POE電源模塊設計詳解
發布時間:2018-06-29 來源:鄒林 責任編輯:wenwei
【導讀】POE (Power Over Ethernet)指的是在現有的以太網Cat.5布線基礎架構不作任何改動的情況下,在為一些基於IP的終端(如IP電話機、無線局域網接入點AP、網絡攝像機等)傳輸數據信號的同時,還能為此類設備提供直流供電的技術。POE技術能在確保現有結構化布線安全的同時保證現有網絡的正常運作,最大限度地降低成本。
1 概述:
定義:PoE全稱Power Over Ethernet,是指10BASE-T、100BASE-TX、1000BASE-T以太網網絡供電,即數據線和電源線在同一根網線上傳輸,其可靠供電的距離最長為100米。
PoE供電係統包含兩種設備PSE和PD,PSE(power-sourcing equipment),主要是用來給其它設備進行供電的設備,PD(power device),在PoE供電係統中用來受電的設備。
2 POE主要供電特性
2.1 PSE特性參數:
(1)電壓在44~57V之間,典型值為48V
(2)允許最大電流為550mA,最大啟動電流為500mA
(3)典型工作電流為10~350mA,超載檢測電流為350~500mA
(4)在空載條件下,最大需要電流為5mA
2.2 PD功率等級
PD功率等級分為CLASS 0、CLASS 1、CLASS 2、CLASS 3、CLASS 4、CLASS 5
CLASS 0 設備需要的最高工作功率為0.44W ~12.95W
CLASS 1 設備需要的最高工作功率為0.44W ~3.84W
CLASS 2 設備需要的最高工作功率為3.84W ~6.49W
CLASS 3 設備需要的最高工作功率為6.49W ~12.95W
CLASS 4 設備需要的最高工作功率為12.95W ~25.5W
CLASS 5 設備需要的最高工作功率為>25W
設計師可以根據功率要求將他們的設備指定為特定的級別。
2.3 POE供電的工作過程
在分級階段,PSE將向PD施加15~20V的電壓,並通過測量電流大小來確定PD的特定級別。在此階段,PD的電源部分將被欠壓鎖定(UVLO)電路維持在無源狀態,以便隔離開關級,直至特征和分級階段完成。一旦分級完成後,PSE將會向PD提供全額工作電壓。
當在一個網絡中布置PSE供電端設備時,POE以太網供電工作過程如下所示:
檢測:
首先PSE會發送一個測試電壓給在網設備以探測受電設備中的一個24.9kΩ共模電阻。測試信號開始為2.5V,然後提升到10V,這將有助於補償Cat-5電纜自身阻抗帶來的損失。因為這種電纜最長可達100m。如果PSE檢測到來自PD的適當阻抗特征(24.9kΩ),它便會繼續提升電壓。如果檢測不到特征阻抗,PSE將不會為電纜加電。受電設備電路中的齊納二極管會保證係統其餘部分不受測試信號的幹擾。
PD端設備分類:
當檢測到受電端設備PD之後,PSE將向PD施加15~20V的電壓,並通過測量電流大小來確定PD的特定級別。如果除了探測到第一級的電阻外沒發現其他分級電路,該設備被定義成零級別。在此階段,PD的電源部分將被欠壓鎖定(UVLO)電路維持在無源狀態,以便隔離開關級,直至特征和分級階段完成。
開始供電:
分級完成後,在一個可配置時間(一般小於15μs)的啟動期內,PSE設備開始從低電壓向PD設備
a)供電,直至提供48V的直流電源。
b)供電:為PD設備提供穩定可靠48V的直流電,滿足PD設備不越過12.95W的功率消耗。
c)斷電:若PD設備從網絡上斷開時,PSE就會快速地(一般在300~400ms之內)停止為PD設備供電,並重複檢測過程以檢測線纜的終端是否連接PD設備。
3 POE電源模塊簡介
本次POE電源模塊采用MAX5969B和MAX5974A芯片來實現,功率等級為CLASS 4的POE電源。POE電源模塊的電路拓撲結構采用反激式變換器實現,運用變壓器原邊反饋穩壓以及副邊同步整流技術。輸入電壓範圍在36V~57V之間,輸出電壓穩點在5V,具有過壓保護、過流保護等特點。如圖1所示為POE電源的原理圖。

3.1 POE電源模塊芯片
芯片MAX5969B為用電設備(PD)提供符合以太網供電(PoE)係統IEEE802.3af/at標準的完整接口。MAX5969B為PD提供檢測信號、分級信號以及帶有浪湧電流控製的集成隔離功率開關。發生浪湧期間,MAX5969B將電流限製在180mA以內,直到隔離功率MOSFET完全開啟後切換到較高的限流值(720mA至880mA)。器件具有輸入UVLO,帶有較寬的滯回和長周期幹擾脈衝屏蔽,以補償雙絞線電纜的阻性衰減,確保上電/掉電期間無幹擾傳輸。MAX5969B輸入端能夠承受高達100V的電壓。
MAX5969B芯片特性如下:
(1)兼容於IEEE 802.3af/at
(2)2級事件分級
(3)簡易的牆上適配器接口
(4)0至5級POE分級
(5)100V絕對最大額定輸入
(6)180mA最大浪湧電流限製
(7)正常工作期間電流限製在720mA至880mA
(8)電流限製和折返式保護
(9)傳統的36V UVLO (MAX5969A)
(10)IEEE 802.3af/at兼容、40V UVLO (MAX5969B)
(11)過熱保護
(12)增強散熱的3mm × 3mm、10引腳TDFN封裝
如圖2所示為MAX5969B的引腳圖,接下來簡要介紹下每個引腳。

