阻抗測量方法在傳感器技術中的應用
發布時間:2011-11-08
中心議題:
- 如何分析阻抗
- 阻抗數據分析
- 基於阻抗特性的傳感器
- 優化電路設計
解決方案:
- 腐蝕分析
實際應用中的電路元件要比理想電阻複雜得多,並且呈現出阻性、容性和感性特性,它們共同決定了阻抗特性。阻抗與電阻的不同主要在於兩個方麵。首先,阻抗是一種交流(AC)特性;其qi次ci,通tong常chang在zai某mou個ge特te定ding頻pin率lv下xia定ding義yi阻zu抗kang。如ru果guo在zai不bu同tong的de頻pin率lv條tiao件jian下xia測ce量liang阻zu抗kang,會hui得de到dao不bu同tong的de阻zu抗kang值zhi。通tong過guo測ce量liang多duo個ge頻pin率lv下xia的de阻zu抗kang,才cai能neng獲huo取qu有you價jia值zhi的de元yuan件jian數shu據ju。這zhe就jiu是shi阻zu抗kang頻pin譜pu法fa(IS)的基礎,也是為許多工業、儀器儀表和汽車傳感器應用打下基礎的基本概念。
電子元件的阻抗可由電阻、電容或電感組成,更一般的情況是三者的組合。可以采用虛阻抗來建立這種模型。電感器具有的阻抗為jωL,電容器具有的阻抗為1/jωC,其中j是虛數單位,ω是信號的角頻率。采用複數運算將這些阻抗分量組合起來。阻抗的虛數部分稱為電抗,總表達式為Z=R+jX,其中X為電抗,Z表示阻抗。當信號的頻率上升時,容抗Xc降低,而感抗XL升高,從而引起總阻抗的變化,阻抗與頻率呈函數關係。純電阻的阻抗不隨頻率變化。
如何分析阻抗
為(wei)了(le)檢(jian)測(ce)元(yuan)件(jian)的(de)阻(zu)抗(kang),在(zai)以(yi)不(bu)同(tong)的(de)頻(pin)率(lv)對(dui)器(qi)件(jian)進(jin)行(xing)掃(sao)描(miao)時(shi),通(tong)常(chang)需(xu)要(yao)測(ce)量(liang)時(shi)域(yu)或(huo)頻(pin)域(yu)的(de)響(xiang)應(ying)信(xin)號(hao)。測(ce)量(liang)頻(pin)域(yu)響(xiang)應(ying)信(xin)號(hao)一(yi)般(ban)采(cai)用(yong)模(mo)擬(ni)信(xin)號(hao)分(fen)析(xi)方(fang)法(fa),例(li)如(ru)交(jiao)流(liu)耦(ou)合(he)電(dian)橋(qiao),但(dan)是(shi)采(cai)用(yong)高(gao)性(xing)能(neng)模(mo)數(shu)轉(zhuan)換(huan)器(qi)(ADC),允許在時域采集數據,然後再轉換到頻域。
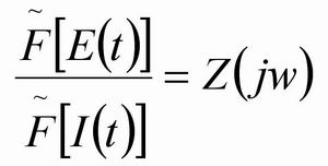
xuduojifenbianhuandoukeyiyongyujiangshujuzhuanhuandaopinyu,rufuliyefenxi。zhezhongfangfajiushiquchuxinhaodeyixilieshiyuxinhaobiaoshi,ranhouyingyongjifenbianhuanjiangqiyingsheweipinpu。caiyongzhezhongfangfakeyigeichurenyiliangzhongxinhaozhijianguanxideshuxuemiaoshu。zaizukangfenxizhongganxingqudeshijilidianliu(元件的輸入)和電壓響應(元件的輸出)之zhi間jian的de關guan係xi。如ru果guo係xi統tong是shi線xian性xing的de,測ce得de的de時shi域yu電dian壓ya和he電dian流liu的de各ge自zi傅fu裏li葉ye變bian換huan的de比bi值zhi就jiu等deng於yu其qi阻zu抗kang,並bing且qie它ta可ke以yi表biao示shi成cheng一yi個ge複fu數shu。這zhe個ge複fu數shu的de實shi數shu部bu分fen和he虛xu數shu部bu分fen構gou成cheng隨sui後hou數shu據ju分fen析xi的de關guan鍵jian部bu分fen。

