感應無線位置檢測係統設計
發布時間:2011-07-21
中心議題:
- 感應無線位置檢測係統總體結構
- 感應無線位置檢測方法研究
- 感應無線位置檢測電路
解決方案:
- APD檢測和HRPD檢測
- 感應無線位置檢測實例分析
- 感應無線位置檢測實驗
工業作業機車的自動定位是機車自動化操作的基礎,它要求檢測裝置能精確、快速、可(ke)靠(kao)地(di)檢(jian)測(ce)機(ji)車(che)行(xing)走(zou)位(wei)置(zhi)。感(gan)應(ying)無(wu)線(xian)技(ji)術(shu)是(shi)二(er)十(shi)世(shi)紀(ji)七(qi)十(shi)年(nian)代(dai)末(mo)在(zai)日(ri)本(ben)發(fa)展(zhan)起(qi)來(lai)的(de)一(yi)項(xiang)新(xin)的(de)工(gong)業(ye)應(ying)用(yong)技(ji)術(shu),主(zhu)要(yao)是(shi)針(zhen)對(dui)工(gong)業(ye)生(sheng)產(chan)中(zhong)大(da)型(xing)移(yi)動(dong)機(ji)車(che)的(de)自(zi)動(dong)化(hua)而(er)研(yan)製(zhi)的(de)。感(gan)應(ying)無(wu)線(xian)位(wei)置(zhi)檢(jian)測(ce)是(shi)通(tong)過(guo)安(an)裝(zhuang)在(zai)移(yi)動(dong)機(ji)車(che)上(shang)的(de)天(tian)線(xian)箱(xiang)中(zhong)的(de)感(gan)應(ying)線圈與(yu)敷(fu)設(she)在(zai)地(di)麵(mian)軌(gui)道(dao)旁(pang)的(de)編(bian)碼(ma)電(dian)纜(lan)中(zhong)傳(chuan)輸(shu)對(dui)線(xian)之(zhi)間(jian)的(de)電(dian)磁(ci)感(gan)應(ying),檢(jian)測(ce)感(gan)應(ying)信(xin)號(hao)的(de)相(xiang)位(wei)與(yu)幅(fu)度(du),從(cong)而(er)得(de)到(dao)移(yi)動(dong)機(ji)車(che)的(de)位(wei)置(zhi)。感(gan)應(ying)無(wu)線(xian)位(wei)置(zhi)檢(jian)測(ce)的(de)特(te)點(dian)是(shi)重(zhong)複(fu)性(xing)好(hao)、檢測精度高、安全性好、適用性強、抗幹擾性強、可靠性高。
1 感應無線位置檢測係統總體結構
自動控製係統中,必須解決兩個基本問題:a.控製和受控雙方可靠的數據通信;b.移動機車所在位置的位置檢測。感應無線位置檢測係統,將感應無線數據通信和位置檢測融合在一個係統中,它由位置信號發生器、編碼電纜、感應天線、位置檢測器組成。其中感應天線箱安裝在移動機車上隨機車移動,且始終與編碼電纜保持距離z;編碼電纜部分由編碼電纜、連接電纜、匹配阻抗構成。感應無線位置檢測係統框圖如圖1所示。

圖1 感應無線位置檢測係統框圖
2 感應無線位置檢測方法研究
2.1 APD檢測
一般位置檢測(APD)原理:zhongkongshidimianjuanyidingshunxu,fenshixiangbianmadianlanzhonggejianceweizhichuanshuduixianfasongzaiboxinhao,tianxianxiangzhongdeganyingxianquanzuojieshouxianquan,yidongjicheshangdeweizhijianceqijiancejieshouxianquanshoudaodezaiboxinhao,jinerdedaojieshouxianquandeweizhi。APD檢測結構平鋪圖如圖2所示。

圖2 APD檢測結構平鋪圖
[page]
在t0、t1、t2、t3、t4時間段,分別向傳輸對線R、R’、G2、G1、G0發送載波信號,在t5時間段不發送。車上天線箱中有兩個接收線圈:接收線圈0和接收線圈1。APD檢測是從接收線圈0感應信號的相位中得到APD位置。在t0時間段,線圈0感應的是R線發送的信號,稱為R信號;在t1時間段,線圈0感應的是R’信號,R’信號與R信號反相,記為=1,作為起始位;在t2時間段,線圈0感應的是G2線發送的信號,G2=0或1,取決於接收線圈0的位置。若接收線圈0的中線分別在①、②、③、④的位置,則接收線圈0的接收信號的相位如圖3所示。

