接地層使用指南
發布時間:2020-01-15 責任編輯:wenwei
【導讀】接地層的使用與星型接地係統相關。為了實施接地層,雙麵PCB(或多層PCB的一層)的de一yi麵mian由you連lian續xu銅tong製zhi造zao,而er且qie用yong作zuo地di。其qi理li論lun基ji礎chu是shi大da量liang金jin屬shu具ju有you可ke能neng最zui低di的de電dian阻zu。由you於yu使shi用yong大da型xing扁bian平ping導dao體ti,它ta也ye具ju有you可ke能neng最zui低di的de電dian感gan。因yin而er,它ta提ti供gong了le最zui佳jia導dao電dian性xing能neng,包bao括kuo最zui大da程cheng度du地di降jiang低di導dao電dian平ping麵mian之zhi間jian的de雜za散san接jie地di差cha異yi電dian壓ya。
接地層
接地層概念還可以延伸,包括電壓層。電壓層提供類似於接地層的優勢—極低阻抗的導體—但隻用於一個(或多個)係(xi)統(tong)電(dian)源(yuan)電(dian)壓(ya)。因(yin)此(ci),係(xi)統(tong)可(ke)能(neng)具(ju)有(you)多(duo)個(ge)電(dian)壓(ya)層(ceng)以(yi)及(ji)接(jie)地(di)層(ceng)。雖(sui)然(ran)接(jie)地(di)層(ceng)可(ke)以(yi)解(jie)決(jue)很(hen)多(duo)地(di)阻(zu)抗(kang)問(wen)題(ti),但(dan)它(ta)們(men)並(bing)非(fei)靈(ling)丹(dan)妙(miao)藥(yao)。即(ji)使(shi)是(shi)一(yi)片(pian)連(lian)續(xu)的(de)銅(tong)箔(bo),也(ye)會(hui)有(you)殘(can)留(liu)電(dian)阻(zu)和(he)電(dian)感(gan);在(zai)特(te)定(ding)情(qing)況(kuang)下(xia),這(zhe)些(xie)就(jiu)足(zu)以(yi)妨(fang)礙(ai)電(dian)路(lu)正(zheng)常(chang)工(gong)作(zuo)。設(she)計(ji)人(ren)員(yuan)應(ying)該(gai)注(zhu)意(yi)不(bu)要(yao)在(zai)接(jie)地(di)層(ceng)注(zhu)入(ru)很(hen)高(gao)電(dian)流(liu),因(yin)為(wei)這(zhe)樣(yang)可(ke)能(neng)產(chan)生(sheng)壓(ya)降(jiang),從(cong)而(er)幹(gan)擾(rao)敏(min)感(gan)電(dian)路(lu)。
保持低阻抗大麵積接地層對目前所有模擬電路都很重要。接地層不僅用作去耦高頻電流(源於快速數字邏輯)的低阻抗返回路徑,還能將EMI/RFI輻射降至最低。由於接地層的屏蔽作用,電路受外部EMI/RFI的影響也會降低。
接地層還允許使用傳輸線路技術(微帶線或帶狀線)傳輸高速數字或模擬信號,此類技術需要可控阻抗。
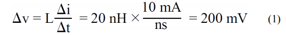
由於“總線(bus wire)”在大多數邏輯轉換等效頻率下具有阻抗,將其用作“地”完全不能接受。例如,#22標準導線具有約20nH/in的電感。由邏輯信號產生的壓擺率為10mA/ns的瞬態電流,流經1英寸該導線時將形成200mV的無用壓降:
對於具有2V峰峰值範圍的信號,此壓降會轉化為大約200mV或10%的誤差(大約“3.5位精度”)。即使在全數字電路中,該誤差也會大幅降低邏輯噪聲裕量。
圖1顯示數字返回電流調製模擬返回電流的情況(頂圖)。接地返回導線電感和電阻由模擬和數字電路共享,這會造成相互影響,最終產生誤差。

