如何選擇旁路電容
發布時間:2010-12-15 來源:電子發燒友
中心議題:
下麵的小節將詳細討論這些缺陷。
1、電容的等效串聯電阻和引腳電感
等(deng)效(xiao)串(chuan)聯(lian)電(dian)阻(zu)像(xiang)一(yi)個(ge)電(dian)阻(zu)一(yi)樣(yang),與(yu)電(dian)容(rong)串(chuan)聯(lian)。引(yin)腳(jiao)電(dian)感(gan)像(xiang)一(yi)電(dian)感(gan)線(xian)圈(quan)一(yi)樣(yang),與(yu)同(tong)一(yi)個(ge)電(dian)容(rong)串(chuan)聯(lian)。它(ta)們(men)共(gong)同(tong)發(fa)揮(hui)作(zuo)用(yong),降(jiang)低(di)了(le)電(dian)容(rong)作(zuo)為(wei)一(yi)個(ge)旁(pang)路(lu)元(yuan)件(jian)的(de)效(xiao)果(guo)。
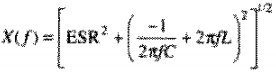
作為頻率的一個函數,電容的完整阻抗方程是:
其中:ESR=等效串聯電阻,Ω
C=電容,F
L=引腳電感,H
X(F)=在頻率F(HZ)時的阻抗大小,Ω
上式計算了圖8.9中電容C2和電容陣列C3的曲線。圖8.9中假設C2和C3電容陣列的每個元件的ESR都為0.1歐,總的電路板麵積為10IN的2次方,電源的和地之間有0.01IN厚的FR-4電介質。
圖8.9顯示,旁路電路的諧振頻率大約是300MHZ,這是由於電容陣列的引腳電感和電源與地之間的電容而產生的。因為這個設計的數字轉折頻率低於100MHZ,因此不必擔心。如果數字轉折頻率比較高,試試用表麵貼裝的電容陣列,其電感比較低,提高了諧振頻率並降低了幅度。
生產商的數據手冊上並不總是有ESR參數,但它是非常重要的。不要相鄰銷售人員告訴你的指標,要拿到書麵形式的說明。
要測量ESR,可以使用圖6.14所示的測量裝置,與測量一個端接電阻的電感方法相同。
[page]
如圖6.14所示,當我們把一個旁路電容C放在被測設備上時,期望有好的,幹淨的RC上升時間。我們希望得到大的源端阻抗,如1K。在圖6.14的測試裝置中,源端阻抗小,因此得到一個完全不同的結果。RC上升時間加快,引腳電感和ESR的旁路應用中,通常源端阻抗是1歐數量級的,速度是在納秒,能直接測量引腳電感和ESR的影響。在數字旁路應用中,通常源端阻抗是1歐數量級的,速度是在納秒範圍的,因此這樣考慮旁路元件的方法是合理的。
圖8.11的典型畫出了一個實際的0.1UF旁路電容的階躍響應。響應分別采用10NS/刻度和2NS/刻度繪出。兩個曲線圖分別把測試夾具的開路響應和被測電容的響應疊加在一起。
階躍響應顯示了三個明顯的特征:一個尖峰、一個階躍和一條慢的完整斜坡。通過正確地分折這些特性,可以確定待測器件的引腳電感,ESR和電容。
1、起初的2NS是一個短的尖峰。產生這個尖峰是由於引腳電感的作用。我們可以用尖峰下的麵積來估算引腳電感。

其中:RS=測試夾具的源端阻抗,Ω
A=尖峰下的麵積V-S
△V=測試夾具的開路階躍電壓,V
L=引腳電感,H
2、緊接在尖峰之後的波形相對平坦,偏移在零以上。這種形態是由電容的ESR引起的,在這個時刻,電容還沒有開放充電。在這個時刻,電容的一個好模型是隻有ESR直接連接到地。由測試夾具的源端阻抗插進電容的ESR形成的電阻分壓器,所產生的電壓近似與ESR成正比。

其中:RS=測試夾具的源端電阻,Ω
X=尖峰後測量的階躍電壓,V
△V=測試夾具的開路階躍電壓,V
在階躍保持之後,慢慢地傾斜增加。這是由於電容慢慢地充電的效果。充電速率DV/DT等於充電電流除以電容。充電電流約等於測試電路的開路電壓除以源端阻抗。

其中:R=測試夾具的源端電阻,Ω
X=尖峰後測量的階躍電壓,V
△V=測試夾具的開路階躍電壓,V
DV/DT=斜坡的充電速率,V/S
C=電容,F
當查看尖峰時候,記住引腳電感和ESR都是在該時刻起作用的。如果首先計算ESR,然後當測量尖峰下麵積時即可減去它的影響。圖8.11中的2NS/刻度上顯示的三條線分別是測試夾具開路波形、直接測量響應波形、直接測量響應的副本按比例減去開路波形的副本。這種減法解決了ESR的影響。這裏的減法和麵積測量是使用TEKTRONX11403數字示波器的功能進行的。
- 旁路電容的產生與等效計算
下麵的小節將詳細討論這些缺陷。
1、電容的等效串聯電阻和引腳電感
等(deng)效(xiao)串(chuan)聯(lian)電(dian)阻(zu)像(xiang)一(yi)個(ge)電(dian)阻(zu)一(yi)樣(yang),與(yu)電(dian)容(rong)串(chuan)聯(lian)。引(yin)腳(jiao)電(dian)感(gan)像(xiang)一(yi)電(dian)感(gan)線(xian)圈(quan)一(yi)樣(yang),與(yu)同(tong)一(yi)個(ge)電(dian)容(rong)串(chuan)聯(lian)。它(ta)們(men)共(gong)同(tong)發(fa)揮(hui)作(zuo)用(yong),降(jiang)低(di)了(le)電(dian)容(rong)作(zuo)為(wei)一(yi)個(ge)旁(pang)路(lu)元(yuan)件(jian)的(de)效(xiao)果(guo)。
作為頻率的一個函數,電容的完整阻抗方程是:

C=電容,F
L=引腳電感,H
X(F)=在頻率F(HZ)時的阻抗大小,Ω
上式計算了圖8.9中電容C2和電容陣列C3的曲線。圖8.9中假設C2和C3電容陣列的每個元件的ESR都為0.1歐,總的電路板麵積為10IN的2次方,電源的和地之間有0.01IN厚的FR-4電介質。

生產商的數據手冊上並不總是有ESR參數,但它是非常重要的。不要相鄰銷售人員告訴你的指標,要拿到書麵形式的說明。
要測量ESR,可以使用圖6.14所示的測量裝置,與測量一個端接電阻的電感方法相同。
[page]圖8.11的典型畫出了一個實際的0.1UF旁路電容的階躍響應。響應分別采用10NS/刻度和2NS/刻度繪出。兩個曲線圖分別把測試夾具的開路響應和被測電容的響應疊加在一起。

1、起初的2NS是一個短的尖峰。產生這個尖峰是由於引腳電感的作用。我們可以用尖峰下的麵積來估算引腳電感。
其中:RS=測試夾具的源端阻抗,Ω
A=尖峰下的麵積V-S
△V=測試夾具的開路階躍電壓,V
L=引腳電感,H
2、緊接在尖峰之後的波形相對平坦,偏移在零以上。這種形態是由電容的ESR引起的,在這個時刻,電容還沒有開放充電。在這個時刻,電容的一個好模型是隻有ESR直接連接到地。由測試夾具的源端阻抗插進電容的ESR形成的電阻分壓器,所產生的電壓近似與ESR成正比。
其中:RS=測試夾具的源端電阻,Ω
X=尖峰後測量的階躍電壓,V
△V=測試夾具的開路階躍電壓,V
在階躍保持之後,慢慢地傾斜增加。這是由於電容慢慢地充電的效果。充電速率DV/DT等於充電電流除以電容。充電電流約等於測試電路的開路電壓除以源端阻抗。

其中:R=測試夾具的源端電阻,Ω
X=尖峰後測量的階躍電壓,V
△V=測試夾具的開路階躍電壓,V
DV/DT=斜坡的充電速率,V/S
C=電容,F
當查看尖峰時候,記住引腳電感和ESR都是在該時刻起作用的。如果首先計算ESR,然後當測量尖峰下麵積時即可減去它的影響。圖8.11中的2NS/刻度上顯示的三條線分別是測試夾具開路波形、直接測量響應波形、直接測量響應的副本按比例減去開路波形的副本。這種減法解決了ESR的影響。這裏的減法和麵積測量是使用TEKTRONX11403數字示波器的功能進行的。
特別推薦
- 噪聲中提取真值!瑞盟科技推出MSA2240電流檢測芯片賦能多元高端測量場景
- 10MHz高頻運行!氮矽科技發布集成驅動GaN芯片,助力電源能效再攀新高
- 失真度僅0.002%!力芯微推出超低內阻、超低失真4PST模擬開關
- 一“芯”雙電!聖邦微電子發布雙輸出電源芯片,簡化AFE與音頻設計
- 一機適配萬端:金升陽推出1200W可編程電源,賦能高端裝備製造
技術文章更多>>
- 貿澤EIT係列新一期,探索AI如何重塑日常科技與用戶體驗
- 算力爆發遇上電源革新,大聯大世平集團攜手晶豐明源線上研討會解鎖應用落地
- 創新不止,創芯不已:第六屆ICDIA創芯展8月南京盛大啟幕!
- AI時代,為什麼存儲基礎設施的可靠性決定數據中心的經濟效益
- 矽典微ONELAB開發係列:為毫米波算法開發者打造的全棧工具鏈
技術白皮書下載更多>>
- 車規與基於V2X的車輛協同主動避撞技術展望
- 數字隔離助力新能源汽車安全隔離的新挑戰
- 汽車模塊拋負載的解決方案
- 車用連接器的安全創新應用
- Melexis Actuators Business Unit
- Position / Current Sensors - Triaxis Hall
熱門搜索
微波功率管
微波開關
微波連接器
微波器件
微波三極管
微波振蕩器
微電機
微調電容
微動開關
微蜂窩
位置傳感器
溫度保險絲
溫度傳感器
溫控開關
溫控可控矽
聞泰
穩壓電源
穩壓二極管
穩壓管
無焊端子
無線充電
無線監控
無源濾波器
五金工具
物聯網
顯示模塊
顯微鏡結構
線圈
線繞電位器
線繞電阻