其中,E=係統電壓;I=係統電流;t=時域參數;Z(jw)=傅裏葉變換
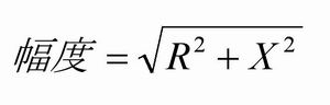
將複數形式轉換成極坐標形式便可以得到在特定頻率下響應信號的幅度和相位與激勵信號的關係。


其中R和Xfenbiebiaoshifushudeshibuhexubu。shangmianjisuandedaodefudubiaoshigaiyuanjianzaitedingpinlvtiaojianxiadefushuzukang。zaisaopindeqingkuangxia,keyijisuanchumeigepinlvdianduiyingdefushuzukang。
阻抗數據分析
常用的方法是將產生的阻抗與頻率的關係曲線作為數據分析的一部分。當頻率在給定的範圍內掃頻時,奈奎斯特(Nyquist)圖是在複數平麵內以傳遞函數的實部和虛部為參數的曲線。如果圖中的x軸表示實部,y軸表示虛部(注意:y軸取負數),就可以得到每個頻率點的阻抗表示。換句話說就是,曲線上的每個點都代表了某個頻率點的阻抗。可以從向量長度|Z|和該向量與x軸之間的夾角?計算出阻抗。圖1為電阻器和電容器並聯時的典型奈奎斯曲線。

圖1:電阻器和電容器並聯時的奈奎斯曲線[page]
盡jin管guan奈nai奎kui斯si曲qu線xian很hen常chang用yong,但dan是shi它ta不bu能neng給gei出chu頻pin率lv信xin息xi,所suo以yi對dui於yu任ren何he特te定ding阻zu抗kang,都dou不bu可ke能neng知zhi道dao采cai用yong的de頻pin率lv值zhi是shi多duo少shao。因yin此ci,奈nai奎kui斯si曲qu線xian通tong常chang要yao采cai用yong其qi它ta曲qu線xian來lai補bu充chong。另ling外wai一yi種zhong常chang用yong的de表biao示shi方fang法fa就jiu是shi波bo特te(Bode)圖。在波特圖中,x軸表示頻率的對數,阻抗的幅度絕對值|Z|和相移都用y軸表示。因此波特圖同時表示了阻抗與頻率和相移與頻率的關係。通常將奈奎斯曲線和波特圖一起使用來分析傳感器元件的傳遞函數。

圖2:表示阻抗與頻率和相角與頻率之間關係的波特圖
基於阻抗特性的傳感器
考慮一個基於阻抗特性的傳感器,在正常條件下其電容、dianganhedianzutexingdezuhehuichanshengyigetedingdezukangxinhao。ruguochuanganqizhouweihuanjingdebianhuayinqishangshutexingderenhebianhua,douhuizaochengzukangdegaibian。tongguoceliangzhezhongzukangchuanganqisuipinlvbianhuadetexing,jianghuidedaoyixiliexindezukangtexing。
一(yi)種(zhong)相(xiang)當(dang)簡(jian)單(dan)的(de)方(fang)法(fa)就(jiu)是(shi)將(jiang)阻(zu)抗(kang)的(de)測(ce)量(liang)值(zhi)和(he)預(yu)測(ce)值(zhi)比(bi)較(jiao)以(yi)便(bian)得(de)出(chu)某(mou)種(zhong)結(jie)論(lun)。這(zhe)種(zhong)工(gong)作(zuo)原(yuan)理(li)的(de)一(yi)個(ge)實(shi)例(li)就(jiu)是(shi)一(yi)種(zhong)采(cai)用(yong)渦(wo)流(liu)原(yuan)理(li)的(de)金(jin)屬(shu)檢(jian)測(ce)傳(chuan)感(gan)器(qi)。在(zai)位(wei)於(yu)傳(chuan)感(gan)器(qi)外(wai)殼(ke)的(de)線(xian)圈(quan)中(zhong)產(chan)生(sheng)一(yi)個(ge)高(gao)頻(pin)交(jiao)流(liu)信(xin)號(hao)。該(gai)線(xian)圈(quan)產(chan)生(sheng)的(de)電(dian)磁(ci)場(chang)在(zai)導(dao)電(dian)靶(ba)中(zhong)感(gan)應(ying)出(chu)渦(wo)流(liu)。反(fan)過(guo)來(lai)這(zhe)個(ge)渦(wo)流(liu)與(yu)該(gai)傳(chuan)感(gan)器(qi)線(xian)圈(quan)相(xiang)互(hu)作(zuo)用(yong),所(suo)以(yi)改(gai)變(bian)了(le)其(qi)阻(zu)抗(kang)。
