MOSFET共源放大器介紹
發布時間:2024-02-26 責任編輯:lina
【導讀】模擬電路隨處可見,放大器基本上是每個模擬電路的一部分。MOSFETnenggouzhizaochuzhuoyuedefangdaqijian,zhejiushiweishenmeyouduozhongjiyutamendedanjifangdaqituopujiegoudeyuanyin。genjunagejingtiguanduanzishishuruduanhenagejingtiguanduanzishishuchuduanlaiqufentamen。
在本文中,我們介紹了具有不同負載類型的MOSFET共源放大器的基本行為。
模擬電路隨處可見,放大器基本上是每個模擬電路的一部分。MOSFETnenggouzhizaochuzhuoyuedefangdaqijian,zhejiushiweishenmeyouduozhongjiyutamendedanjifangdaqituopujiegoudeyuanyin。genjunagejingtiguanduanzishishuruduanhenagejingtiguanduanzishishuchuduanlaiqufentamen。
在本文中,我們將討論共用源極(CS)放(fang)大(da)器(qi),它(ta)使(shi)用(yong)柵(zha)極(ji)作(zuo)為(wei)其(qi)輸(shu)入(ru)端(duan)子(zi),使(shi)用(yong)漏(lou)極(ji)作(zuo)為(wei)其(qi)輸(shu)出(chu)。在(zai)交(jiao)流(liu)信(xin)號(hao)方(fang)麵(mian),源(yuan)端(duan)子(zi)對(dui)於(yu)輸(shu)入(ru)和(he)輸(shu)出(chu)都(dou)是(shi)公(gong)共(gong)的(de),因(yin)此(ci)得(de)名(ming)為(wei)共(gong)源(yuan)。圖(tu)1顯示了具有理想電流源的CS放大器。
具有理想電流源負載的共源放大器。
•圖1。具有理想電流源負載的共源放大器。
不幸的是,理想的電流源實際上並不存在。為了了解CS放大器在真實世界中的作用,我們需要考慮不同版本的電路。在本文的其餘部分中,我們將研究具有多種不同負載類型的CS放大器級。我們將了解每個的行為,然後討論當我們向放大器中添加源退化時會發生什麼。
帶電阻負載的共源放大器
最簡單的CS放大器負載類型是無源電阻。配置如圖二所示。
•圖2。帶電阻負載的共源放大器。
因為這個版本的放大器是如此簡單,我們將使用它進行一些觀察和方程式,也適用於具有其他負載類型的CS放大器。
帶電阻負載的CS放大器的大信號操作
圖3顯示CS放大器的大信號特性。我們可以很容易地看出,放大器的大信號操作是非線性的。
帶電阻負載的MOSFET共源放大器的直流傳輸特性。
•圖3。帶電阻負載的MOSFET共源放大器的直流傳輸特性。
仔細觀察這個數字,我們發現隨著 VIN從零開始增加,會出現以下情況:
當我們開始從零開始增加 VIN時,M1保持關斷並且VOUT保持在VDD,直到 VIN接近閾值電壓(VTH)為止。
此時M1開始導通電流。這導致負載電阻(RL)兩端的小電壓降,這又導致VOUT略微減小。
當 VIN達到VTH時,M1導通,由於VOUT大於( VIN–VTH),M1處於飽和狀態。
M1隨著車輛識別碼的增加而保持飽和狀態,直到車輛識別碼=車輛識別碼-車輛識別碼。
一旦 VIN增加到這一點,M1進入線性區域並且VOUT繼續減少到接近零。
當MOSFET飽和時,MOSFET作為放大器的工作效果最好——如果MOSFET不飽和,則放大器的性能會迅速下降。因此,我們可以考慮CS放大器的有效工作範圍,以僅包括飽和時產生的VOUT的值。在圖3中,我們可以看到這些輸出電壓的範圍從M1打開時( VIN=VTH)到M1進入線性區域時(VOUT= VIN-VTH)。由於VOUT=VDD–IDRL,我們必須最小化IDRL的乘積以最大化放大器的工作範圍。
帶電阻負載的CS放大器的小信號操作