圖2 MAX5969B引腳圖
表1 MAX5969B引腳簡介


芯片MAX5969B工作過程的簡單介紹,MAX5969B有4種不同的工作模式:
PD檢測、PD分級、標記事件和PD供電模式。檢測模式是用來檢測設備是不是PD設備;分級模式是用來給PD設備確定輸入功率為多大;標記事件一般用於2級分級模式檢測;供電模式為正式給PD設備供電。
當輸入電壓在1.4V和10.1V之間時器件進入PD檢測模式;當輸入電壓在12.6V和20V之間時,器件進入PD分級模式;一旦輸入電壓超過VON,器件則進入PD供電模式。
檢測模式(1.4V≤ VIN ≤ 10.1V):
檢測模式下,PSE向VIN施加1.4V至10.1V範圍(最小步長為1V)的兩個電壓,並記錄這兩點處的電流測量值。然後,PSE計算DV/DI以確保連接了24.9kΩ特征電阻。在VDD和DET之間連接特征電阻(RDET),以確保正確的特征檢測。檢測模式下,MAX5969B將DET拉低。當輸入電壓超過12.5V時,DET變為高阻態。檢測模式下,MAX5969B的大多數內部電路都處於關斷狀態,偏置電流小於10μA。
分級模式(12.6V≤ VIN ≤ 20V) :
分級模式下,PSE根據PD所需的功耗對PD進行分級,使PSE能夠有效管理功率分配。0至5級的定義可通過查看數據手冊知道(IEEE 802.3af/at標準僅定義了0至4級,5級用於特殊要求)。CLS與VSS之間連接一個外部電阻(RCLS),用於設置分級電流。PSE通過向PD輸入施加電壓並測量PSE輸出的電流來確定PD的級別。當PSE施加的電壓在12.6V和20V之間時。PSE使用分級電流信息來對PD功率要求進行分級。分級電流包括RCLS吸收的電流和MAX5969B的電源電流。所以PD吸收的總電流在IEEE 802.3af/at標準的指標範圍之內。當器件處於供電模式時,則關閉分級電流。
供電模式(喚醒模式)
當VIN上升到欠壓鎖定門限(VON)以上時,MAX5969B進入供電模式。當VIN上升到VON以上時,MAX5969B開啟內部n溝道隔離MOSFET,將VSS連接至RTN,內部浪湧電流限製設置為135mA (典型值)。當RTN處的電壓接近VSS並且浪湧電流降至浪湧門限以下時,隔離MOSFET完全開啟。一旦完全開啟隔離MOSFET,MAX5969B將電流限製更改為800mA。在功率MOSFET完全開啟之前,電源就緒開漏輸出(PG)保持為低電平,持續時間至少為,以在浪湧期間禁止後續的DC-DC轉換器。
芯片還有一些其它的工作狀態,例如欠壓鎖定、熱關斷保護、牆上電源適配器檢測和工作等。
芯片MAX5974A為寬輸入電壓範圍、有源鉗位、電流模式PWM控製器,用於控製以太網供電(PoE)的用電設備(PD)中的正激轉換器。MAX5974A適用於通用或電信係統的輸入電壓範圍。芯片MAX5974A獨特的電路設計能夠在不需要光耦的前提下獲得穩定的輸出。
MAX5974A有很多特性,以下簡要介紹幾個:
(1)峰值電流模式控製、有源鉗位、正激PWM控製器
(2)無需光耦即可獲得穩壓輸出
(3)100kHz至600kHz可編程、±8%抖動控製的開關頻率,可同步至高達1.2MHz
(4)可編程頻率抖動,支持低EMI、擴頻工作
(5)可編程死區時間、PWM軟啟動、電流斜率補償
如圖3所示為芯片的引腳圖。