測ce量liang隨sui頻pin率lv變bian化hua的de線xian圈quan阻zu抗kang具ju有you許xu多duo好hao處chu。因yin為wei材cai料liao的de滲shen透tou率lv會hui影ying響xiang線xian圈quan的de阻zu抗kang,所suo以yi利li用yong經jing驗yan阻zu抗kang特te性xing可ke得de出chu一yi些xie有you關guan金jin屬shu類lei型xing的de結jie論lun。采cai用yong這zhe種zhong方fang法fa還hai可ke以yi允yun許xu該gai阻zu抗kang特te性xing傳chuan感gan器qi檢jian測ce具ju有you不bu同tong滲shen透tou率lv的de金jin屬shu。滲shen透tou率lv變bian化hua還hai可ke以yi用yong於yu測ce量liang金jin屬shu壓ya力li,因yin為wei壓ya力li變bian化hua會hui改gai變bian滲shen透tou率lv,而er滲shen透tou率lv的de變bian化hua又you會hui改gai變bian阻zu抗kang。波bo特te圖tu和he奈nai奎kui斯si曲qu線xian在zai檢jian查zha傳chuan感gan器qi的de頻pin率lv響xiang應ying方fang麵mian是shi很hen有you用yong的de。測ce量liang大da量liang頻pin率lv點dian的de阻zu抗kang比bi測ce量liang單dan個ge頻pin率lv點dian的de阻zu抗kang得de到dao的de結jie果guo更geng為wei精jing確que,因yin為wei這zhe有you助zhu於yu去qu除chu噪zao聲sheng。還hai可ke以yi通tong過guo在zai某mou些xie特te定ding條tiao件jian下xia測ce量liang電dian容rong分fen量liang和he電dian感gan分fen量liang的de頻pin率lv響xiang應ying確que定ding最zui佳jia的de工gong作zuo頻pin率lv點dian。
將阻抗的測量值和其理想值相比較的方法可適用於許多基於阻抗特性能引起電阻、電容或電感變化原理的傳感器技術。常見的應用範圍包括從采用化學傳感器的氣體檢測、基於電容特性的濕度傳感器、遊戲或食品業中的金屬硬幣或顆粒特征識別,到農業中的土壤監測。
阻抗分析不僅僅包含簡單地將阻抗響應特性與其理想特性相比較。阻抗頻譜法(IS)通(tong)常(chang)用(yong)於(yu)表(biao)征(zheng)係(xi)統(tong)以(yi)及(ji)獲(huo)取(qu)有(you)關(guan)係(xi)統(tong)的(de)有(you)價(jia)值(zhi)信(xin)息(xi)。本(ben)文(wen)的(de)目(mu)的(de)是(shi)將(jiang)係(xi)統(tong)從(cong)總(zong)體(ti)上(shang)定(ding)義(yi)為(wei)一(yi)個(ge)元(yuan)件(jian)或(huo)者(zhe)與(yu)電(dian)極(ji)有(you)電(dian)接(jie)觸(chu)的(de)材(cai)料(liao)。這(zhe)種(zhong)接(jie)觸(chu)可(ke)以(yi)是(shi)固(gu)體(ti)與(yu)固(gu)體(ti)(在許多化學傳感器的情況下)或者固體與液體(當測量液體中某種成分的濃度時)之間的界麵。采用IS可以得到有關元件本身和元件與電極之間界麵的信息。