圖3 接收信號相位示意圖
由於各路G對線按照格雷碼規則交叉,所以相位比較的結果數據G2 G1 G0是一組格雷碼,設格雷碼G2 G1 G0對應的十進製數為g,即g為APD位置數據。對圖3中的二進製絕對相移鍵控(2PSK)調製信號進行解調,並以=1作為起始位,則有:在圖2的位置①, G2 G1 G0=000,g=0;在位置②,G2 G1 G0=010,g=3;在位置③,G2 G1 G0=110,g=4;在位置④, G2 G1 G0=111或101,g=5或6。可得到APD位置公式為: APD=g X r
2.2 HRPD檢測
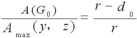
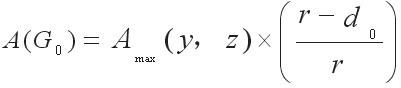
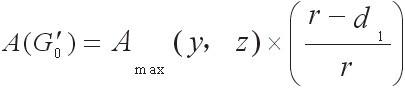
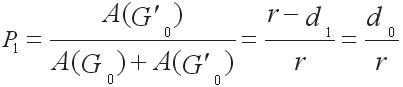
高分辨率位置檢測(HRPD)原理:位置信號發生器分別對傳輸對線G0、發送載波,檢測接收天線線圈1感應信號幅度,通過運算得到HR-PD位置。以線圈1中心線為移動機車的位置,傳輸對線兩交叉間的區域稱為K區域K=I,II,III…);線圈1中心線偏離G0、傳輸對線所在區域中心線距離分別為d0、d1,顯然d0+d1=r。HRPD位置檢測如圖4所示。

圖4 HRPD檢測平鋪圖
在t6時間段,位置信號發生器對G0傳輸對線發送載波時,G0的III區域對線圈1的感應麵積為:S=(W-d0)xB,G0的II區域對線圈1的感應麵積為S=d0×B,由於II、III區域對線圈1產生的感應信號相位相反,所以線圈1有效感應麵積S=(W-d0)×B-d0×B=2(r-d0)×B。設線圈1最大感應麵積Smax=W×B=2r×B,對應感應信號最大幅度為Amax(y,z),則有:

在t7時間段,位置信號發生器對傳輸對線發送載波時,對線圈1感應信號作相同的分析,得:


令


[page]
且有:
(1)線圈1的中心位於G0兩交叉間左半部(圖4位置①),此處檢測出來的APD位置數據g為奇數,則HRPD=d1=P0×r。
(2)發送線圈的中心位於兩交叉間左半部(圖4位置②),此處檢測出來的APD位置數據g為偶數,則HRPD=d0=P1×r。
綜上(1)(2),可得高分辨率位置HRPD和綜合位置ADD分別為:

2.3 感應無線位置檢測實例分析
假定r=10cm。對天線箱線圈1分別處於圖4中的位置①、②、③,為分析方便隻寫三對G傳輸線,則有:
(1)線圈1處於位置①
若G2 G1 G0=010,即g=3,則APD=2×r=30cm。
若測得傳輸對線G0、的幅度為:A(G0)=0.38Amax,A(G''0)=0.62Amax,
則由式(7)~(10)得:P0=0.38,P1=0.62,HRPD=P0×r=3.8cm;ADD=APD+HRPD=33.8cm。
(2)線圈1處於位置②
若G2 G1 G0=011,即g=4,則APD=g×r=40cm。
若測得傳輸對線G0、的幅度為:A(G0)=A(G''0)=0.5Amax,
同理可得:P0=P1=0.5,HRPD=P1×r=0.5×10cm=5cm;ADD=APD+HRPD=45cm。
(3)線圈1處於位置③
A(G0)=Amax,A(G''0)=0,可得P0=1,P1=0。由於A(G0)=0,G1感應信號與基準信號比較,相位相同(即為0)或相反(即為1)。所以,G2 G1 G0=111或G2 G1G0=101,即g=5或6。則有:
1)取g=5,則APD=g×r=5×10cm=50cm,HRPD=P0×r=1×10cm=10cm,ADD=APD+HRPD=50cm+10cm=60cm。
2)取g=6,則APD=g×r=6×10cm=60cm,HRPD=P1×r=0×10cm=0cm,ADD=APD+HRPD=60cm+0cm=60cm。
綜上1)、2),均得:ADD=60cm。
3 感應無線位置檢測電路
感應無線位置檢測係統電路框圖如圖5所示。當中控室地麵局開始發送載波信號時,DCD=1;CPU檢測到DCD後,對2PSK解調輸出檢測,將第1個1作為起始位進行串行數據接收,得到APD位置數據g;在檢測G0的時間段,啟動A/D1和A/D2,從A/D1和A/D2讀出接收線圈0接收的信號幅度A(AN0)和接收線圈1接收的信號幅度A(AN1),將各數據代入公式(5)~(8),可得移動機車位置ADD。