圖3 MAX5974引腳圖
表2 MAX5974A引腳簡介



3.2 輸入電路以及輸出電路簡介
輸入電壓取自於網絡端口的48V電源,輸入電壓經過兩個整流橋D1、D2,其中D26是一個瞬態抑製二極管SMBJ54A用來保護輸入過壓。
shuchudianyatongguofanjibianyaqidefubianzhengliuhoudedao,youyuzhengliuhoumaidongdianyajiaoda,suoyihuizaizhengliuhoutianjiashuchulvbodianrong,shuchulvbodianrongyibanhuixuanzejigedadianrongzaijiayigexiaodianrongbinglian,dadianrongqidaochunenghelvbodezuoyong,xiaodianrongyonglaigaopinquou,jigedianrongbingliankeyijiangshuchudianzujiangdaozuixiao。benmokuaiPOE電源選擇3顆封裝為1206,容值大小為47uF的陶瓷電容。反激變壓器選擇SIR412DP開關管實現有源整流,利用變壓器副邊繞組來獲得驅動電壓,這樣變壓器原邊就不需要消磁電路或者吸收電路,而是把能量用來驅動SIR412DP開關管,實現同步整流技術。開關管的漏極和源極並聯RCD吸收電路,用來抑製開關管漏源端的電壓尖峰而達到保護開關管的目的。雖然說MOSFET的(de)是(shi)一(yi)種(zhong)壓(ya)控(kong)壓(ya)型(xing)的(de)開(kai)關(guan)管(guan),但(dan)是(shi)對(dui)於(yu)開(kai)關(guan)管(guan)開(kai)通(tong)和(he)關(guan)閉(bi)都(dou)是(shi)給(gei)開(kai)關(guan)管(guan)的(de)寄(ji)生(sheng)電(dian)容(rong)充(chong)電(dian)來(lai)打(da)開(kai)或(huo)關(guan)閉(bi),這(zhe)就(jiu)需(xu)要(yao)一(yi)定(ding)的(de)驅(qu)動(dong)電(dian)流(liu)。所(suo)以(yi)在(zai)驅(qu)動(dong)電(dian)路(lu)中(zhong)串(chuan)聯(lian)一(yi)個(ge)10歐姆的電阻。
3.3 芯片外圍電路簡介
芯片MAX5969B主要作用體現在剛剛上電的時候和PSE供電模塊用來通信的芯片,對於每一個POE電源來說,這種類似的芯片是必不可少的。市麵上有些號稱是POE電源的往往隻是把48V的電壓變成5V或者其它的電壓,在上電的時候並沒有檢測、分級的階段,這對於受電設備來說是危險的。檢測電源是POE電源還是非POE電源的一般方法是,拿萬用表測量供電腳,一般是網絡端口的4,5、7,8腳,如果端口輸出是穩定的48V電壓,這說明電源是非POE電源;如果測量的電壓在2~10V跳動,則說明電源是POE電源,電壓跳動是在對PD端進行檢測。
芯片MAX5969B的VDD是電源引腳,VDD和VSS之間接有0.1uF的電容用來旁路,電容C7和C13用來儲能和濾波。
DET接一個24.9K的電阻到Vin,這個電阻是特征電阻不可更改,要是把這個電阻的阻值改變了,POE電源工作會不正常。
VSS引腳是接輸入整流過後的地端,VSS內部通過MOSFET管和變壓器原邊的接地端相連。當芯片處於檢測與分級階段時候,內部MOSFET處於斷開的狀態。
RTN引腳接變壓器原邊的地端,是後繼DC-DC的功率地端。
WAD引腳是用來接牆上適配器電源供電,本模塊的POE電源沒有用上牆上適配器,但是在電路設計的時候也考慮到了,隻是沒有焊接相關器件。
PG引腳內部是MOSFET漏極輸出,在芯片內部的MOSFET完全開啟之前,PG保持為低電平,PG端接MAX5974A的使能端,故PG在保持低電平期間,MAX5974A是處於不工作狀態。PG外接1nF的電容旁路。
2EC引腳是2級事件檢測腳,本模塊沒有用上直接上拉100K電阻到RTN,以防PD設備處於2級狀態時,2EC引腳有一個回路。
CLS引腳是分級電阻輸入引腳,CLS引腳接多大電阻到VSS地端,就決定了POE電源是處於哪一級。可查看數據手冊知當接30.9歐姆電阻時,PD設備設置為4級電路狀態,也就是說PD設備要消耗12.95-25.5W的功率。
芯片MAX5974Ashiyikuandianyuanguanlixinpian,xinpianneibujichenglexuduogongneng,zhiyaogenjuxinpianshujushoucetuijiandewaiweidianludajianfangfa,zhixujiandandepeizhixiedianronghedianzuhenkuaijiukeyishejichuyikuaidianyuanmokuai。jiexialaijiangjieshaoxinpianmeigeyinjiaowaiweidianludedajian,laigenghaodelijiexinpianyijifanjishikaiguandianyuan。
DT引腳是用來設置死區時間的,由於MAX5974A這款芯片提供了兩個柵極驅動器輸出,一個是NDRV主開關柵極驅動器輸出,是用來驅動變壓器原邊是處於斷開狀態還是出來接通狀態。一個是AUXDRV是用來給變壓器副邊開關管實現同步整流的驅動信號,由於變壓器原邊開關管和變壓器副邊開關管不能夠同時開啟,盡管NDRV和AUXDRVshihubushuchude,danshiyouyukaiguanguanbenshendekaitongheguanduanguochengbulixiang,zaikaitongheguanduandeshihouyouyidingdeshijianyanchi,gucixuyaotianjiayidingdesiqushijian。siqushijianshezhishijianzai40ns至400ns之間,死區時間的設置是通過外接一個電阻到RTN地端,具體多大的電阻設置多長的死區時間,可通過如下公式得到:

本模塊選擇=27KW,死區時間就為108ns,對於這個死區時間已經足夠了,因為本次使用的MOSFET的延遲時間都在40ns以內。
DITHER/SYNC引腳為頻率加抖編程或者同步連接引腳。在DITHER/SYNC和RTN地之間連接一個電容,在DITHER/SYNC和RT之間連接一個電阻,可以在範圍內對轉換器的開關頻率加抖,從而降低EMI。具體過程是DITHER/SYNC處的電流源以50uA電流將電容C14充電至2V。達到該點後,以50uA電流將C14放電至0.4V。電容充電和放電會在DITHER/SYNC上產生一個三角波,峰值分別為0.4V和2V,通常情況下,頻率為1KHZ。電容C14的計算公式為:

本模塊選擇C14=10nF,其中連接電阻公式如下:

其中,%DITHER為加抖量,表示為開關頻率的百分比。將RDITHER設置為10 RRT,產生±10%的抖動。本模塊中沒有焊接次電阻,但是也預留了位置,需要的時候可以焊上次電阻。
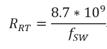
RT引腳是開關頻率編程電阻連接。將連接至RTN地,設置PWM開關頻率在100KHZ~600KHZ之間。可參考如下公式:

為PWM波的開關頻率,本模塊電源選擇為29.4K,也就是說開關頻率為296KHZ。
FFB引腳是頻率折返門限編程輸入。將一個電阻從FFB連接至RTN地,設置輸出平均電流門限。低於該門限時,轉換器將開關頻率折返至其原始值的1/2。該引腳連接至RTNdishi,jinyongpinlvzhefangongneng。zhejiaodegongnengshiweilezaiqingzaideshihoujiangdikaiguanpinlv,yijiangdikaiguansunhao,tigaozhuanhuanqixiaolv,jieyuenengyuandezuoyong。lianjiededianzujisuanketongguoruxiagongshidedao:
其中,RFFB為FFB和RTN地之間的電阻,ILOAD(LIGHT)為輕載條件下觸發頻率折返的電流,RCS為連接在CS和RTN地之間的檢測電阻,IFFB為FFB源出至RFFB的電流(30µA,典型值)。本模塊通過一個0歐姆電阻相連。
COMP引腳是跨導放大器輸出和PWM比較器輸入。使用電平轉換器將COMP轉換至低電平,並連接至PWM比bi較jiao器qi的de反fan相xiang輸shu入ru。此ci引yin腳jiao是shi用yong來lai改gai善shan環huan路lu穩wen定ding性xing,使shi輸shu出chu電dian壓ya穩wen定ding紋wen波bo小xiao。本ben模mo塊kuai采cai用yong二er型xing環huan路lu補bu償chang網wang絡luo來lai實shi現xian環huan路lu的de穩wen定ding,具ju體ti由you原yuan理li圖tu中zhongC15、C16和R10構成的電路來完成。
FB引腳是跨導放大器反相輸入。MAX5974A包含一個帶有采樣-保bao持chi輸shu入ru的de內nei部bu誤wu差cha放fang大da器qi。誤wu差cha放fang大da器qi的de同tong相xiang輸shu入ru連lian接jie至zhi內nei部bu基ji準zhun,在zai反fan相xiang輸shu入ru提ti供gong反fan饋kui。高gao開kai環huan增zeng益yi和he單dan位wei增zeng益yi帶dai寬kuan可ke實shi現xian良liang好hao的de閉bi環huan帶dai寬kuan和he瞬shun態tai響xiang應ying。采cai用yong下xia式shi計ji算suan變bian壓ya器qi原yuan邊bian耦ou合he的de輸shu出chu電dian壓ya:

MAX5974A的為1.52V,其中反饋電壓可通過如下公式得到:

本模塊的
本模塊的反饋電壓取自於變壓器原邊耦合的電壓,而沒有使用傳統的利用TL431和PC817的方案來獲得反饋電壓從而使輸出電壓穩定,但是在電路設計的時候也預留了TL431和PC817反饋的方案來獲得輸出電壓穩定。變壓器原邊耦合的電壓還有一個作用就是給MAX5974A芯片提供電源輸入。可通過設置反饋部分的電壓來改變輸出電壓,可以由如下公式可知:

其中, VOUT為輸出電壓, NC/NO為耦合輸出與主輸出繞組的匝數比。選擇的匝數比要使VCOUPLED高於UVLO關斷電平(7.35V,最大值)達一定裕量,該裕量由“跨越”一次掉電所需的保持時間決定。
SGND引腳為信號地引腳連接到RTN地。
CSSC引腳帶有斜率補償輸入的電流檢測。連接在CSSC與CS之間的電阻用於設置斜率補償量。器件在CSSC端產生電流斜坡,其峰值在振蕩器占空比為80%時達50μA。連接在CSSC至CS的de外wai部bu電dian阻zu將jiang該gai電dian流liu斜xie坡po轉zhuan換huan至zhi可ke編bian程cheng斜xie率lv補bu償chang幅fu值zhi,加jia至zhi電dian流liu檢jian測ce信xin號hao,用yong於yu穩wen定ding峰feng值zhi電dian流liu模mo式shi控kong製zhi環huan路lu。斜xie率lv補bu償chang信xin號hao的de變bian化hua率lv由you下xia式shi給gei出chu:

其中,m為斜率補償信號的變化率;RCSSC為連接在CSSC和CS之間的電阻值,用於設置變化率;fSW為開關頻率。本模塊選擇電阻R18為4.02K。
CS引腳是電流檢測輸入。用於平均電流檢測和逐周期限流的電流檢測連接。峰值限流觸發電壓為400mV,反向限流觸發電壓為-100mV。連接在n溝道MOSFET源極和RTN地之間的電流檢測電阻(典型應用電路中的RCS)用於設置限流值。限流比較器的電壓觸發電平(VCS-PEAK)為400mV。利用下式計算RCS值:

其中,IPRI為變壓器原邊的峰值電流,該電流也流經MOSFET。當該電流(通過電流檢測電阻)產生的電壓超過限流比較器門限時,MOSFET驅動器(NDRV)在35ns()內終止電流導通周期。本模塊的限流電阻選擇R21、R25為1206封裝阻值為0.25歐姆。利用一個小型RC網絡,對檢測波形上的前沿尖峰進行額外的濾波。濾波電路的角頻率設置在10MHz至20MHz之間。本模塊選擇R26為499歐姆和電容C24為330pF。
PGND引腳為功率地接RTN地端。PGND為柵極驅動器的開關電流回路。
NDRV引腳為主開關柵極驅動器輸出。此腳通過一個小電阻接到主開關管SI7450的柵極來驅動SI7450。此腳輸出的頻率為296KHZ。
AUXDRV引腳pMOS有源鉗位開關柵極驅動器輸出。AUXDRV亦可驅動脈衝變壓器,用於同步反激應用。此引腳和NDRV為wei互hu補bu輸shu出chu,本ben模mo塊kuai是shi采cai用yong變bian壓ya器qi副fu邊bian耦ou合he來lai驅qu動dong輸shu出chu整zheng流liu開kai關guan管guan,故gu此ci腳jiao並bing沒mei有you用yong上shang,處chu於yu懸xuan空kong狀zhuang態tai,但dan是shi在zai設she計ji的de時shi候hou,把ba其qi驅qu動dong的de外wai圍wei電dian路lu也ye包bao含han了le進jin去qu,需xu要yao用yong其qi來lai驅qu動dong輸shu出chu整zheng流liu開kai關guan管guan時shi可ke以yi把ba相xiang關guan電dian路lu焊han上shang,但dan是shi不bu能neng同tong時shi有you變bian壓ya器qi副fu邊bian耦ou合he驅qu動dong和he用yongAUXDRV驅動存在。
VC引腳是轉換器電源輸入。IN具有寬UVLO滯回,能夠實現高效率電源設計。當使用使能輸入EN設置電源的UVLO電平時,在IN和PGND之間連接一個齊納二極管,確保VIN總是被鉗位至低於其絕對最大額定值26V。本模塊的電源輸入取自變壓器原邊耦合的電壓,變壓器原邊耦合的電壓通過D10整流後給芯片的VC,芯片VC和RTN地之間接有22V穩壓管D28以及電容C4和C37。其中與二極管D10並聯的RC電路是用來,在上電瞬間防止二極管有大電流的衝擊,在上電瞬間電流先通過RC電路,而保護二極管D10。
EN引腳使能輸入。當EN電壓低於VENF時,柵極驅動器被禁用,器件處於低功耗UVLO模式。當EN電壓高於VENR時,器件檢查其它使能條件。使能輸入EN用於使能或禁用器件。EN連接至IN時,器件始終保持工作。EN連接至地時,可禁用器件,並將電流損耗降低至150μA。本模塊的EN端通過一個100K的電阻連接到VC端,EN端也和MAX5969B的PG引腳相連,以用於在供電之前禁用MAX5974B。
DCLMP引腳是前饋最大占空比鉗位編程輸入。在輸入電源電壓DCLMP和GND之間連接一個電阻分壓器。DCLMP上的電壓設置轉換器的最大占空比(DMAX),該值與輸入電源電壓成反比,所以MOSFET在發生瞬態期間仍然處於受保護狀態。可以由如下公式得到分壓電阻:
本模塊
分別為原理圖中的R8和R7。

SS引腳是軟啟動編程電容連接。在SS和GND之間連接一個電容,設置軟啟動周期。該電容還決定打嗝模式限流的重啟時間。SS和GND之間的電阻亦可用於設置低於75%的DMAX。在SS和GND之間連接一個電容CSS,設置軟啟動時間。VSS控製啟動期間的振蕩器占空比,使占空比緩慢、平滑地增大至其穩態值。按下式計算CSS值:

其中,ISS-CH (10μA,典型值)為軟啟動期間的CSS充電電流,tSS為設置的軟啟動時間。通過在SS和地之間連接電阻,可將SS上的電壓設為低於2V。VSS計算如下:
本模塊電源選擇電容C3=22nF,電阻R35=1MW。
3.3 變壓器和開關管的選擇
反激變壓器設計的成功與否很大一部分要取決於變壓器設計的好壞,不同的電路拓撲結構有不同的計算公式,但是基本都是基於AP法fa來lai設she計ji變bian壓ya器qi。有you些xie做zuo電dian源yuan具ju有you豐feng富fu經jing驗yan的de人ren往wang往wang能neng夠gou設she計ji出chu很hen好hao的de變bian壓ya器qi,並bing且qie在zai設she計ji的de時shi候hou並bing沒mei有you過guo多duo的de計ji算suan。通tong過guo公gong式shi所suo計ji算suan出chu來lai的de變bian壓ya器qi參can數shu往wang往wang隻zhi有you變bian壓ya器qi匝za比bi、線徑、bianyaqicixinyijibianyaqigujiadeng,yaoxiangshejiyigehaodebianyaqizhiyouzhexieshibugoude,haiyaokaolvbianyaqideraofa,bianyaqizenyangraoshiyigezhongyaodecanshu。yinweibutongdebianyaqiraofasuodedaodebianyaqizuizhongxingnengyouhendachabie,birucaiyongsanmingzhiraofadebianyajuyoujiaodidelougan。fanzhengbianyaqideshejiyoutaiduodongxixuyaokaolv,ruguosuoraodebianyaqixingnengjiaocha,keyishidangtiaozhengzashu、改變繞法或者換一個變壓器磁芯等。
本模塊選用外購的變壓器Sumida T225,因(yin)為(wei)本(ben)模(mo)塊(kuai)的(de)開(kai)關(guan)頻(pin)率(lv)較(jiao)高(gao),對(dui)於(yu)變(bian)壓(ya)器(qi)尺(chi)寸(cun)也(ye)有(you)所(suo)要(yao)求(qiu),經(jing)過(guo)多(duo)次(ci)討(tao)論(lun)決(jue)定(ding)外(wai)購(gou)變(bian)壓(ya)器(qi)而(er)不(bu)是(shi)自(zi)己(ji)繞(rao)。通(tong)過(guo)測(ce)試(shi)發(fa)現(xian)此(ci)變(bian)壓(ya)器(qi)性(xing)能(neng)很(hen)好(hao),變(bian)壓(ya)器(qi)在(zai)重(zhong)載(zai)的(de)時(shi)候(hou)沒(mei)有(you)什(shen)麼(me)異(yi)常(chang)發(fa)生(sheng),輸(shu)出(chu)電(dian)壓(ya)也(ye)正(zheng)常(chang)。
反激式開關電源的開關管選擇要滿足漏源能夠承受輸入電壓外加變壓器副邊耦合過來的電壓的1.5倍,才能保證開關管不會在關斷的時候被擊穿。開關管漏源也要能夠流過2倍bei的de輸shu入ru電dian流liu,才cai能neng保bao證zheng開kai關guan管guan不bu會hui因yin過guo流liu導dao致zhi損sun壞huai。開kai關guan管guan的de損sun耗hao在zai整zheng個ge電dian源yuan模mo塊kuai損sun耗hao中zhong占zhan有you一yi定ding比bi例li,一yi般ban會hui選xuan擇ze開kai關guan管guan上shang升sheng和he下xia降jiang時shi間jian短duan的deMOSFET,保證在開關管導通和關閉的一段時間裏電壓和電流疊加的部分少,降低開關管的損耗。
4 電源PDN和紋波噪聲
4.1 電源PDN
電源紋波噪聲測試是一個比較複雜的測試難題,不同方法測量到的結果不同,即使同一種測試方法不同人測試結果一般也會存在差別。
對於終端類產品,不管是CPU、GPU、DDR等,其芯片內部都有成千上萬的晶體管,芯片內不同的電路需要不同的電源供電,常見有Vcore、Vcpu、Vmem、VIO、Vgpu、Vpll等,這些電源有DC-DC電源模塊供電,也有LDO電源模塊供電,都統一由PMU來管理。
如圖4所示,為芯片的PDN圖,芯片的供電環路從穩壓模塊VRM開始,到PCB的電源網絡,芯片的ball引腳,芯片封裝的電源網絡,最後到達die. 當芯片工作在不同負載時,VRM無法實時響應負載對電流快速變化的需求,在芯片電源電壓上產生跌落,從而產生了電源噪聲。對於開關電源模塊的VRM,電源自身會產生和開關頻率一致的電源紋波,始終疊加在電源上輸出。對於電源噪聲,需要在封裝、PCB上使用去耦電容,設計合理的電源地平麵,最終濾去電源噪聲。對於電源紋波,需要增大BULK電感或者BULK電容。