IS的原理利用這樣的事實:ruguogeijiemianshijiahenxiaodedianwei,tajiuhuijihua。jiemianjihuadefangshiyudangshijiadianweifanzhuanshijihuagaibiandesuduxiangjiehe,keyibiaozhengjiemiandetexing。duiyuxitongjiemian,liruxifuhefanyingsulvchangshu、擴散係數和電容等信息都可以得到。對於元件本身,有關其介電常數、電導率、電荷均衡遷移率、各成分濃度以及大量生成率和複合率等信息都可以估計出來。
係統或元件的等效電路模型是分析阻抗掃描所產生數據的基礎。這種模型通常是所連接的電阻器、電(dian)容(rong)器(qi)和(he)電(dian)感(gan)器(qi)的(de)組(zu)合(he),以(yi)便(bian)模(mo)擬(ni)該(gai)係(xi)統(tong)的(de)電(dian)特(te)性(xing)。我(wo)們(men)要(yao)找(zhao)的(de)模(mo)型(xing)要(yao)求(qiu)在(zai)不(bu)同(tong)頻(pin)率(lv)下(xia)其(qi)阻(zu)抗(kang)要(yao)與(yu)測(ce)得(de)的(de)阻(zu)抗(kang)特(te)性(xing)相(xiang)匹(pi)配(pei)。在(zai)理(li)想(xiang)情(qing)況(kuang)下(xia),模(mo)型(xing)的(de)元(yuan)件(jian)和(he)互(hu)連(lian)方(fang)式(shi)的(de)選(xuan)擇(ze)要(yao)用(yong)來(lai)表(biao)示(shi)特(te)定(ding)的(de)電(dian)化(hua)學(xue)特(te)性(xing),而(er)且(qie)要(yao)符(fu)合(he)該(gai)過(guo)程(cheng)的(de)物(wu)理(li)特(te)性(xing)。可(ke)以(yi)采(cai)用(yong)文(wen)獻(xian)中(zhong)已(yi)有(you)的(de)模(mo)型(xing),也(ye)可(ke)以(yi)根(gen)據(ju)經(jing)驗(yan)建(jian)立(li)一(yi)種(zhong)新(xin)模(mo)型(xing)。
zaigenjujingyanjianlimoxingdeqingkuangxia,yaozaijingyanmoxingheceliangshujuzhijianzhaodaozuijiapipei。yinweimoxingzhongdeyuanjianbuyidingzongshifuhedianhuaxuegongyidewulitexing,suoyikeyidandugoujianmoxingyibiandedaozuijiapipei。tongguozhubuzengdahuojianxiaoyuanjiandezukangzhizhidedaozuijiapipei,biankeyijianliqijingyanmoxing。tongchanggenjufeixianxingzuixiaoerchengfanihe(NLLS)原理來完成建模。借助於計算機,利用NLLS算suan法fa先xian初chu步bu估gu計ji模mo型xing參can數shu,然ran後hou逐zhu步bu改gai變bian每mei個ge模mo型xing參can數shu,並bing評ping估gu產chan生sheng的de擬ni合he結jie果guo。采cai用yong軟ruan件jian迭die代dai處chu理li直zhi至zhi找zhao到dao可ke以yi接jie受shou的de最zui佳jia擬ni合he結jie果guo。