圖5 感應無線位置檢測電路框圖
4 感應無線位置檢測實驗
實驗方法:在編碼電纜任找一處反複移動天線箱,直至檢測到A(G''0)為最小,此時顯示地址為29.000m,以此處作為實際的29.000m。然後將天線箱在此附近每隔2mm移動一次,記錄每次所檢測的A(G0)和A(G''0),並根據檢測的數據計算出位置數據:HRPD、ADD。同理,在30.000m處作同樣測試。部分檢測數據和計算結果如表1所示.

表1 位置檢測部分實測數據和計算結果
實驗結果說明:a.實測位置與理論上對應位置偏差較小;b.位置檢測精度高,分辨率為2mm。為了減小誤差,實際應用中將多次實驗的數據製成表格,計算出HRPD,並進行修正。
5 結論
本ben文wen設she計ji的de感gan應ying無wu線xian位wei置zhi檢jian測ce係xi統tong,是shi利li用yong編bian碼ma電dian纜lan中zhong傳chuan輸shu對dui線xian和he天tian線xian箱xiang線xian圈quan的de電dian磁ci感gan應ying來lai實shi現xian移yi動dong機ji車che位wei置zhi檢jian測ce的de,采cai用yong的de是shi非fei接jie觸chu式shi的de絕jue對dui位wei置zhi檢jian測ce方fang式shi,克ke服fu了le傳chuan統tong有you線xian和he無wu線xian位wei置zhi檢jian測ce的de缺que陷xian,可ke滿man足zu移yi動dong機ji車che精jing確que定ding位wei的de要yao求qiu。目mu前qian,感gan應ying無wu線xian位wei置zhi檢jian測ce技ji術shu已yi被bei應ying用yong到dao焦jiao爐lu工gong業ye移yi動dong機ji車che位wei置zhi檢jian測ce中zhong,用yong於yu對dui推tui焦jiao車che、熄焦車、裝煤車和除塵車的自動控製,實際應用效果良好,基本實現了自動化。
- 噪聲中提取真值!瑞盟科技推出MSA2240電流檢測芯片賦能多元高端測量場景
- 10MHz高頻運行!氮矽科技發布集成驅動GaN芯片,助力電源能效再攀新高
- 失真度僅0.002%!力芯微推出超低內阻、超低失真4PST模擬開關
- 一“芯”雙電!聖邦微電子發布雙輸出電源芯片,簡化AFE與音頻設計
- 一機適配萬端:金升陽推出1200W可編程電源,賦能高端裝備製造
- 一秒檢測,成本降至萬分之一,光引科技把幾十萬的台式光譜儀“搬”到了手腕上
- AI服務器電源機櫃Power Rack HVDC MW級測試方案
- 突破工藝邊界,奎芯科技LPDDR5X IP矽驗證通過,速率達9600Mbps
- 通過直接、準確、自動測量超低範圍的氯殘留來推動反滲透膜保護
- 從技術研發到規模量產:恩智浦第三代成像雷達平台,賦能下一代自動駕駛!
- 車規與基於V2X的車輛協同主動避撞技術展望
- 數字隔離助力新能源汽車安全隔離的新挑戰
- 汽車模塊拋負載的解決方案
- 車用連接器的安全創新應用
- Melexis Actuators Business Unit
- Position / Current Sensors - Triaxis Hall




