運放正負端之間跨接電阻作用的分析(上)【原創】
發布時間:2014-09-28 責任編輯:sherryyu
【導讀】前幾天看到一篇求助帖,問運放構成的電壓跟隨器中運放正負端之間跨接電阻作用。最初我分析了一下,認為電阻R6沒有任何作用,後來受到啟發,有了點想法,請看客指出不足和可以進一步深入分析的地方。
新人求助:請幫忙看看這個電壓跟隨器R6的作用及多大合適?
電壓跟隨器為什麼要在同相輸入端與輸出端加上電阻R6,這樣做有什麼好處麼?阻值多大怎麼確定。謝謝。

有兩個人是這樣的回答的:
1、視頻信號裏有大量的高頻信號成份,清晰度越高,信號的頻率也越高,而運放是有頻率帶寬的,高頻信號經過運放情況很複雜,再加上PCB走線的電感影響,很難用理想的模型進行分析,這個電阻應該是提升頻率響應用的,一般在幾百歐,甚至幾十歐,要靠實驗來確定的,K級應該作用很小,M級沒意義的。
2、是擴展頻率響和穩定應用的. 4樓,11樓的說法是對的。如果運放的帶寬足夠,可以不接的。
基於這兩個回答,這裏重慶大學的老師有了自己的想法。最初我分析了一下,認為電阻R6沒(mei)有(you)任(ren)何(he)作(zuo)用(yong),後(hou)來(lai)受(shou)到(dao)啟(qi)發(fa),發(fa)現(xian)用(yong)理(li)想(xiang)模(mo)型(xing)去(qu)分(fen)析(xi)是(shi)不(bu)對(dui)的(de),於(yu)是(shi)再(zai)進(jin)行(xing)分(fen)析(xi),得(de)到(dao)答(da)案(an)。映(ying)證(zheng)了(le)我(wo)第(di)二(er)次(ci)分(fen)析(xi)得(de)到(dao)的(de)答(da)案(an)。現(xian)在(zai)將(jiang)分(fen)析(xi)過(guo)程(cheng)列(lie)出(chu),請(qing)看(kan)客(ke)指(zhi)出(chu)不(bu)足(zu)和(he)可(ke)以(yi)進(jin)一(yi)步(bu)深(shen)入(ru)分(fen)析(xi)的(de)地(di)方(fang)。

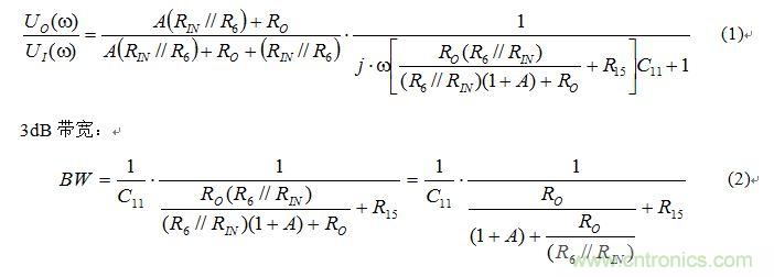
頻率響應:

其中,Ro為運放的輸出電阻,RIN為運放的輸入電阻,A為運放的增益。
若電阻R6很小,(R6//RIN)=R6,再假設運放增益A很大,運放輸出電阻RO很小,可進行化簡,如下:

可見,這就是一個低通濾波器,而且其頻率響應和R6無關。但是,我們得出這樣的結論是做了一係列的假設,實際的運放,由於其非理想,隨著頻率的升高,增益A會下降。

我們不妨假設A很小,利用(2)式,可得不加R6時,電路的帶寬為:


從上式看出,當A較小時,R6的加入確實有擴展帶寬的作用,但R6的取值不能太大。當R6取得很大時,x=R0/R6趨近於0,BW2/BW1趨近於1,也就不能擴展帶寬了。
結論:當運放本身的帶寬小於(3)式時,整個電路的帶寬受運放的限製,這時,電路加入R6應比不加R6帶寬要寬。當運放本身的帶寬大於(3)式時,電路帶寬由C11和R15決定。這種情況下,加入R6的意義不大。
特別推薦
- 噪聲中提取真值!瑞盟科技推出MSA2240電流檢測芯片賦能多元高端測量場景
- 10MHz高頻運行!氮矽科技發布集成驅動GaN芯片,助力電源能效再攀新高
- 失真度僅0.002%!力芯微推出超低內阻、超低失真4PST模擬開關
- 一“芯”雙電!聖邦微電子發布雙輸出電源芯片,簡化AFE與音頻設計
- 一機適配萬端:金升陽推出1200W可編程電源,賦能高端裝備製造
技術文章更多>>
- 貿澤EIT係列新一期,探索AI如何重塑日常科技與用戶體驗
- 算力爆發遇上電源革新,大聯大世平集團攜手晶豐明源線上研討會解鎖應用落地
- 創新不止,創芯不已:第六屆ICDIA創芯展8月南京盛大啟幕!
- AI時代,為什麼存儲基礎設施的可靠性決定數據中心的經濟效益
- 矽典微ONELAB開發係列:為毫米波算法開發者打造的全棧工具鏈
技術白皮書下載更多>>
- 車規與基於V2X的車輛協同主動避撞技術展望
- 數字隔離助力新能源汽車安全隔離的新挑戰
- 汽車模塊拋負載的解決方案
- 車用連接器的安全創新應用
- Melexis Actuators Business Unit
- Position / Current Sensors - Triaxis Hall
熱門搜索





