恒幅正弦小信號輸入到運放的輸入端,從運放的輸出端測得開環電壓增益從運放的直流增益下降3db(或是相當於運放的直流增益的0.707)所對應的信號頻率。這用於很小信號處理。
單位增益帶寬GB:
單位增益帶寬定義為,運放的閉環增益為1倍條件下,將一個恒幅正弦小信號輸入到運放的輸入端,從運放的輸出端測得閉環電 壓增益下降3db(或是相當於運放輸入信號的0.707)所對應的信號頻率。單位增益帶寬是一個很重要的指標,對於正弦小信號放大時,單位增益帶寬等於輸 入(ru)信(xin)號(hao)頻(pin)率(lv)與(yu)該(gai)頻(pin)率(lv)下(xia)的(de)最(zui)大(da)增(zeng)益(yi)的(de)乘(cheng)積(ji),換(huan)句(ju)話(hua)說(shuo),就(jiu)是(shi)當(dang)知(zhi)道(dao)要(yao)處(chu)理(li)的(de)信(xin)號(hao)頻(pin)率(lv)和(he)信(xin)號(hao)需(xu)要(yao)的(de)增(zeng)以(yi)後(hou),可(ke)以(yi)計(ji)算(suan)出(chu)單(dan)位(wei)增(zeng)益(yi)帶(dai)寬(kuan),用(yong)以(yi)選(xuan)擇(ze)合(he)適(shi)的(de)運(yun)放(fang)。這(zhe)用(yong)於(yu) 小信號處理中運放選型。
轉換速率(也稱為壓擺率)SR:
運放轉換速率定義為,運放接成閉環條件下,將一個大信號(含階躍信號)輸入到運放的輸入端,從運放的輸出 端(duan)測(ce)得(de)運(yun)放(fang)的(de)輸(shu)出(chu)上(shang)升(sheng)速(su)率(lv)。由(you)於(yu)在(zai)轉(zhuan)換(huan)期(qi)間(jian),運(yun)放(fang)的(de)輸(shu)入(ru)級(ji)處(chu)於(yu)開(kai)關(guan)狀(zhuang)態(tai),所(suo)以(yi)運(yun)放(fang)的(de)反(fan)饋(kui)回(hui)路(lu)不(bu)起(qi)作(zuo)用(yong),也(ye)就(jiu)是(shi)轉(zhuan)換(huan)速(su)率(lv)與(yu)閉(bi)環(huan)增(zeng)益(yi)無(wu)關(guan)。轉(zhuan)換(huan)速(su)率(lv)對(dui)於(yu)大(da)信(xin)號(hao) 處理是一個很重要的指標,對於一般運放轉換速率SR<=10V/μs,高速運放的轉換速率SR>10V/μs。目前的高速運放最高轉換速率 SR達到6000V/μs。這用於大信號處理中運放選型。
全功率帶寬BW:
全功率帶寬定義為,在額定的負載時,運放的閉環增益為1倍條件下,將一個恒幅正弦大信號輸入到運放的輸入端,使運放輸出 幅度達到最大(允許一定失真)的信號頻率。這個頻率受到運放轉換速率的限製。近似地,全功率帶寬=轉換速率/2πVop(Vop是運放的峰值輸出幅度)。全功率帶寬是一個很重要的指標,用於大信號處理中運放選型。
建立時間:
建立時間定義為,在額定的負載時,運放的閉環增益為1倍條件下,將一個階躍大信號輸入到運放的輸入端,使運放輸出由0增加到某 一給定值的所需要的時間。由於是階躍大信號輸入,輸出信號達到給定值後會出現一定抖動,這個抖動時間稱為穩定時間。穩定時間+上升時間=建立時間。對於不 同的輸出精度,穩定時間有較大差別,精度越高,穩定時間越長。建立時間是一個很重要的指標,用於大信號處理中運放選型。
等效輸入噪聲電壓:
