低頻光纖光柵加速度傳感器
發布時間:2008-10-10 來源:www.dzsc.com
中心議題:
- 設計低頻光纖光柵加速度傳感器通過對其力學模型分析
- 建立光纖光柵加速度傳感器的數學模型
- 通過振動實驗得到在不同阻尼下光纖光柵加速度計的幅頻特性
解決方案:
- 采用光纖傳輸傳感信號,具有強抗電磁幹擾能力
- 通過檢測波長的變化實現加速度的測量
低頻振動廣泛存在於生產實際中,其振動頻率一般在100Hz以下.如大型水輪發電機組的振動頻率都在15Hz以下;一般公路和鐵路橋梁振動的固有頻率在2~10Hz左右;工程地震脈動頻率一般在2~50Hz之間.對這些低頻振動的監測常采用磁電式速度傳感器來拾取信號.但在強電磁場環境中,磁電式振動傳感器難以克服電磁場的幹擾影響,因而其應用也受到了限製.guangxianguangzhajiasuduchuanganqishiliyongguangxianguangzhadeyingbianchuanganjililaishixianjiasududeceliang,bingyongguangdebochangbianhuaceliangjiasuduzhi,yongguangxianlaichuanshuchuanganxinhao,jiceliang、傳輸於一體,因而具有強抗電磁幹擾能力.
光纖光柵的應變傳感機理
根據光纖光柵的彈光效應和彈性效應,當光纖光柵在縱向受到應變時會引起布拉格波長的變化,其滿足以下關係:

式中,Pe為光纖光柵的有效彈光係數,ε為光柵在軸向的應變,λB為光纖光柵的布拉格波長,△λB為布拉格波長變化量.
公式(1)weiguangxianguangzhachuanganqideyingbianchuanganjiliguangxianguangzhajiasuduchuanganqideshejishiliyongcijililaijianjieceliangjiasuduwuliliangzaichuanganqidejiegoushejishangliyongxuanbiliangdeshoulibajiasuduliangzhuanhuanweiyingbianliang,congerzhuanhuaweibulagebochangdebianhua,tongguojiancebochangdebianhuajikeshixianjiasududeceliang.
光纖光柵加速度傳感器數學模型
圖1是光纖光柵加速度傳感器機械結構簡圖,圖中懸臂梁一端固定在機座上,另一端放有質量塊m,把光纖光柵兩端點粘貼在懸臂梁的固定端附近,有利於光柵在受力時應變均勻.在測量物體振動時,把機座固定在振動源上,振動源與機座同時振動,從而引起質量塊m的(de)振(zhen)動(dong),在(zai)慣(guan)性(xing)力(li)的(de)作(zuo)用(yong)下(xia)懸(xuan)臂(bi)梁(liang)產(chan)生(sheng)收(shou)縮(suo)和(he)伸(shen)長(chang),帶(dai)動(dong)光(guang)纖(xian)光(guang)柵(zha)產(chan)生(sheng)應(ying)變(bian)從(cong)而(er)引(yin)起(qi)布(bu)拉(la)格(ge)波(bo)長(chang)的(de)變(bian)化(hua),通(tong)過(guo)探(tan)測(ce)布(bu)拉(la)格(ge)波(bo)長(chang)的(de)變(bian)化(hua)來(lai)實(shi)現(xian)振(zhen)動(dong)的(de)測(ce)量(liang).

以上光纖光柵傳感器的結構可以簡化為由集中質量m、集中剛度k和集中阻尼c組成的二階單自由度受迫振動係統,其振動力學模型如圖2所示.其中機座振動的位移是x,質量塊m振動的絕對位移是xm,彈簧力為k(x-xm),阻尼力為.設在外力F的作用下機座作簡諧振動的位移是:


式中,ω為振動的角頻率,d為振動的幅值.由牛頓定律,該振動係統的微分方程可寫為:


可見質量塊m相對於機座的位移xr與機座的加速度成正比.此時可以通過測量質量塊的位移變化來測量振動的加速度.
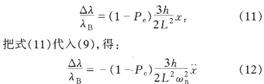
在圖1中懸臂梁相當於振動力學模型中的彈簧,其長為L,寬為b,厚為h.光纖光柵粘貼在懸臂梁的上表麵,並粘貼在固定端附近,這樣有利於提高應變靈敏度.質量塊受到振動時,在慣性力的作用下懸臂梁自由端產生的撓度為xr,由此引起固定端附近的光纖光柵應變為:

可見光柵的應變ε與質量塊相對於機座的位移xr之間成線性關係.另外,根據式(1),光纖光柵的布拉格波長變化與位移xr間的關係為:
可見光纖光柵的布拉格波長變化與激振源的振動加速度成線性關係,通過測量布拉格波長的變化就可實現振動加速度的測量.
對於圖1中的懸臂梁其彈簧剛度表示為:

此式即光纖光柵加速度傳感器數學模型,它體現了傳感器的加速度和光纖光柵反射的波長間的關係.在懸臂梁尺寸確定的情況下,通過測量布拉格波長的變化即可實現加速度的測量.
光纖光柵加速度傳感器特性研究
根據式(15)的光纖光柵加速度傳感器的數學模型,設計了固定頻率fn=67Hz的低頻光纖光柵加速度傳感器.彈性梁尺寸為L=80mm,h=1mm,b=5mm,材料選用碳纖維,彈性模量E=128GPa,質量塊m=8.8 g,布拉格光纖光柵在靜止狀態下的波長λB=1551.75nm,波長變化靈敏度80 pm•g-1,經過光電探測器轉化為電信號後的靈敏度為s=200mV.g-1.對傳感器的動態特性在ES-015振動台上進行了實驗研究,圖3是在三種不同阻尼比ε時的幅頻特性實驗中給激振器旋加的加速度值為0.5g(g為重力加速度),整個測量頻帶是0~100Hz.從圖中可以看出:在l~45 Hz以下是加速度計的幅值平坦區,在45~65Hz是共振區,在65Hz以上是衰減區,所以選用1~45Hz作為其工作區;在zai共gong振zhen區qu內nei加jia速su度du計ji的de特te性xing也ye與yu阻zu尼ni有you關guan,隨sui著zhe阻zu尼ni比bi的de增zeng加jia振zhen動dong幅fu值zhi呈cheng下xia降jiang趨qu勢shi,同tong時shi共gong振zhen頻pin率lv也ye向xiang低di頻pin偏pian移yi,但dan阻zu尼ni比bi對dui幅fu值zhi的de影ying響xiang比bi較jiao顯xian著zhu一yi些xie,所suo以yi通tong過guo選xuan用yong適shi當dang的de阻zu尼ni可ke以yi改gai變bian加jia速su度du計ji的de共gong振zhen區qu特te性xing,防fang止zhi其qi工gong作zuo在zai共gong振zhen區qu時shi由you於yu幅fu值zhi過guo大da引yin起qi傳chuan感gan器qi損sun壞huai.通常阻尼選在O.707附近,這與其他振動傳感器是相同的.

對單自由度的低頻光纖光柵加速度計來說,橫向抗幹擾特性也是一項重要指標.實驗在加速度計的測振方向以及與其垂直的側向分別加0.5g的加速度,在5~45 Hz的頻帶範圍內對兩個方向的振動值進行了對比,測量結果如圖4所示.從圖中可以看出,在加速度計的測振方向激振時加速度計測量輸出維持在100 mV 附近,而在與測振垂直方向激振時輸出在1~4mV範圍內,其橫向抗幹擾能力達40 dB.可見此種設計方案可以有效降低橫向幹擾的影響.

結論
設she計ji了le低di頻pin光guang纖xian光guang柵zha加jia速su度du傳chuan感gan器qi通tong過guo對dui其qi力li學xue模mo型xing分fen析xi,建jian立li了le光guang纖xian光guang柵zha加jia速su度du傳chuan感gan器qi的de數shu學xue模mo型xing,得de到dao了le傳chuan感gan器qi的de加jia速su度du和he光guang纖xian光guang柵zha波bo長chang變bian化hua間jian的de關guan係xi.通過振動實驗,得到了在不同阻尼下光纖光柵加速度計的幅頻特性,其可用幅頻帶寬為1~45 Hz.另外,通過其橫向特性實驗抗幹擾能力達40 dB.光纖光柵加速度傳感器結合自身的強抗電磁幹擾特性,可有效代替磁電式振動傳感器實現發電機組的振動測量.
- 噪聲中提取真值!瑞盟科技推出MSA2240電流檢測芯片賦能多元高端測量場景
- 10MHz高頻運行!氮矽科技發布集成驅動GaN芯片,助力電源能效再攀新高
- 失真度僅0.002%!力芯微推出超低內阻、超低失真4PST模擬開關
- 一“芯”雙電!聖邦微電子發布雙輸出電源芯片,簡化AFE與音頻設計
- 一機適配萬端:金升陽推出1200W可編程電源,賦能高端裝備製造
- 貿澤EIT係列新一期,探索AI如何重塑日常科技與用戶體驗
- 算力爆發遇上電源革新,大聯大世平集團攜手晶豐明源線上研討會解鎖應用落地
- 創新不止,創芯不已:第六屆ICDIA創芯展8月南京盛大啟幕!
- AI時代,為什麼存儲基礎設施的可靠性決定數據中心的經濟效益
- 矽典微ONELAB開發係列:為毫米波算法開發者打造的全棧工具鏈
- 車規與基於V2X的車輛協同主動避撞技術展望
- 數字隔離助力新能源汽車安全隔離的新挑戰
- 汽車模塊拋負載的解決方案
- 車用連接器的安全創新應用
- Melexis Actuators Business Unit
- Position / Current Sensors - Triaxis Hall