圖1.流入模擬返回路徑的數字電流產生誤差電壓
一個可能的解決方案是讓數字返回電流路徑直接流向GND REF,如底圖所示。這顯示了“星型”或huo單dan點dian接jie地di係xi統tong的de基ji本ben概gai念nian。在zai包bao含han多duo個ge高gao頻pin返fan回hui路lu徑jing的de係xi統tong中zhong很hen難nan實shi現xian真zhen正zheng的de單dan點dian接jie地di。因yin為wei各ge返fan回hui電dian流liu導dao線xian的de物wu理li長chang度du將jiang引yin入ru寄ji生sheng電dian阻zu和he電dian感gan,所suo以yi獲huo得de低di阻zu抗kang高gao頻pin接jie地di就jiu很hen困kun難nan。實shi際ji操cao作zuo中zhong,電dian流liu回hui路lu必bi須xu由you大da麵mian積ji接jie地di層ceng組zu成cheng,以yi便bian獲huo取qu高gao頻pin電dian流liu下xia的de低di阻zu抗kang。如ru果guo無wu低di阻zu抗kang接jie地di層ceng,則ze幾ji乎hu不bu可ke能neng避bi免mian上shang述shu共gong享xiang阻zu抗kang,特te別bie是shi在zai高gao頻pin下xia。
所有集成電路接地引腳應直接焊接到低阻抗接地層,從而將串聯電感和電阻降至最低。對於高速器件,不推薦使用傳統IC插槽。即使是“小尺寸”插槽,額外電感和電容也可能引入無用的共享路徑,從而破壞器件性能。如果插槽必須配合DIP 封裝使用,例如在製作原型時,個別“引腳插槽”或“籠式插座”是可以接受的。以上引腳插槽提供封蓋和無封蓋兩種版本。由於使用彈簧加載金觸點,確保了 IC引腳具有良好的電氣和機械連接。不過,反複插拔可能降低其性能。
應使用低電感、表麵貼裝陶瓷電容,將電源引腳直接去耦至接地層。如果必須使用通孔式陶瓷電容,則它們的引腳長度應該小於1 mm。陶瓷電容應盡量靠近IC 電源引腳。噪聲過濾還可能需要鐵氧體磁珠。
可以說“地”越多越好嗎?
接地層能解決許多地阻抗問題,但並不能全部解決。即使是一片連續的銅箔,也會有殘留電阻和電感;在特定情況下,這些就足以妨礙電路正常工作。圖2說明了這個問題,並給出了解決方法。

圖 2.割裂接地層可以改變電流流向,從而提高精度
由於實際機械設計的原因,電源輸入連接器在電路板的一端,而需要靠近散熱器的電源輸出部分則在另一端。電路板具有 100 mm 寬的接地層,還有電流為 15 A 的功率放大器。如果接 地層厚0.038 mm,15 A 的電流流過時會產生 68 μV/mm 的壓降。對於任何共用該PCB且(qie)以(yi)地(di)為(wei)參(can)考(kao)的(de)精(jing)密(mi)模(mo)擬(ni)電(dian)路(lu),這(zhe)種(zhong)壓(ya)降(jiang)都(dou)會(hui)引(yin)起(qi)嚴(yan)重(zhong)問(wen)題(ti)。可(ke)以(yi)割(ge)裂(lie)接(jie)地(di)層(ceng),讓(rang)大(da)電(dian)流(liu)不(bu)流(liu)入(ru)精(jing)密(mi)電(dian)路(lu)區(qu)域(yu),而(er)迫(po)使(shi)它(ta)環(huan)繞(rao)割(ge)裂(lie)位(wei)置(zhi)流(liu)動(dong)。這(zhe)樣(yang)可(ke)以(yi)防(fang)止(zhi)接(jie)地(di)問(wen)題(ti)(在這種情況下確實存在),不過該電流流過的接地層部分中電壓梯度會提高。
在多個接地層係統中,請務必避免覆蓋接地層,特別是模擬層和數字層。該問題將導致從一個層(可能是數字地)到另一個層的容性耦合。要記住,電容是由兩個導體(兩個接地層)組成的,中間用絕緣體(PC板材料)隔離。
小心接地層割裂
如(ru)果(guo)導(dao)線(xian)下(xia)方(fang)的(de)接(jie)地(di)層(ceng)上(shang)有(you)割(ge)裂(lie),接(jie)地(di)層(ceng)返(fan)回(hui)電(dian)流(liu)必(bi)須(xu)環(huan)繞(rao)裂(lie)縫(feng)流(liu)動(dong)。這(zhe)會(hui)導(dao)致(zhi)電(dian)路(lu)電(dian)感(gan)增(zeng)加(jia),而(er)且(qie)電(dian)路(lu)也(ye)更(geng)容(rong)易(yi)受(shou)到(dao)外(wai)部(bu)場(chang)的(de)影(ying)響(xiang)。圖(tu)3顯示了這一情況,其中的導線 A 和導線 B 必須相互穿過。