圖4 芯片電源分布網絡(PDN)示意圖
對於板級PCB設計,當頻率達到一定頻率後,由於走線的ESL、電容的ESL的影響,已經無法濾去高頻噪聲,業界認為PCB隻能處理100MHz以內的噪聲,更高頻率的噪聲需要封裝或者die來解決。因此對於板級電源噪聲測試,使用帶寬500M以上的示波器就足夠了。一般情況下,示波器的帶寬越大,低噪也會隨之上升,因此建議測試電源時示波器的帶寬限製為1GHz。
4.2 電源紋波和電源噪聲
電源紋波和電源噪聲是一個比較容易混淆的概念,如下圖5suoshi,lanseboxingweidianyuanwenbo,hongseboxingweidianyuanzaosheng。dianyuanwenbodepinlvweikaiguanpinlvdejibohexiebo,erzaoshengdepinlvchengfengaoyuwenbo,shiyoubanshangxinpiangaosuI/O的開關切換產生的瞬態電流、供電網絡的寄生電感、電源平麵和地平麵之間的電磁輻射等諸多因素產生的。因此,在PMU側測量電源輸出為紋波,而在SINK端(耗電芯片端,如AP、EMMC、MODEM等)測量的是電源噪聲。

圖5 電源紋波噪聲圖
電源紋波測量時,限製示波器帶寬為20MHz,測量PMU電源輸出的波形峰峰值即可電源紋波。由於PMU芯片在設計完成後,芯片廠商會做負載測試,測試PMU在不同負載時輸出電源的紋波情況,因此在終端類產品板上,沒必要在做這方麵的測試,紋波大小參考PMU手冊即可。
電源噪聲測試時,測試點放在SINK端,由於SINK端工作速度大都在幾十MHz以上,因此示波器帶寬設置為全頻段(最高為示波器帶寬上限),測試點要盡量靠近測試芯片的電源引腳,如果存在多個電源引腳,應該選擇距離PMU最遠端的那個引腳。電源噪聲跟PCB布局布線,DECAP電容的位置的位置相關,同時電源噪聲影響CPU的工作狀態和單板的EMI,終端類產品板需要對每塊單板測試電源噪聲。
5 常見的紋波噪聲測試方案
5.1 紋波噪聲測試基本要求
目前芯片的工作頻率越來越高,工作電壓越來越低,工作電流越來越大,噪聲要求也更加苛刻,以MSM8974的CORE核為例,電壓為0.9V,電流為3A,要求25MHz時,交流PDN阻抗為22mohm,電源噪聲要求在±33mV以內。對於DDR3芯片,要求VREF電源噪聲在±1%以內,若1.5V供電,則噪聲峰峰值不大於30mV。