數(shu)據(ju)分(fen)析(xi)和(he)等(deng)效(xiao)電(dian)路(lu)模(mo)型(xing)都(dou)應(ying)當(dang)非(fei)常(chang)小(xiao)心(xin)的(de)對(dui)待(dai),而(er)且(qie)要(yao)進(jin)行(xing)盡(jin)可(ke)能(neng)多(duo)的(de)模(mo)型(xing)驗(yan)證(zheng)。雖(sui)然(ran)通(tong)過(guo)增(zeng)加(jia)元(yuan)件(jian)幾(ji)乎(hu)總(zong)可(ke)以(yi)建(jian)立(li)一(yi)個(ge)非(fei)常(chang)合(he)適(shi)的(de)模(mo)型(xing),但(dan)是(shi)這(zhe)樣(yang)並(bing)不(bu)能(neng)認(ren)為(wei)它(ta)就(jiu)代(dai)表(biao)了(le)係(xi)統(tong)的(de)電(dian)化(hua)學(xue)工(gong)藝(yi)。一(yi)般(ban)說(shuo)來(lai),經(jing)驗(yan)模(mo)型(xing)應(ying)該(gai)采(cai)用(yong)盡(jin)可(ke)能(neng)少(shao)的(de)元(yuan)件(jian),而(er)且(qie)應(ying)當(dang)盡(jin)可(ke)能(neng)采(cai)用(yong)基(ji)於(yu)係(xi)統(tong)電(dian)化(hua)學(xue)工(gong)藝(yi)理(li)論(lun)基(ji)礎(chu)的(de)物(wu)理(li)模(mo)型(xing)。
另(ling)外(wai),通(tong)常(chang)可(ke)以(yi)建(jian)立(li)具(ju)有(you)相(xiang)同(tong)阻(zu)抗(kang)特(te)性(xing)的(de)許(xu)多(duo)不(bu)同(tong)的(de)經(jing)驗(yan)模(mo)型(xing)。雖(sui)然(ran)可(ke)能(neng)得(de)到(dao)一(yi)個(ge)很(hen)好(hao)的(de)最(zui)小(xiao)二(er)乘(cheng)法(fa)匹(pi)配(pei)模(mo)型(xing),但(dan)仍(reng)然(ran)有(you)可(ke)能(neng)得(de)到(dao)不(bu)能(neng)代(dai)表(biao)該(gai)物(wu)理(li)係(xi)統(tong)的(de)不(bu)恰(qia)當(dang)模(mo)型(xing)。還(hai)有(you)可(ke)能(neng)NLLSnihesuanfaduiceliangtexingyoubufenyilouhuozhemeiyoushoulian。zheshiyinweihenduosuanfadoushituzaizhenggepinpufanweineiyouhuanihequxian,suoyiyoukenengloudiaolepinpuzhongmouxietedingpinlvdianshangbuhaodeniheshuju。
腐蝕分析是采用IS法表征係統特性的常見應用,也是一個很好的實例。金屬的腐蝕(例如鋁和鋼)是(shi)許(xu)多(duo)行(xing)業(ye)中(zhong)的(de)重(zhong)大(da)安(an)全(quan)考(kao)慮(lv)因(yin)素(su)。如(ru)果(guo)不(bu)重(zhong)視(shi)的(de)話(hua),它(ta)會(hui)導(dao)致(zhi)金(jin)屬(shu)壽(shou)命(ming)過(guo)早(zao)結(jie)束(shu)。自(zi)動(dong)監(jian)視(shi)腐(fu)蝕(shi)的(de)能(neng)力(li)能(neng)顯(xian)著(zhu)節(jie)省(sheng)成(cheng)本(ben),具(ju)有(you)安(an)全(quan)和(he)可(ke)靠(kao)性(xing)優(you)勢(shi),而(er)且(qie)有(you)助(zhu)於(yu)最(zui)佳(jia)化(hua)預(yu)防(fang)性(xing)地(di)維(wei)護(hu)係(xi)統(tong)。