圖 3.接地層割裂導致電路電感增加,而且電路也更容易受到外部場的影響
當(dang)割(ge)裂(lie)是(shi)為(wei)了(le)使(shi)兩(liang)根(gen)垂(chui)直(zhi)導(dao)線(xian)交(jiao)叉(cha)時(shi),如(ru)果(guo)通(tong)過(guo)飛(fei)線(xian)將(jiang)第(di)二(er)根(gen)信(xin)號(hao)線(xian)跨(kua)接(jie)在(zai)第(di)一(yi)根(gen)信(xin)號(hao)線(xian)和(he)接(jie)地(di)層(ceng)上(shang)方(fang),則(ze)效(xiao)果(guo)更(geng)佳(jia)。此(ci)時(shi),接(jie)地(di)層(ceng)用(yong)作(zuo)兩(liang)個(ge)信(xin)號(hao)線(xian)之(zhi)間(jian)的(de)天(tian)然(ran)屏(ping)蔽(bi)體(ti),而(er)由(you)於(yu)集(ji)膚(fu)效(xiao)應(ying),兩(liang)路(lu)地(di)返(fan)回(hui)電(dian)流(liu)會(hui)在(zai)接(jie)地(di)層(ceng)的(de)上(shang)下(xia)表(biao)麵(mian)各(ge)自(zi)流(liu)動(dong),互(hu)不(bu)幹(gan)擾(rao)。
多(duo)層(ceng)板(ban)能(neng)夠(gou)同(tong)時(shi)支(zhi)持(chi)信(xin)號(hao)線(xian)交(jiao)叉(cha)和(he)連(lian)續(xu)接(jie)地(di)層(ceng),而(er)無(wu)需(xu)考(kao)慮(lv)線(xian)鏈(lian)路(lu)問(wen)題(ti)。雖(sui)然(ran)多(duo)層(ceng)板(ban)價(jia)格(ge)較(jiao)高(gao),而(er)且(qie)不(bu)如(ru)簡(jian)單(dan)的(de)雙(shuang)麵(mian)電(dian)路(lu)板(ban)調(tiao)試(shi)方(fang)便(bian),但(dan)是(shi)屏(ping)蔽(bi)效(xiao)果(guo)更(geng)好(hao),信(xin)號(hao)路(lu)由(you)更(geng)佳(jia)。相(xiang)關(guan)原(yuan)理(li)仍(reng)然(ran)保(bao)持(chi)不(bu)變(bian),但(dan)布(bu)局(ju)布(bu)線(xian)選(xuan)項(xiang)更(geng)多(duo)。
對於高性能混合信號電路而言,使用至少具有一個連續接地層的雙麵或多層PCB無wu疑yi是shi最zui成cheng功gong的de設she計ji方fang法fa之zhi一yi。通tong常chang,此ci類lei接jie地di層ceng的de阻zu抗kang足zu夠gou低di,允yun許xu係xi統tong的de模mo擬ni和he數shu字zi部bu分fen共gong用yong一yi個ge接jie地di層ceng。但dan是shi,這zhe一yi點dian能neng否fou實shi現xian,要yao取qu決jue於yu係xi統tong中zhong的de分fen辨bian率lv和he帶dai寬kuan要yao求qiu以yi及ji數shu字zi噪zao聲sheng量liang。
其(qi)他(ta)例(li)子(zi)也(ye)可(ke)以(yi)說(shuo)明(ming)這(zhe)一(yi)點(dian)。高(gao)頻(pin)電(dian)流(liu)反(fan)饋(kui)型(xing)放(fang)大(da)器(qi)對(dui)其(qi)反(fan)相(xiang)輸(shu)入(ru)周(zhou)圍(wei)的(de)電(dian)容(rong)非(fei)常(chang)敏(min)感(gan)。接(jie)地(di)層(ceng)旁(pang)的(de)輸(shu)入(ru)走(zou)線(xian)可(ke)能(neng)具(ju)有(you)能(neng)夠(gou)導(dao)致(zhi)問(wen)題(ti)的(de)那(na)一(yi)類(lei)電(dian)容(rong)。要(yao)記(ji)住(zhu),電(dian)容(rong)是(shi)由(you)兩(liang)個(ge)導(dao)體(ti)(走線和接地層)組成的,中間用絕緣體(板和可能的阻焊膜)隔離。在這一方麵,接地層應與輸入引腳分隔開,如圖4所示,它是AD8001高速電流反饋型放大器的評估板。小電容對電流反饋型放大器的影響如圖5所示。請注意輸出上的響鈴振蕩。

圖 4.AD8001AR評估板—俯視圖(a)和仰視圖(b)

圖5. 10pF反相輸入雜散電容對放大器(AD8001)脈衝響應的影響
來源:亞德諾半導體
推薦閱讀:
特別推薦
- 噪聲中提取真值!瑞盟科技推出MSA2240電流檢測芯片賦能多元高端測量場景
- 10MHz高頻運行!氮矽科技發布集成驅動GaN芯片,助力電源能效再攀新高
- 失真度僅0.002%!力芯微推出超低內阻、超低失真4PST模擬開關
- 一“芯”雙電!聖邦微電子發布雙輸出電源芯片,簡化AFE與音頻設計
- 一機適配萬端:金升陽推出1200W可編程電源,賦能高端裝備製造
技術文章更多>>
- 貿澤EIT係列新一期,探索AI如何重塑日常科技與用戶體驗
- 算力爆發遇上電源革新,大聯大世平集團攜手晶豐明源線上研討會解鎖應用落地
- 創新不止,創芯不已:第六屆ICDIA創芯展8月南京盛大啟幕!
- AI時代,為什麼存儲基礎設施的可靠性決定數據中心的經濟效益
- 矽典微ONELAB開發係列:為毫米波算法開發者打造的全棧工具鏈
技術白皮書下載更多>>
- 車規與基於V2X的車輛協同主動避撞技術展望
- 數字隔離助力新能源汽車安全隔離的新挑戰
- 汽車模塊拋負載的解決方案
- 車用連接器的安全創新應用
- Melexis Actuators Business Unit
- Position / Current Sensors - Triaxis Hall
熱門搜索