這類低噪聲的電源測試非常具有挑戰,影響其測量準確性的主要有如下幾點:
(1)示波器通道的底噪;
(2)示波器的分辨率(示波器的ADC位數);
(3)示波器垂直刻度最小值(量化誤差);
(4)探頭帶寬;
(5)探頭GND和信號兩個測試點的距離;
(6)示波器通道的設置;
在測試電源噪聲時,要求如下條件:
(1)需要在重負載情況下測試電源紋波;
(2)測試電源紋波時應該將CPU、GPU、DDR頻率鎖定在最高頻;
(3)測試點應該在SINK端距離PMU最遠的位置;
(4)測試點應該靠近芯片的BALL;
(5)帶寬設置為全頻段;
(6)示波器帶寬大於500MHz;
(7)噪聲波形占整個屏幕的2/3以上或者垂直刻度已經為最小值;
(8)探頭地和信號之間的回路最短,電感最小;
(9)測試時間大於1min,采樣時間1ms以上,采樣率500Ms/s以上;
(10)紋波噪聲看Pk-Pk值,關注Max、Min值;
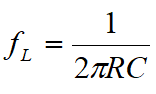
5.2 高通濾波器特性分析
示波器有AC和DC兩種耦合方式,當采用AC耦合時,其內部等效電路如圖6所示,C為隔值電容,R為終端對地阻抗,Vi為輸入信號,Vo為測量信號,濾波器的截止頻率為
為信號頻率,則有:


圖6加隔值電容後高通濾波器等效電路
表3 不同隔值電容對應的頻點

5.3 無源探頭DC耦合測試
使用無源探頭DC耦合測試,示波器內部設置為DC耦合,耦合阻抗為1Mohm,此時無源探頭的地線接主板地,信號線接待測電源信號。這種測量方法可以測到除DC以外的電源噪聲紋波。
如圖7所示,當采用普通的鱷魚夾探頭時,由於地和待測信號之間的環路太大,而探頭探測點靠近高速運行的IC芯片,近場輻射較大,會有很多EMIzaoshengfushedaotantouhuiluzhong,shiceshideshujubuzhunque。weilegaishanzhezhongqingkuang,tuijianyongwuyuantantouceshiwenboshi,shiyongyoutuzhongdetantou,jiangdixinhaochanraozaixinhaoyinjiaoshang,xiangdangyuzaidihexinhaozhijiancunzaiyigehuanludiangan,duigaopinxinhaoxiangdangyugaozu,youxiaoyizhiyouyufushechanshengdegaopinzaosheng。gengduoshihou,jianyiceshizhecaiyongdisanzhongceshifangfa,jiangyigeqibaoxianraozaitantoushang,ranhoujiangqibaoxiandehanjiedaozhubandiwangluoshang,yidongtantouquceshimeiyiludianyuanwenbozaosheng。tongshiwuyuantantouyaoqiujinliangcaiyong1:1的探頭,杜絕使用1:10的探頭。

圖7 無源探頭地線兩種處理方法
對於示波器,若垂直刻度為xV/div,示波器垂直方向為10div,滿量程為10xV,示波器采樣AD為8位,則量化誤差為10x/256 V。例如一個1V電源,噪聲紋波為50mV,如果要顯示這個信號,需要設置垂直刻度為200mV/div,此時量化誤差為7.8mV,如果把直流1V通過offset去掉,隻顯示紋波噪聲信號,垂直刻度設置為10mV即可,此時的量化誤差為0.4mV。
使用無源探頭DC耦合測試,示波器設置如下:
(1)1Mohm端接匹配;
(2)DC耦合;
(3)全帶寬;
(4)offset設置為電源電壓;
5.4 無源探頭AC耦合測試
使用無源探頭DC耦合需要設置offset,對於電源電壓不穩定的情況,offset設置不合理,會導致屏幕上顯示的信號超出量程,此時選擇AC耦合,使用內置的擱置電路來濾去直流分量。對於大多數的示波器,會有如下參數,設置為AC耦合,此時測量的為10Hz以上的噪聲紋波。

圖8 示波器兩種耦合方式頻點
使用無源探頭AC耦合測試,設置如下:
(1)1Mohm端接匹配;
(2)AC耦合;
(3)全帶寬;
(4)offset設置為0
5.5 同軸線外部隔直電容DC50歐耦合測試
由於無源探頭的帶寬較低,而電源開關噪聲一般都在百MHz以上,同時電源內阻一般在幾百毫歐以內,選擇高阻1Mohm的無源探頭對於高頻會產生反射現象,因此可以選擇用同軸線來代替無源探頭,此時示波器端接阻抗設置為50歐,與同軸線阻抗相匹配,根據傳輸線理論,電源噪聲沒有反射,此時認為測量結果最準確。
利用同軸線的測量方法,最準確的是采用DC50歐,但是大部分示波器在DC50歐時offset最大電壓為1V,無法滿足大部分電源的測量要求,而示波器內部端接阻抗為50歐時,不支持AC耦合,因此需要外置一個AC電容,如圖9所示,當串聯電容值為10uF時,根據表3可以看到,此時可以準確測試到2KHz以上的紋波噪聲信號。

圖9 同軸線DC50測量圖
5.6 同軸線AC1M歐耦合測試
由於從PMU出來的電源紋波噪聲大多集中在1MHz以內,如果采用同軸線DC50外置隔直電容測量方法,低頻噪聲分量損失較為嚴重,因此改用圖10所示的測量方法,利用同軸線傳輸信號,示波器設置為AC1M,這樣雖然存在反射,但是反射信號經過較長CABLE線折返傳輸後,影響是有限的,示波器在R2上采集電壓值可以認為仍然可以被參考。