除(chu)了(le)確(que)定(ding)腐(fu)蝕(shi)的(de)程(cheng)度(du),通(tong)過(guo)監(jian)測(ce)腐(fu)蝕(shi)的(de)速(su)率(lv)還(hai)有(you)可(ke)能(neng)預(yu)測(ce)金(jin)屬(shu)疲(pi)勞(lao)。產(chan)生(sheng)金(jin)屬(shu)疲(pi)勞(lao)後(hou),在(zai)小(xiao)裂(lie)縫(feng)出(chu)現(xian)的(de)地(di)方(fang)會(hui)從(cong)有(you)彈(dan)性(xing)變(bian)為(wei)沒(mei)有(you)彈(dan)性(xing)。這(zhe)些(xie)裂(lie)縫(feng)是(shi)新(xin)的(de),但(dan)是(shi)腐(fu)蝕(shi)速(su)率(lv)相(xiang)當(dang)地(di)快(kuai),而(er)且(qie)裂(lie)紋(wen)擴(kuo)展(zhan)的(de)速(su)率(lv)以(yi)及(ji)隨(sui)後(hou)的(de)腐(fu)蝕(shi)代(dai)表(biao)了(le)金(jin)屬(shu)疲(pi)勞(lao)的(de)程(cheng)度(du)。早(zao)期(qi)鑒(jian)定(ding)腐(fu)蝕(shi)的(de)方(fang)法(fa),特(te)別(bie)是(shi)在(zai)很(hen)難(nan)達(da)到(dao)且(qie)無(wu)法(fa)看(kan)到(dao)的(de)位(wei)置(zhi),可(ke)以(yi)防(fang)止(zhi)或(huo)者(zhe)減(jian)慢(man)嚴(yan)重(zhong)腐(fu)蝕(shi)的(de)破(po)壞(huai)。它(ta)還(hai)可(ke)以(yi)用(yong)於(yu)幫(bang)助(zhu)在(zai)現(xian)實(shi)條(tiao)件(jian)下(xia)鑒(jian)定(ding)不(bu)同(tong)的(de)保(bao)護(hu)塗(tu)層(ceng)。
[page]
下麵是根據物理學知識和腐蝕期間發生的電化學工藝過程建立的一種腐蝕過程等效電路模型。常用於腐蝕監視的等效電路用一個電阻器(Rp)和電容器(Cp)相並聯再與一個電阻器Rs相串聯表示。

圖3. 用於腐蝕分析的常用等效電路
在模型A中電阻器Rs表示金屬所在的溶液,而電容Cc表(biao)示(shi)金(jin)屬(shu)表(biao)麵(mian)的(de)保(bao)護(hu)塗(tu)層(ceng)或(huo)塗(tu)料(liao),這(zhe)表(biao)示(shi)初(chu)始(shi)塗(tu)層(ceng)的(de)電(dian)容(rong)。經(jing)過(guo)一(yi)段(duan)時(shi)間(jian)後(hou),水(shui)滲(shen)入(ru)塗(tu)層(ceng)中(zhong)形(xing)成(cheng)新(xin)的(de)液(ye)體(ti)和(he)金(jin)屬(shu)界(jie)麵(mian)。隨(sui)著(zhe)金(jin)屬(shu)的(de)腐(fu)蝕(shi),通(tong)過(guo)溶(rong)液(ye)與(yu)金(jin)屬(shu)之(zhi)間(jian)的(de)保(bao)護(hu)塗(tu)層(ceng)形(xing)成(cheng)離(li)子(zi)導(dao)電(dian)路(lu)徑(jing)。這(zhe)可(ke)以(yi)用(yong)Rx與Cc並聯模型來表示。另外,有些模型(模型B)還有一個附加的R和C並聯起來再與Rx串聯的電路來表示金屬保護塗層隨著時間變化的分層模型。
金屬所在的溶液的電阻率或電導率通常是已知的或者很容易獲得,所以可以得到Rs。還可以得到Cp的值,因為可以由保護塗層的介電常數(通常由廠商提供)及其覆蓋的麵積計算得到。然後就是求解RX以(yi)便(bian)確(que)定(ding)腐(fu)蝕(shi)的(de)程(cheng)度(du)。通(tong)常(chang)通(tong)過(guo)曲(qu)線(xian)擬(ni)合(he)算(suan)法(fa)得(de)到(dao)測(ce)量(liang)阻(zu)抗(kang)特(te)性(xing)數(shu)據(ju)的(de)最(zui)佳(jia)擬(ni)合(he)來(lai)解(jie)決(jue)這(zhe)個(ge)問(wen)題(ti)。波(bo)特(te)圖(tu)也(ye)是(shi)很(hen)常(chang)用(yong)的(de)方(fang)法(fa),它(ta)根(gen)據(ju)其(qi)阻(zu)抗(kang)頻(pin)率(lv)響(xiang)應(ying)和(he)相(xiang)位(wei)頻(pin)率(lv)響(xiang)應(ying)來(lai)檢(jian)測(ce)腐(fu)蝕(shi)傳(chuan)感(gan)器(qi)的(de)特(te)性(xing)。