等效輸入噪聲電壓定義為,屏蔽良好、無信號輸入的的運放,在其輸出端產生的任何交流無規則的幹擾電壓。這個噪聲電壓折算到運放輸入端時,就稱為運放輸入噪聲電壓(有時也用噪聲電流表示)。對於寬帶噪聲,普通運放的輸入噪聲電壓有效值約10~20μV。
差模輸入阻抗(也稱為輸入阻抗):
差模輸入阻抗定義為,運放工作在線性區時,兩輸入端的電壓變化量與對應的輸入端電流變化量的比值。差模輸 ruzukangbaokuoshurudianzuheshurudianrong,zaidipinshijinzhishurudianzu。yibanchanpinyejinjingeichushurudianzu。caiyongshuangjixingjingtiguanzuoshurujideyunfangdeshurudianzubudayu10兆歐;場效應管 做輸入級的運放的輸入電阻一般大於109歐。
共模輸入阻抗:
共模輸入阻抗定義為,運放工作在輸入信號時(即運放兩輸入端輸入同一個信號),共(gong)模(mo)輸(shu)入(ru)電(dian)壓(ya)的(de)變(bian)化(hua)量(liang)與(yu)對(dui)應(ying)的(de)輸(shu)入(ru)電(dian)流(liu)變(bian)化(hua)量(liang)之(zhi)比(bi)。在(zai)低(di)頻(pin)情(qing)況(kuang)下(xia),它(ta)表(biao)現(xian)為(wei)共(gong)模(mo)電(dian)阻(zu)。通(tong)常(chang),運(yun)放(fang)的(de)共(gong)模(mo)輸(shu)入(ru)阻(zu)抗(kang)比(bi)差(cha)模(mo)輸(shu)入(ru)阻(zu)抗(kang)高(gao)很(hen)多(duo),典(dian)型(xing)值(zhi)在(zai)108歐以上。
輸出阻抗:
輸shu出chu阻zu抗kang定ding義yi為wei,運yun放fang工gong作zuo在zai線xian性xing區qu時shi,在zai運yun放fang的de輸shu出chu端duan加jia信xin號hao電dian壓ya,這zhe個ge電dian壓ya變bian化hua量liang與yu對dui應ying的de電dian流liu變bian化hua量liang的de比bi值zhi。在zai低di頻pin時shi僅jin指zhi運yun放fang的de輸shu出chu電dian阻zu。這zhe個ge參can數shu在zai開kai環huan測ce試shi。
推薦閱讀:
特別推薦
- 噪聲中提取真值!瑞盟科技推出MSA2240電流檢測芯片賦能多元高端測量場景
- 10MHz高頻運行!氮矽科技發布集成驅動GaN芯片,助力電源能效再攀新高
- 失真度僅0.002%!力芯微推出超低內阻、超低失真4PST模擬開關
- 一“芯”雙電!聖邦微電子發布雙輸出電源芯片,簡化AFE與音頻設計
- 一機適配萬端:金升陽推出1200W可編程電源,賦能高端裝備製造
技術文章更多>>
- 貿澤EIT係列新一期,探索AI如何重塑日常科技與用戶體驗
- 算力爆發遇上電源革新,大聯大世平集團攜手晶豐明源線上研討會解鎖應用落地
- 創新不止,創芯不已:第六屆ICDIA創芯展8月南京盛大啟幕!
- AI時代,為什麼存儲基礎設施的可靠性決定數據中心的經濟效益
- 矽典微ONELAB開發係列:為毫米波算法開發者打造的全棧工具鏈
技術白皮書下載更多>>
- 車規與基於V2X的車輛協同主動避撞技術展望
- 數字隔離助力新能源汽車安全隔離的新挑戰
- 汽車模塊拋負載的解決方案
- 車用連接器的安全創新應用
- Melexis Actuators Business Unit
- Position / Current Sensors - Triaxis Hall
熱門搜索