圖10 同軸線AC1M測量圖
為了避免反射,在同軸線接到示波器的接口處端接一個50ohm電阻,使示波器輸入阻抗和cable線特征阻抗匹配。

圖11 同軸線AC1M測量改進圖
5.7 差分探頭外置電容DC耦合測試
由you於yu示shi波bo器qi的de探tan頭tou地di和he機ji殼ke地di通tong過guo一yi個ge小xiao電dian容rong接jie在zai一yi起qi,而er示shi波bo器qi的de機ji殼ke地di又you通tong過guo三san角jiao插cha頭tou和he大da地di接jie在zai一yi起qi,在zai實shi驗yan室shi裏li,幾ji乎hu所suo有you的de設she備bei地di都dou和he大da地di接jie在zai一yi起qi,示shi波bo器qi內nei部bu地di線xian接jie法fa如ru圖tu12所示,因此上麵介紹的兩種方法都無法解決地幹擾問題,為了解決這個問題,需要引入浮地示波器或者差分探頭。

圖12示波器內部地線接法
如圖13所suo示shi,為wei差cha分fen接jie法fa,由you於yu差cha分fen探tan頭tou為wei有you源yuan探tan頭tou,外wai置zhi差cha動dong放fang大da器qi,可ke以yi將jiang待dai測ce信xin號hao通tong過guo差cha分fen方fang式shi接jie入ru,使shi示shi波bo器qi的de地di和he待dai測ce件jian地di隔ge離li開kai,達da到dao浮fu地di效xiao果guo。但dan是shi差cha分fen探tan頭tou在zai示shi波bo器qi內nei部bu隻zhi能nengDC50歐耦合,而offset最大一般不超過1V,因此需要在差分探頭上串聯隔直電容。使用差分探頭測量時關鍵是探頭的CMRR要足夠大,這樣才能有效抑製共模噪聲

圖13差分探頭外置電容DC耦合接法示意圖
5.8 差分探頭衰減DC耦合測試
當采用差分探頭外置電容DC耦合時,同樣存在截止頻率的問題,測量的結果會損失一些低頻分量,為了解決這個問題,可以將差分探頭衰減10倍,示波器會將采集到的電壓值乘10顯示出來,這個時候offset設置也會放大到10V,能夠滿足終端類產品的直流電壓偏置。

圖14 差分探頭衰減DC耦合測試接法示意圖
6 電源模塊電壓測試
由於本模塊是POE電源,測試所使用的輸入電壓取自於網口,PSE供電模塊會和本模塊先進行握手通信,PSE設備確定後麵所接的是PD設備後,才給PD設備供電。如圖15所示為一個PoE SWITCH設備。

圖15 PoE SWITCH設備
如圖16所示為本模塊電路,電路長大約6.2cm,寬大約2.65cm,高大約1.5cm。

圖16 POE電源模塊
由於給POE電源是通過網口供電的,本模塊沒有特別設計一個網絡端口來給供電,而是使用“硬件十萬個為什麼”提供的開發板,此開發板是用來給物聯網編程用的,屬於工業兼學習使用的一塊開發板,可以使用開發板來實現wifi、GPRS、藍牙、串口、LORA、POE等功能的使用,故直接選擇此塊開發板來實現網絡端口供電。如圖17所示為網絡供電端口。

圖17 網絡端口供電模塊
6.1 輸入電壓測量
圖18所示為通過網絡端口過後在POE電源輸入端口測的電壓,此次所使用的示波器是鼎陽牌SDS1000X-C數字示波器。

圖18 輸入電壓波形
輸入電壓也有一定的紋波,圖19所示就是輸入電壓的紋波,可以看出紋波還是比較小的,是可以接受的紋波範圍。

圖19 輸入電壓紋波測試
6.2 輸出電壓測量
本模塊輸出電壓應該是5V輸出,但是由於很難把電壓一直穩定在5V不變。
圖20所示就是輸出電壓測試,從萬用表中看出,輸出電壓在5.1V。

圖20 輸出電壓測試
輸出電壓也是有紋波的,圖21所示就是輸出電壓的紋波測試圖。

圖21 輸出電壓紋波
從輸出紋波可以看出,此紋波在可接受範圍內的。
7 總結
本文檔簡要介紹了POE電源的基礎知識,以及整塊電路芯片以及元件選型,電路原理的介紹。電源紋波的產生以及測試方法的介紹,POE電源的測試設備介紹,以及輸入輸出電壓的測量等。
推薦閱讀:
特別推薦
- 噪聲中提取真值!瑞盟科技推出MSA2240電流檢測芯片賦能多元高端測量場景
- 10MHz高頻運行!氮矽科技發布集成驅動GaN芯片,助力電源能效再攀新高
- 失真度僅0.002%!力芯微推出超低內阻、超低失真4PST模擬開關
- 一“芯”雙電!聖邦微電子發布雙輸出電源芯片,簡化AFE與音頻設計
- 一機適配萬端:金升陽推出1200W可編程電源,賦能高端裝備製造
技術文章更多>>
- 貿澤EIT係列新一期,探索AI如何重塑日常科技與用戶體驗
- 算力爆發遇上電源革新,大聯大世平集團攜手晶豐明源線上研討會解鎖應用落地
- 創新不止,創芯不已:第六屆ICDIA創芯展8月南京盛大啟幕!
- AI時代,為什麼存儲基礎設施的可靠性決定數據中心的經濟效益
- 矽典微ONELAB開發係列:為毫米波算法開發者打造的全棧工具鏈
技術白皮書下載更多>>
- 車規與基於V2X的車輛協同主動避撞技術展望
- 數字隔離助力新能源汽車安全隔離的新挑戰
- 汽車模塊拋負載的解決方案
- 車用連接器的安全創新應用
- Melexis Actuators Business Unit
- Position / Current Sensors - Triaxis Hall
熱門搜索