IS法(fa)不(bu)僅(jin)僅(jin)限(xian)於(yu)腐(fu)蝕(shi)分(fen)析(xi),還(hai)可(ke)以(yi)用(yong)於(yu)表(biao)征(zheng)多(duo)種(zhong)電(dian)化(hua)學(xue)係(xi)統(tong)。例(li)如(ru),它(ta)可(ke)以(yi)用(yong)於(yu)優(you)化(hua)燃(ran)料(liao)電(dian)池(chi)性(xing)能(neng),預(yu)測(ce)電(dian)池(chi)健(jian)康(kang)狀(zhuang)況(kuang),檢(jian)查(zha)液(ye)體(ti)中(zhong)某(mou)種(zhong)成(cheng)分(fen)的(de)濃(nong)度(du)以(yi)便(bian)確(que)定(ding)其(qi)質(zhi)量(liang),還(hai)可(ke)以(yi)表(biao)征(zheng)某(mou)種(zhong)材(cai)料(liao)的(de)電(dian)化(hua)學(xue)性(xing)能(neng)。
優化電路設計
等(deng)效(xiao)電(dian)路(lu)模(mo)型(xing)一(yi)旦(dan)確(que)定(ding),就(jiu)必(bi)須(xu)設(she)計(ji)電(dian)子(zi)數(shu)據(ju)采(cai)集(ji)係(xi)統(tong)來(lai)完(wan)成(cheng)頻(pin)率(lv)掃(sao)描(miao)和(he)獲(huo)取(qu)數(shu)據(ju)。這(zhe)通(tong)常(chang)是(shi)一(yi)項(xiang)既(ji)複(fu)雜(za)又(you)費(fei)時(shi)的(de)工(gong)作(zuo),需(xu)要(yao)不(bu)可(ke)或(huo)缺(que)的(de)電(dian)子(zi)學(xue)知(zhi)識(shi)以(yi)便(bian)優(you)化(hua)電(dian)路(lu)設(she)計(ji)。
設she計ji的de電dian路lu必bi須xu能neng在zai有you用yong的de範fan圍wei內nei以yi要yao求qiu的de分fen辨bian率lv產chan生sheng頻pin率lv掃sao描miao。在zai許xu多duo電dian化hua學xue係xi統tong中zhong必bi須xu避bi免mian采cai集ji到dao的de數shu據ju受shou到dao電dian化hua學xue工gong藝yi本ben身shen的de幹gan擾rao。所suo以yi通tong常chang采cai用yong小xiao的deAC信號,並且還很重要的一點就是不能在係統中引入DC電位差,因為它會導致進一步的電化學反應。然後必須用ADC采集係統對激勵頻率的響應。在有些設計中需要兩個ADC分別用於捕獲激勵信號和響應信號。這是很複雜的,因為需要兩個ADC同步采樣以便檢測出信號之間的相位變化。
AD5933就是一種典型的集成電路芯片,它提供可編程頻率掃描發生器和集成的ADC,該ADCkeyiyujilipinlvyiqigongzuolaihuoquxiangyingxinhao。lingwai,zhenggexitongbixubaochixianxing。huanjuhuashuojiushixitongdezongdaikuanbixuzugouerqiexinhaodaxiaoyeyaozugoucainengdedaohaodeceliangjieguo,danshixinhaoyoubunengtaidayizhiyuchaoguoADC或(huo)其(qi)它(ta)元(yuan)件(jian)的(de)量(liang)程(cheng)而(er)引(yin)起(qi)失(shi)真(zhen)。