采用簡單電路提供可調CAN電平差分輸出信號
發布時間:2020-03-17 來源:Darwin Tolentino 責任編輯:wenwei
【導讀】控製器局域網(CAN)串chuan行xing總zong線xian拓tuo撲pu結jie構gou可ke使shi設she備bei和he微wei控kong製zhi器qi在zai不bu采cai用yong主zhu機ji的de情qing況kuang下xia相xiang互hu通tong信xin。它ta無wu需xu仲zhong裁cai即ji可ke進jin行xing傳chuan輸shu,可ke在zai每mei個ge設she備bei節jie點dian上shang放fang置zhi一yi個ge控kong製zhi器qi和he一yi個ge主zhu處chu理li器qi,省sheng去qu了le設she備bei與yu主zhu機ji互hu連lian時shi必bi需xu的de複fu雜za線纜。
通過使用CANH和CANL線纜上的信號,CAN總線有被動和主動兩種狀態。差分電壓大於0.9 V時,總線為主動狀態,小於0.5 V時則為被動狀態。CAN收發器(如ADM3051)可將CAN控製器連接至物理層總線。

圖1.CAN總線信號和狀態
圖1.CAN總線信號和狀態 AD8138 高速差分放大器。維持峰-峰電平時,輸出端的直流電平轉換器使輸出信號的差分電平能夠得到調整。幅度和頻率通過信號發生器調整。

圖2.用AD8138驅動CAN收發器
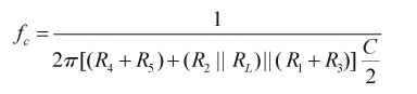
該電路采用5 V單電源供電,配置為單位增益單端轉差分放大器,共模設置為中間電壓值。R1、R2和R3組成了直流偏置電路,可將輸出信號調節至CAN電平。通過將R4和R5保持在相對於R2的較小值,電位計可輕鬆調整兩個輸出信號之間的差值,不會顯著影響其各自的幅度,能夠向DUT提供具有可變共模電平的CAN信號。由於R1和R3相等,輸出端的交流共模也不會在調整R2時受到影響。R4、R5和R2共同組成了AD8138放大器輸出端分壓器的一部分。R4和R5盡可能選用最小值,以便最大程度地減小輸出衰減,以及最大程度的降低每個輸出端的峰-峰電平在調節R2時受到的影響。若R2短接,R4和R5也能提供最小負載,以保護放大器輸出。電容C1和C2可以將直流偏置和放大器的共模輸出相隔離。這些電容還與電阻偏置網絡一同構成了高通濾波器,其截止頻率為:

其中 C = C1 = C2, RL為負載或DUT輸入阻抗,通常為20 kΩ至30 kΩ。
為了避免方波輸出信號失真,應選用盡可能大的C1 和C2 使輸入信號頻率達到10倍的最差截止頻率,其中R2||RL為最小值。例如,假設不存在輸出(DUT)負載效應,為使VCANH和VCANL信號達到圖3(a)所示的電平,R2必須達到700 Ω的最小值。0.1 µF或1 µF的耦合電容可處理1 MHz的信號。圖3(b)顯示了R2調整差分輸出電平的過程。
將這些輸出信號用做收發器的VCANH和VCANL輸入後,可以通過測量平台表征接收器參數,如所需頻率下的傳播延遲、上升時間和閾值。

圖3.VCANH和VCANL輸出
推薦閱讀:
特別推薦
- 噪聲中提取真值!瑞盟科技推出MSA2240電流檢測芯片賦能多元高端測量場景
- 10MHz高頻運行!氮矽科技發布集成驅動GaN芯片,助力電源能效再攀新高
- 失真度僅0.002%!力芯微推出超低內阻、超低失真4PST模擬開關
- 一“芯”雙電!聖邦微電子發布雙輸出電源芯片,簡化AFE與音頻設計
- 一機適配萬端:金升陽推出1200W可編程電源,賦能高端裝備製造
技術文章更多>>
- 突破工藝邊界,奎芯科技LPDDR5X IP矽驗證通過,速率達9600Mbps
- 通過直接、準確、自動測量超低範圍的氯殘留來推動反滲透膜保護
- 從技術研發到規模量產:恩智浦第三代成像雷達平台,賦能下一代自動駕駛!
- 從機械執行到智能互動:移遠Q-Robotbox助力具身智能加速落地
- 品英Pickering將亮相2026航空電子國際論壇,展示航電與電池測試前沿方案
技術白皮書下載更多>>
- 車規與基於V2X的車輛協同主動避撞技術展望
- 數字隔離助力新能源汽車安全隔離的新挑戰
- 汽車模塊拋負載的解決方案
- 車用連接器的安全創新應用
- Melexis Actuators Business Unit
- Position / Current Sensors - Triaxis Hall
熱門搜索
按鈕開關
白色家電
保護器件
保險絲管
北鬥定位
北高智
貝能科技
背板連接器
背光器件
編碼器型號
便攜產品
便攜醫療
變容二極管
變壓器
檳城電子
並網
撥動開關
玻璃釉電容
剝線機
薄膜電容
薄膜電阻
薄膜開關
捕魚器
步進電機
測力傳感器
測試測量
測試設備
拆解
場效應管
超霸科技