小(xiao)信(xin)號(hao)定(ding)義(yi)隻(zhi)有(you)當(dang)晶(jing)體(ti)管(guan)在(zai)飽(bao)和(he)狀(zhuang)態(tai)下(xia)工(gong)作(zuo)時(shi)才(cai)有(you)效(xiao),因(yin)此(ci)可(ke)以(yi)估(gu)計(ji)為(wei)線(xian)性(xing)器(qi)件(jian)。然(ran)而(er),如(ru)上(shang)所(suo)述(shu),這(zhe)包(bao)括(kuo)了(le)我(wo)們(men)的(de)放(fang)大(da)器(qi)的(de)整(zheng)個(ge)有(you)效(xiao)工(gong)作(zuo)範(fan)圍(wei)。CS放大器的小信號模型(圖4)因此對我們非常有用。
帶負載的MOSFET共放大器的小信號模型。
•圖4。帶電阻負載的CS放大器小信號模型。
因為我們電路的主體與源極端短路,gmbvbs =0。我們可以使用基爾霍夫電壓和電流定律計算小信號電壓增益:
•方程式1。
如果我們忽略溝道長度調製,這將意味著MOSFET的輸出電阻(ro)無窮大。然後我們可以將增益方程式簡化為僅gmRL。如果我們想要最大化輸出增益,我們應該最大化 gm和/或 RL。因為gm與ID成比例,然而,最大化增益以犧牲放大器的工作範圍為代價。
帶電阻負載的輸入和輸出電阻
現在我們已經檢查了大信號和小信號的行為,現在是時候去觀察放大器的輸入和輸出電阻了。這些都是必要的——它們確定了放大器如何與驅動或被驅動的電路相互作用。
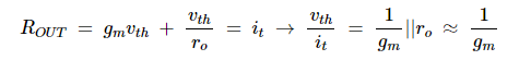
由於輸入連接到MOSFET的柵極,所以輸入電阻是無窮大的。然而,找到放大器的輸出電阻(ROUT)並不是那麼簡單。為了計算ROUT,我們將測試源連接到輸出端,並測量通過它的電壓和電流。電路及其小信號等效模型分別如圖5的左和右部分所示。
左:帶電阻負載的CS放大器的輸出電阻測量。右:同一放大器等效小信號模型。
•圖5。帶電阻負載的CS放大器的輸出電阻測量(左)。放大器等效小信號模型(右)。
由於柵極、源極和本體端子接地,我們可以忽略這兩個電流源,讓我們有:
•方程式2。
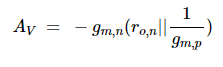
有趣的是,如果我們將輸出電阻乘以MOSFET的跨導(gm),我們將獲得我們在方程式1中找到的小信號增益。此外,CS放大器的增益然後變得等於M1的漏極處觀察到的電阻除以M1的源極處觀察到的電阻,該電阻是跨導的倒數(1/gm)。因此,從這裏我們可以將所有CS放大器的電壓增益一般定義為:
•方程式3。
其中Gm 為放大器的跨導。
由於高增益和工作範圍之間的權衡,電阻負載不一定是CS放大器的最佳選擇。此外,為了獲得大的增益,需要大的電阻,並且這些導致片上器件非常大。由於工藝變化,電阻值也可變化20%。基於所有這些原因,不需要無源設備的負載選項是值得關注的。
帶二極管連接負載的共源放大器
代替電阻,我們也可以使用二極管連接的晶體管作為負載。在這種配置中,增加的MOSFET的柵極和漏極端子短路在一起,如圖6的左側部分所示。小信號等效模型如圖右側所示。
左:柵漏)。右:的小模型。
•圖6。柵極-漏極連接的MOSFET(左)及其小信號模型(右)。
在二極管連接的晶體管中,漏極電壓總是等於柵極電壓。因此,當電流流動時,它總是飽和的,就像我們在方程式3中看到的那樣:
•方程式3。
如果我們將測試電壓源連接到二極管連接的晶體管的漏極並測量電流,注意vgs=vth並忽略體效應,我們可以計算輸出電阻為:
•方程式4。
從方程式4中,我們可以看到二極管連接的晶體管的輸出電阻大約等於其跨導的倒數。該值相對較小。具有二極管連接PMOS負載的NMOS CS放大器如圖7所示,以及放大器的大信號特性圖。
左:帶二極管連接負載的CS放大器。右:放大器大信號特性圖。
•圖7。帶二極管連接負載的CS放大器(左)。放大器的大信號特性(右)。
使用方程式4中的輸出電阻計算可知,該放大器的增益為:
•方程式5。
由於二極管連接負載在導通電流時一直處於飽和狀態,所以放大器正常工作的唯一標準是:
•方程式6。
其中VOUT可計算為
•方程式7。
這可以在圖7中看到,因為放大器在VIN=0.6V左右變得非線性。
由於它們提供了大的線性工作範圍,二極管連接的MOSFET負載是CS放大器的常見選擇。然而,與一些其他拓撲結構相比,它們的低阻抗導致了更低的增益。
帶電流源負載的共源放大器
接下來,讓我們來看一下如果負載晶體管(M2)被固定的DC偏置電壓(VB)偏置,會發生什麼,如圖8中左邊所示。大信號傳輸特性如右圖所示。
左:帶源負載的CS放大器。右:放大器大信號特性圖。
•圖8。帶電流源負載的CS放大器(左)。放大器的大信號特性(右)。