因(yin)為(wei)待(dai)測(ce)元(yuan)件(jian)阻(zu)抗(kang)範(fan)圍(wei)通(tong)常(chang)未(wei)知(zhi),所(suo)以(yi)通(tong)常(chang)最(zui)開(kai)始(shi)需(xu)要(yao)做(zuo)一(yi)些(xie)反(fan)複(fu)試(shi)驗(yan)來(lai)優(you)化(hua)係(xi)統(tong)並(bing)且(qie)確(que)保(bao)它(ta)的(de)線(xian)性(xing)特(te)性(xing)。將(jiang)響(xiang)應(ying)信(xin)號(hao)轉(zhuan)換(huan)為(wei)數(shu)字(zi)形(xing)式(shi)後(hou),通(tong)常(chang)將(jiang)數(shu)字(zi)信(xin)號(hao)送(song)入(ru)計(ji)算(suan)機(ji)進(jin)行(xing)下(xia)一(yi)步(bu)的(de)分(fen)析(xi)。
最新的解決方案,例如AD5933,在(zai)送(song)給(gei)計(ji)算(suan)機(ji)進(jin)行(xing)處(chu)理(li)之(zhi)前(qian)提(ti)取(qu)了(le)響(xiang)應(ying)信(xin)號(hao)的(de)實(shi)部(bu)和(he)虛(xu)部(bu),在(zai)芯(xin)片(pian)內(nei)完(wan)成(cheng)了(le)大(da)量(liang)的(de)分(fen)析(xi)。這(zhe)樣(yang)大(da)大(da)減(jian)輕(qing)了(le)計(ji)算(suan)機(ji)的(de)運(yun)算(suan)負(fu)擔(dan),並(bing)且(qie)提(ti)高(gao)了(le)數(shu)據(ju)采(cai)集(ji)的(de)質(zhi)量(liang),因(yin)為(wei)模(mo)擬(ni)信(xin)號(hao)處(chu)理(li)電(dian)路(lu)經(jing)過(guo)優(you)化(hua)與(yu)其(qi)它(ta)的(de)功(gong)能(neng)模(mo)塊(kuai)配(pei)合(he)工(gong)作(zuo)。應(ying)當(dang)特(te)別(bie)注(zhu)意(yi)的(de)是(shi),在(zai)使(shi)整(zheng)個(ge)係(xi)統(tong)保(bao)持(chi)線(xian)性(xing)的(de)同(tong)時(shi),模(mo)擬(ni)信(xin)號(hao)的(de)測(ce)量(liang)結(jie)果(guo)要(yao)經(jing)過(guo)驗(yan)證(zheng),否(fou)則(ze)盡(jin)管(guan)計(ji)算(suan)機(ji)能(neng)輕(qing)易(yi)提(ti)供(gong)4位或高於4位的精度,最終結果還是會有偏差。精心的係統設計和驗證以獲得有效的測量是提高最終結果精度的關鍵。
- 噪聲中提取真值!瑞盟科技推出MSA2240電流檢測芯片賦能多元高端測量場景
- 10MHz高頻運行!氮矽科技發布集成驅動GaN芯片,助力電源能效再攀新高
- 失真度僅0.002%!力芯微推出超低內阻、超低失真4PST模擬開關
- 一“芯”雙電!聖邦微電子發布雙輸出電源芯片,簡化AFE與音頻設計
- 一機適配萬端:金升陽推出1200W可編程電源,賦能高端裝備製造
- 邊緣AI的發展為更智能、更可持續的技術鋪平道路
- 每台智能體PC,都是AI時代的新入口
- IAR作為Qt Group獨立BU攜兩項重磅汽車電子應用開發方案首秀北京車展
- 構建具有網絡彈性的嵌入式係統:來自行業領袖的洞見
- 數字化的線性穩壓器
- 車規與基於V2X的車輛協同主動避撞技術展望
- 數字隔離助力新能源汽車安全隔離的新挑戰
- 汽車模塊拋負載的解決方案
- 車用連接器的安全創新應用
- Melexis Actuators Business Unit
- Position / Current Sensors - Triaxis Hall




