毫微功耗運算放大器的直流增益
發布時間:2021-05-01 來源:Gen Vansteeg 責任編輯:wenwei
【導讀】運算放大器(op amp)的高精度和高速度直接影響著功耗的量級。電流消耗降低則增益帶寬減少;相反,偏移電壓降低則電流消耗增大。
運算放大器的許多電子特性相互作用,相互影響。由於市場對低功耗應用的需求逐漸增大,如無線感應節點、 物聯網 (IoT) 和he樓lou宇yu自zi動dong化hua,因yin此ci為wei確que保bao同tong時shi滿man足zu終zhong端duan設she備bei性xing能neng優you化hua及ji功gong耗hao盡jin可ke能neng低di,了le解jie各ge電dian子zi特te性xing間jian的de平ping衡heng至zhi關guan重zhong要yao。此ci係xi列lie博bo文wen包bao含han三san部bu分fen,在zai第di一yi部bu分fen中zhong,我wo將jiang介jie紹shao在zai毫hao微wei功gong率lv精jing密mi運yun算suan放fang大da器qi中zhong關guan於yu直zhi流liu增zeng益yi的de功gong率lv與yu性xing能neng表biao現xian的de平ping衡heng。
直流增益
你也許還記得,在學校中學到的運算放大器的典型反相(如圖1)和非反向(如圖2)增益配置。

圖1:反相運算放大器

圖2:非反相運算放大器
根據這些配置可分別得出反相和非反相運算放大器閉環增益等式,等式1和等式2:
等式中A_CL是閉環增益,R_F 是反饋電阻值,而R_2 是從負輸入端到信號(反相)或接地(非反相)的電阻值。
這些等式說明直流增益與電阻比有關,與電阻值無關。另外,“功率”定律和歐姆定律顯示了電阻值和消耗功率兩者之間的關係(等式3):
P是電阻消耗的功率,V是電阻的壓降,I是流經電阻的電流。
對毫微功耗增益和分壓器配置而言,Equation 3顯示,流經電阻的電流消耗最小,則消耗功率最小。Equation 4有助於你了解該原理:
R是電阻值。
根據這些等式,可以看出你必須選擇既可以提供增益又可以使消耗功率(也稱功耗)最小化的大電阻值。如果不能使流經反饋通道的電流最小化,那麼使用毫微功耗運算放大器就沒有任何優勢可言。
yidanxuandingkeyimanzuzengyihegonghaoxuqiudedianzuzhihou,nihaixuyaokaolvqitayingxiangyunsuanfangdaqixinhaotiaojiejingdudedianzitexing。tongjifeilixiangyunsuanfangdaqiguyoudejigexitongxingxiaocuowu,nijianghuidechuzongpianyidianya。dianzitexing——V_OSbeidingyiweiyunsuanfangdaqishuruduanzhijiandeyouxianpianyidianya,bingqiemiaoshuletedingpianzhidiandecuowu。qingzhuyi,bingweijilusuoyouyunsuanqingkuangxiadecuowu。weici,bixukaolvzengyiwucha、偏置電流、電壓噪聲、共模抑製比(CMRR)、電源抑製比(PSRR) 和漂移。本博文無法全麵討論涉及的所有參數,我們將詳細討論一下 V_OS 和漂移,以及這兩者對毫微功率應用的影響。
實際上,運算放大器通過輸入端展示V_OS,但有時在低頻(近似直流)精密信號調節應用中則可能是一個問題。 在電壓增益環節,隨著信號被調節,偏移電壓將上升,產生測量誤差。此外,V_OS的大小隨著時間和溫度(漂移)而變化。因此,低頻應用需要相當高分辨率的測量方式,選擇一款配備最低漂移的精密 (V_OS ≤ 1mV)運算放大器非常重要。
等式5計算了與溫度相關的最大V_OS:
我已經介紹了理論部分,如:weidipinyingyongxuanzekeyitigaozengyibiheyunsuanfangdaqijingdudedadianzuzhi,xianzaiwojiangyongliangyinxiandianhuadianchilaizuochushilijieshi。liangyinxiandianhuadianchichangfachudipindexiaoxinhao,yongzaigezhongbianxieshiganyingshebeishang,ruqitijianceyi、血糖監測儀等,選擇一款低頻(<10kHz) 毫微功耗運算放大器。
用氧氣傳感(見圖 3) 作為具體的應用實例,假設感應器的最大輸出電壓為10mV(通過製造商指定的負載電阻將電流轉換成電壓R_L) ,則運算放大器的滿量程輸出電壓為1V。通過Equation 2,可以看出 A_CL 的值需要為100,或者R_F是R_2的100倍。分別選擇100MΩ電阻和1MΩ電阻,得出增益值為101,且電阻值足夠大到可以限製電流並最小化功耗。

圖3:氧氣傳感器
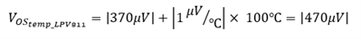
為最小化偏移誤差,LPV821零漂移毫微功耗運算放大器是一款理想器件。 使用Equation 5並假設操作溫度範圍為0°C—100°C,該器件產生的最大偏移誤差為:

另一款理想的器件是LPV811精密毫微功耗運算放大器。從其數據表收集必要數值插入等式5可以得出:
(請注意,LPV811數據表未指明偏移電壓偏移的最大上限,因此在此處使用典型值)。
如果使用通用的毫微功耗運算放大器取代,如TLV8541 ,相關值變化會得出:
(TLV8541數據表未指明偏移電壓偏移的最大上限,因此在此處仍使用典型值)。
如你所見,LPV821運算放大器是這個應用的理想選擇。電流消耗為650nA的LPV821可以感應到氧氣傳感器輸出電壓低至18µV或更低的變化,並隻有2.3mV的最大偏移增益誤差。如果需要同時滿足極高精密性和毫微功耗,零偏移毫微功耗運算放大器將是你的最佳選擇。
感謝你閱讀“如何通過毫微功耗運算放大器實現精密測量”係列的第一部分。在第二部分中,我將討論超精密微功耗運算放大器如何助力電流感應應用。
免責聲明:本文為轉載文章,轉載此文目的在於傳遞更多信息,版權歸原作者所有。本文所用視頻、圖片、文字如涉及作品版權問題,請聯係小編進行處理。
推薦閱讀:
特別推薦
- 噪聲中提取真值!瑞盟科技推出MSA2240電流檢測芯片賦能多元高端測量場景
- 10MHz高頻運行!氮矽科技發布集成驅動GaN芯片,助力電源能效再攀新高
- 失真度僅0.002%!力芯微推出超低內阻、超低失真4PST模擬開關
- 一“芯”雙電!聖邦微電子發布雙輸出電源芯片,簡化AFE與音頻設計
- 一機適配萬端:金升陽推出1200W可編程電源,賦能高端裝備製造
技術文章更多>>
- 貿澤EIT係列新一期,探索AI如何重塑日常科技與用戶體驗
- 算力爆發遇上電源革新,大聯大世平集團攜手晶豐明源線上研討會解鎖應用落地
- 創新不止,創芯不已:第六屆ICDIA創芯展8月南京盛大啟幕!
- AI時代,為什麼存儲基礎設施的可靠性決定數據中心的經濟效益
- 矽典微ONELAB開發係列:為毫米波算法開發者打造的全棧工具鏈
技術白皮書下載更多>>
- 車規與基於V2X的車輛協同主動避撞技術展望
- 數字隔離助力新能源汽車安全隔離的新挑戰
- 汽車模塊拋負載的解決方案
- 車用連接器的安全創新應用
- Melexis Actuators Business Unit
- Position / Current Sensors - Triaxis Hall
熱門搜索