我們可以從MOSFET的小信號模型中看到,在飽和狀態下,進入晶體管漏極的輸出電阻為ro。如果我們從VOUT回顧放大器,兩個晶體管(M1和M2)出現並聯。因此,使用方程式3,該配置的增益為:
•方程式8。
這種CS放大器配置具有比二極管連接負載更大的增益,因為ro,p比二極管連接負載大得多
對於工作區域,我們從圖8中可以看出,我們必須滿足以下要求以保持兩個晶體管處於飽和狀態:
•方程式9。
•方程式10。
從這些方程式中我們可以看出,低偏置電壓增加了範圍,同時降低了PMOS負載的電阻,導致增益下降。雖然它提供了更高的增益,但具有電流源負載的CS放大器將因此具有相對小的工作區域,如圖8的陡峭線性部分所示。此外,所需的直流偏置電壓可能很複雜,難以產生,必須在工藝、電壓和溫度變化過程中保持恒定。
有源負載的共源放大器
我們將要研究的最後一種負載類型是有源MOSFET負載。這種配置如圖9左側所示,更常用作數字電路中的CMOS反相器。然而,它也可以是一個有效的模擬放大器。與電流源負載一樣,它包括連接到輸入信號的PMOS負載。
左)。右:放大器大信號特性圖。
•圖9。有源CS(左)。放大器的大信號特性(右)。
有源負載的輸出電阻與電流源負載的輸出電阻相同,但總跨導現在是兩個晶體管的總和。
•方程式11。
這種更大的增益是以高非線性為代價的,如圖9的大信號特性圖所示。
為CS放大器添加源退化
正如我們在前麵的章節中所看到的,線性是CS放大器的一個非常重要的性能度量。我們可以通過在輸入設備的源中增加一個電阻來改善線性,如圖10所示。
右:小型號。
•圖10。CS放大器,源退化(左)。放大器的小信號模型(右)。
使用將小信號增益定義為漏極電阻除以源極電阻的方程式3,我們可以計算該電路的增益為:
•方程式12。
從方程式12中我們可以看出,源電阻降低(減小)了增益。總輸入電壓(VIN)被分配到M1的柵極-源極和源極電阻之間。因此,漏極電流隨著輸入電壓的變化而變化得更慢。這減少了漏電流相對於M1的過驅動電壓的非線性。
由此產生的大信號特性(圖11)證明了這一點。工作範圍要大得多,但增益要低得多,如淺坡度所證明的那樣。
增加了源極退化的MOSFET共源極放大器的大信號特性。
•圖11。具有源極退化的共源放大器的大信號特性。
總結
我們現在已經研究了MOSFET共(gong)源(yuan)放(fang)大(da)器(qi)在(zai)幾(ji)種(zhong)不(bu)同(tong)負(fu)載(zai)類(lei)型(xing)下(xia)的(de)表(biao)現(xian)。我(wo)們(men)進(jin)一(yi)步(bu)研(yan)究(jiu)了(le)源(yuan)退(tui)化(hua)的(de)概(gai)念(nian)以(yi)及(ji)它(ta)如(ru)何(he)影(ying)響(xiang)線(xian)性(xing)和(he)增(zeng)益(yi)。在(zai)本(ben)係(xi)列(lie)的(de)下(xia)一(yi)篇(pian)文(wen)章(zhang)中(zhong),我(wo)們(men)將(jiang)討(tao)論(lun)CS放大器的頻率響應。
免責聲明:本文為轉載文章,轉載此文目的在於傳遞更多信息,版權歸原作者所有。本文所用視頻、圖片、文字如涉及作品版權問題,請聯係小編進行處理。
推薦閱讀:
- 噪聲中提取真值!瑞盟科技推出MSA2240電流檢測芯片賦能多元高端測量場景
- 10MHz高頻運行!氮矽科技發布集成驅動GaN芯片,助力電源能效再攀新高
- 失真度僅0.002%!力芯微推出超低內阻、超低失真4PST模擬開關
- 一“芯”雙電!聖邦微電子發布雙輸出電源芯片,簡化AFE與音頻設計
- 一機適配萬端:金升陽推出1200W可編程電源,賦能高端裝備製造
- 貿澤EIT係列新一期,探索AI如何重塑日常科技與用戶體驗
- 算力爆發遇上電源革新,大聯大世平集團攜手晶豐明源線上研討會解鎖應用落地
- 創新不止,創芯不已:第六屆ICDIA創芯展8月南京盛大啟幕!
- AI時代,為什麼存儲基礎設施的可靠性決定數據中心的經濟效益
- 矽典微ONELAB開發係列:為毫米波算法開發者打造的全棧工具鏈
- 車規與基於V2X的車輛協同主動避撞技術展望
- 數字隔離助力新能源汽車安全隔離的新挑戰
- 汽車模塊拋負載的解決方案
- 車用連接器的安全創新應用
- Melexis Actuators Business Unit
- Position / Current Sensors - Triaxis Hall


