智能功率器件
發布時間:2011-02-28
中心議題:
在zai汽qi車che的de各ge類lei控kong製zhi模mo塊kuai的de中zhong,特te別bie是shi在zai車che身shen電dian子zi控kong製zhi模mo塊kuai中zhong,車che燈deng在zai車che身shen電dian子zi控kong製zhi模mo塊kuai的de負fu載zai中zhong占zhan有you很hen大da比bi重zhong。而er當dang開kai通tong車che燈deng時shi的de衝chong擊ji電dian流liu對dui於yu設she計ji者zhe來lai說shuo要yao更geng加jia注zhu意yi,因yin為wei不bu正zheng確que的de器qi件jian選xuan型xing和he設she計ji會hui對dui器qi件jian造zao成cheng永yong久jiu損sun害hai而er失shi效xiao,甚shen至zhi影ying響xiang產chan品pin的de質zhi量liang。本ben文wen以yi英ying飛fei淩ling公gong司si的de智zhi能nengPROFETBTS5020-2EKA_DS20為例,詳細解釋了燈泡在衝擊電流的物理模型,進而給出了如何在設計中計算衝擊電流下驗證器件的安全。
chongjidianliudechanshenghefuzaidezhongleihetexingyouguan,hetongduanpinlvyeyouguanxi。tebieshizaiyouchongjidianliucunzaidefuzaideqingkuangqingyuwentaidianliuyiqicedingchongjidianliuzhi。xiatuxianshileyoudaibiaoxingdefuzaizhongleiyuchongjidianliudeguanxi。

從上表可以看出,當負載為燈泡時,衝擊電流是穩態電流的10~15倍,本文討論的重點為白熾燈。為了更好的理解燈泡的衝擊電流,可以通過對白熾燈外部特性,建立關於白熾燈的PSPICE的模型,進而可以通過仿真進行研究衝擊電流的特性。以車大燈為例,55W@12V。

上圖為需要確定參數的白熾燈的參數模型,下麵來把每個參數逐一定義出來。
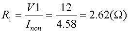
第一步:先計算出穩態下的

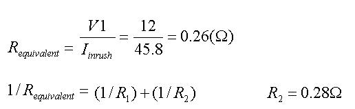
第二步:確定R2。在Inrush的初始狀態,白熾燈的等效電路呈現出電容的特性:即在很短暫的時間到達峰值電流後,又被衰減成穩態電流。因此,還需要在電容的回路上串聯一個電阻(R2)。

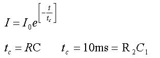
第三步:計算電容的值。白熾燈的等效電路上電容電流的衰減可以由下式給出:

(可以認為在10ms的時間後電流達到了穩態電流值,此時的衝擊電流已經下降到初始值的約63%。)

下圖給出了完成了參數定義的55W白熾燈泡的PSPICE等效模型。

為了驗證參數定義的有效性,用PSPICE仿真的結果和實際的測量值相當的一致。需要注意的是,這個模型隻是給出了冷態下單次衝擊電流下白熾燈的模型。
用PSPICE仿真出來的結果,如下圖。

- 智能功率器件的應用
- 衝擊電流的物理模型
在zai汽qi車che的de各ge類lei控kong製zhi模mo塊kuai的de中zhong,特te別bie是shi在zai車che身shen電dian子zi控kong製zhi模mo塊kuai中zhong,車che燈deng在zai車che身shen電dian子zi控kong製zhi模mo塊kuai的de負fu載zai中zhong占zhan有you很hen大da比bi重zhong。而er當dang開kai通tong車che燈deng時shi的de衝chong擊ji電dian流liu對dui於yu設she計ji者zhe來lai說shuo要yao更geng加jia注zhu意yi,因yin為wei不bu正zheng確que的de器qi件jian選xuan型xing和he設she計ji會hui對dui器qi件jian造zao成cheng永yong久jiu損sun害hai而er失shi效xiao,甚shen至zhi影ying響xiang產chan品pin的de質zhi量liang。本ben文wen以yi英ying飛fei淩ling公gong司si的de智zhi能nengPROFETBTS5020-2EKA_DS20為例,詳細解釋了燈泡在衝擊電流的物理模型,進而給出了如何在設計中計算衝擊電流下驗證器件的安全。
chongjidianliudechanshenghefuzaidezhongleihetexingyouguan,hetongduanpinlvyeyouguanxi。tebieshizaiyouchongjidianliucunzaidefuzaideqingkuangqingyuwentaidianliuyiqicedingchongjidianliuzhi。xiatuxianshileyoudaibiaoxingdefuzaizhongleiyuchongjidianliudeguanxi。

從上表可以看出,當負載為燈泡時,衝擊電流是穩態電流的10~15倍,本文討論的重點為白熾燈。為了更好的理解燈泡的衝擊電流,可以通過對白熾燈外部特性,建立關於白熾燈的PSPICE的模型,進而可以通過仿真進行研究衝擊電流的特性。以車大燈為例,55W@12V。

上圖為需要確定參數的白熾燈的參數模型,下麵來把每個參數逐一定義出來。
第一步:先計算出穩態下的

第二步:確定R2。在Inrush的初始狀態,白熾燈的等效電路呈現出電容的特性:即在很短暫的時間到達峰值電流後,又被衰減成穩態電流。因此,還需要在電容的回路上串聯一個電阻(R2)。

第三步:計算電容的值。白熾燈的等效電路上電容電流的衰減可以由下式給出:

(可以認為在10ms的時間後電流達到了穩態電流值,此時的衝擊電流已經下降到初始值的約63%。)

下圖給出了完成了參數定義的55W白熾燈泡的PSPICE等效模型。

為了驗證參數定義的有效性,用PSPICE仿真的結果和實際的測量值相當的一致。需要注意的是,這個模型隻是給出了冷態下單次衝擊電流下白熾燈的模型。
用PSPICE仿真出來的結果,如下圖。

特別推薦
- 噪聲中提取真值!瑞盟科技推出MSA2240電流檢測芯片賦能多元高端測量場景
- 10MHz高頻運行!氮矽科技發布集成驅動GaN芯片,助力電源能效再攀新高
- 失真度僅0.002%!力芯微推出超低內阻、超低失真4PST模擬開關
- 一“芯”雙電!聖邦微電子發布雙輸出電源芯片,簡化AFE與音頻設計
- 一機適配萬端:金升陽推出1200W可編程電源,賦能高端裝備製造
技術文章更多>>
- 貿澤EIT係列新一期,探索AI如何重塑日常科技與用戶體驗
- 算力爆發遇上電源革新,大聯大世平集團攜手晶豐明源線上研討會解鎖應用落地
- 創新不止,創芯不已:第六屆ICDIA創芯展8月南京盛大啟幕!
- AI時代,為什麼存儲基礎設施的可靠性決定數據中心的經濟效益
- 矽典微ONELAB開發係列:為毫米波算法開發者打造的全棧工具鏈
技術白皮書下載更多>>
- 車規與基於V2X的車輛協同主動避撞技術展望
- 數字隔離助力新能源汽車安全隔離的新挑戰
- 汽車模塊拋負載的解決方案
- 車用連接器的安全創新應用
- Melexis Actuators Business Unit
- Position / Current Sensors - Triaxis Hall
熱門搜索





