信號完整性基礎:瞬態阻抗與特性阻抗圖解
發布時間:2021-10-28 責任編輯:lina
【導讀】如果PCBshangxiantiaodehouduhekuandububian,bingqiezouxianhefanhuipingmianjianjulibubian,namexinhaoganshoudaodeshuntaizukangjiububian,chuanshuxianshijunyunde。duiyujunyunchuanshuxian,hengdingdeshuntaizukangshuominglechuanshuxiandetexing,chengweitexingzukang。
阻抗的均勻穩定,對信號的傳輸至關重要,所以,本文聊一聊阻抗。

瞬態阻抗

當信號在傳輸線上傳播時,信號感受到的瞬態阻抗與單位長度電容和材料的介電常數有關,可表示為:

這個公式的推導過程如

而電流的推導可以由以下式子求得:

如果PCBshangxiantiaodehouduhekuandububian,bingqiezouxianhefanhuipingmianjianjulibubian,namexinhaoganshoudaodeshuntaizukangjiububian,chuanshuxianshijunyunde。duiyujunyunchuanshuxian,hengdingdeshuntaizukangshuominglechuanshuxiandetexing,chengweitexingzukang。

2. 特性阻抗
對於均勻傳輸線,當信號在上麵傳播時,在任何一處受到的瞬態阻抗都是相同的。在瞬態阻抗不變時,我們將其稱為特性阻抗。
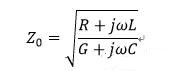
傳輸線的特性阻抗Z0定義為線上任意點的電壓和電流的比值,即Z0=V/I. 由電報方程可以推導出阻抗的經典計算公式:

如果PCBshangxiantiaodehouduzengdahuozhekuanduzengjia,danweichangdudianrongzengjia,texingzukangjiubianxiao。tongyang,zouxianhefanhuipingmianjianjulijianxiao,dianrongzengda,texingzukangyejianxiao。qizhong,R、L、G、C分別表示單位長度的電阻、電感、電導和電容。通常,因為R和G都比其他項要小得多而忽略不計,特征阻抗近似為

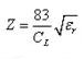
重要推導之一:50 歐姆阻抗的計算由來
youtexingzukangdegongshi,keyikanchuzhiyaochuanshuxiandehengjiemianhecailiaotexingzhelianggecanshubaochibubian,xinhaoshoudaodeshuntaizukangjiushiyigechangshu。youyuxinhaodedesuduqujueyucailiaotexing,suoyi,keyidechuchuanshuxiandanweichangdudianrongheshuntaizukangdeguanxi。liru,ruojiedianchangshuwei4,單位長度電容為3.3pf/in,則傳輸線的瞬態阻抗為,

重要推導之二:自由空間的特性阻抗
一個很重要的特性阻抗就是自由空間的特性阻抗,也叫自由空間的波阻抗,在EMC中非常重要。自由空間特性阻抗為 。
重要推導之三:單位長度電容與單位長度電感
FR4板材的PCB板上,特性阻抗傳輸線另一個特性是:
單位長度電容=3.3pF/in
單位長度電感=8.3nH/i
解這些特殊的特性阻抗,對於設計電路板有重要的參考意義,能讓我們在製作電路前有個直覺的認識。
免責聲明:本文為轉載文章,轉載此文目的在於傳遞更多信息,版權歸原作者所有。本文所用視頻、圖片、文字如涉及作品版權問題,請電話或者郵箱聯係小編進行侵刪。
推薦閱讀:
- 噪聲中提取真值!瑞盟科技推出MSA2240電流檢測芯片賦能多元高端測量場景
- 10MHz高頻運行!氮矽科技發布集成驅動GaN芯片,助力電源能效再攀新高
- 失真度僅0.002%!力芯微推出超低內阻、超低失真4PST模擬開關
- 一“芯”雙電!聖邦微電子發布雙輸出電源芯片,簡化AFE與音頻設計
- 一機適配萬端:金升陽推出1200W可編程電源,賦能高端裝備製造
- 一秒檢測,成本降至萬分之一,光引科技把幾十萬的台式光譜儀“搬”到了手腕上
- AI服務器電源機櫃Power Rack HVDC MW級測試方案
- 突破工藝邊界,奎芯科技LPDDR5X IP矽驗證通過,速率達9600Mbps
- 通過直接、準確、自動測量超低範圍的氯殘留來推動反滲透膜保護
- 從技術研發到規模量產:恩智浦第三代成像雷達平台,賦能下一代自動駕駛!
- 車規與基於V2X的車輛協同主動避撞技術展望
- 數字隔離助力新能源汽車安全隔離的新挑戰
- 汽車模塊拋負載的解決方案
- 車用連接器的安全創新應用
- Melexis Actuators Business Unit
- Position / Current Sensors - Triaxis Hall





