運放正負端之間跨接電阻作用的分析(下)【原創】
發布時間:2014-09-29 責任編輯:sherryyu
【導讀】前麵關於運放構成的電壓跟隨器中運放正負端之間跨接電阻作用的分析,有了基礎的分析《運放正負端之間跨接電阻作用的分析(上)》,這裏講繼續為大家分析作用,這裏將結合仿真結果來詳細分析運放正負端之間跨接電阻作用。
仿真結果
圖1(R6=1歐姆)

圖2(R6=1歐姆)

從仿真結果來看R6的加入使得係統函數的極點少了兩個,改善了係統的穩定性,在加入R6之前,係統的相位裕量為107度,幅度裕量為9dB,最大相移270度。而加入R6之後,相位裕量大於137度,而且最大相移降低到90度,這說明穩定性有了很大的改善。R6的加入實際上使得係統的3dB帶寬降低了,由原來的5.8MHz降為3.4MHz。但在高頻段在加入R6之前,幅度按60dB/10倍頻程衰減,加入R6後,幅度按20dB/10倍頻程衰減。在7.5MHz左右兩個幅頻曲線相交,此時幅頻響應為-7.8dB。在交點右邊,加入R6後電路的幅頻響應曲線大於不加入R6的電路。
圖3(R6=1歐姆)

圖3表明,加入R6後,群時延從62.5nS降低到22.6nS。
[page]
仿真結果表明,加入R6後,電路穩定性得到提升,群時延減小,但3dB帶寬降低了,當頻率超過7.5MHz後加入R6後的電路幅頻響應大於不加R6的電路。
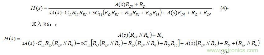
為什麼加入R6會使係統的極點由3個變為1個呢,對此不解,因此將增益A用A(s)代替,將係統函數寫為:不加入R6:

從係統函數來看仍然不能得到結果,因為不知道A(s),Rin,Ro的值,無法得到R6的加入為什麼能將原來的極點數減少兩個。
於是仿真了更寬的頻帶(如圖4),發現在不加R6的情況下,係統在1THz附近還有兩個零點,結合式(4)和式(5),可得出A(s)為二階,不加R6時,係統傳遞函數為 (4) 式,有三個極點,兩個零點,並且三個極點均分布在6.2MHz左右,而兩個零點位於1THz附近,和低頻段的極點相距甚遠,所以在1THz以下,係統表現出3個極點的特性。加入R6後係統傳遞函數為(5)式,仍然有三個極點,兩個零點,但三個極點和兩個零點的位置均在3.5MHz左右,所以從幅頻特性曲線上看,隻看到一個極點的影響。R6dezuoyongshijiangweiyugaopinduandelingdianbandaodipinduan,shixitongbiaoxianweizhiyouyigejidian,tishenglexitongdewendingxing,jianxiaolequnshiyan,jiangdilezaigaopinduandeshuaijianliang,dantongshiyejiangdile3dB帶寬。
令R6=150k,仿真得到圖5,R6將兩個零點從1THz附近搬移一1GHz附近,映證了前麵的分析。加入R6後,在1GHz以下,係統表現為三個極點的特性,在1GHz以上由於兩個零點開始發揮作用,表現為1個極點的特性。
圖4(R6=1歐姆)

圖5(R6=150k)

特別推薦
- 噪聲中提取真值!瑞盟科技推出MSA2240電流檢測芯片賦能多元高端測量場景
- 10MHz高頻運行!氮矽科技發布集成驅動GaN芯片,助力電源能效再攀新高
- 失真度僅0.002%!力芯微推出超低內阻、超低失真4PST模擬開關
- 一“芯”雙電!聖邦微電子發布雙輸出電源芯片,簡化AFE與音頻設計
- 一機適配萬端:金升陽推出1200W可編程電源,賦能高端裝備製造
技術文章更多>>
- 貿澤EIT係列新一期,探索AI如何重塑日常科技與用戶體驗
- 算力爆發遇上電源革新,大聯大世平集團攜手晶豐明源線上研討會解鎖應用落地
- 創新不止,創芯不已:第六屆ICDIA創芯展8月南京盛大啟幕!
- AI時代,為什麼存儲基礎設施的可靠性決定數據中心的經濟效益
- 矽典微ONELAB開發係列:為毫米波算法開發者打造的全棧工具鏈
技術白皮書下載更多>>
- 車規與基於V2X的車輛協同主動避撞技術展望
- 數字隔離助力新能源汽車安全隔離的新挑戰
- 汽車模塊拋負載的解決方案
- 車用連接器的安全創新應用
- Melexis Actuators Business Unit
- Position / Current Sensors - Triaxis Hall
熱門搜索





