電容選型與應用知識係列大講台—電解電容應用選型篇(一)
發布時間:2010-12-02 來源:電子元件技術網
上期回顧:電容選型與應用知識係列大講台—電容基礎知識大搜羅
中心議題:
- 電解電容的原理
- 電解電容的優、缺點
- 鋁電解電容器的壽命
- 鋁電解電容器的電路設計
一、電解電容的原理
電解電容是電容的一種,介質有電解液,塗層有極性,分正負,不可接錯。電容由兩個金屬極,中間夾有絕緣材料(介質)構成。電解電容器通常是由金屬箔(鋁/鉭)作zuo為wei正zheng電dian極ji,金jin屬shu箔bo的de絕jue緣yuan氧yang化hua層ceng作zuo為wei電dian介jie質zhi,電dian解jie電dian容rong器qi以yi其qi正zheng電dian極ji的de不bu同tong分fen為wei鋁lv電dian解jie電dian容rong器qi和he鉭tan電dian解jie電dian容rong器qi。鋁lv電dian解jie電dian容rong器qi的de負fu電dian極ji由you浸jin過guo電dian解jie質zhi液ye(液態電解質)的薄紙/薄膜或電解質聚合物構成;鉭電解電容器的負電極通常采用二氧化錳。由於均以電解質作為負電極(注意和電介質區分),電解電容器因而得名。

延伸閱讀:電解電容解構
二、電解電容的特點
電解電容器特點一:單位體積的電容量非常大,比其它種類的電容大幾十到數百倍。
電解電容器特點二:額定的容量可以做到非常大,可以輕易做到幾萬μf甚至幾f(但不能和雙電層電容相比)。
電解電容器特點三:jiagebiqitazhongleijuyouyadaoxingyoushi,yinweidianjiedianrongdezuchengcailiaodoushiputongdegongyecailiao,birulvdengdeng。zhizaodianjiedianrongdeshebeiyedoushiputongdegongyeshebei,keyidaguimoshengchan,chengbenxiangduibijiaodi。
三、電解電容的缺點
內部損耗大:此主要是由於電解液所形成的電阻 加上相對於容量下鋁箔及接點本身的電阻所形成 此內電阻 在等價電路上為串聯電阻亦即影響逸散因子的因素。在大電流充放電時,可能會引致發熱等現象。
靜電容量誤差大:因(yin)為(wei)電(dian)解(jie)電(dian)容(rong)器(qi)的(de)大(da)部(bu)分(fen)電(dian)容(rong)量(liang)是(shi)依(yi)靠(kao)鋁(lv)箔(bo)表(biao)麵(mian)凹(ao)凸(tu)不(bu)平(ping)的(de)曲(qu)麵(mian)及(ji)電(dian)解(jie)形(xing)成(cheng)的(de)氧(yang)化(hua)膜(mo)介(jie)質(zhi)所(suo)形(xing)成(cheng),而(er)此(ci)二(er)者(zhe)不(bu)管(guan)在(zai)進(jin)行(xing)處(chu)理(li)或(huo)使(shi)用(yong)時(shi),性(xing)質(zhi)均(jun)不(bu)安(an)定(ding),使(shi)得(de)許(xu)多(duo)電(dian)解(jie)質(zhi)電(dian)容(rong)器(qi)的(de)容(rong)量(liang)誤(wu)差(cha)為(wei)標(biao)示(shi)值(zhi)的(de)-20%到+80%。為此項缺陷在電源電路中並無所影響。
漏電流大:主要是因為介質特性的關係,此在使用於交連等需要隔絕直流之處宜特別注意。
長期儲存後,漏電流有增大及容量降低之傾向:此乃由於氧化鋁膜長期浸漬在電解液中,使鋁膜的介質特性劣化所致,但可於施加電壓若幹時間後恢複之。
延伸閱讀:電解電容知識
四、鋁電解電容
鋁電解電容與其他的電容相比,具有體型小、容量大、對抗過高電壓和逆向電壓能力強的特征。在要求高性能和高信賴度的計算機、 導航儀技術以及影像設備、照相機閃光燈中得到廣泛應用。
1.電容量
電容器的電容量由測量交流容量時所呈現的阻抗決定。交流電容量隨頻率、電壓以及測量方法的變化而變化。JISC5102 規定:鋁電解電容的電容量的測定是在 120HZ 頻率,最大交流電壓為 0.5Vrms、DC bias電壓為 1.5~2.0V 的條件下進行。鋁電解電容器的容量隨頻率的增加而減小。以下是典型的電容量隨頻率變化圖:

和頻率一樣,測量時的溫度對電容器的容量有一定的影響。隨著測量溫度的下降,電容量會變小。以下是典型的電容量隨頻率變化圖:

另一方麵,直流電容量,可通過施加直流電壓而測量其電荷得到,在常溫下容量比交流稍微的大一點,並且具有更優越的穩定特性。
[page]
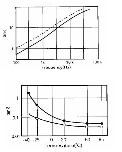
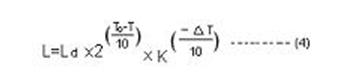
2.Tanδ(損耗角正切)
在等效電路中,串聯等效電阻 ESR 同容抗 1/ωC 之比稱之為 Tan δ,其測量條件與電容量相同。

Tanδ=RESR/ (1/ωC)=ωC RESR
其中:RESR =ESR(120 Hz),ω=2πf,f=120Hz
Tan δ隨著測量頻率的增加而變大,隨測量溫度的下降而增大。以下是典型的電容量隨頻率變化圖:

3.阻抗(Z)
在特定的頻率下,阻礙交流電通過的電阻就是所謂的阻抗(Z)。它與容量以及電感密切相關,並且與等效串聯電阻 ESR 也有關係。具體表達式如下:

以下是典型的電容量隨頻率變化圖:

由圖可知電容的容抗(Xc)在低頻率範圍內隨著頻率的增加逐步減小,頻率繼續增加達到中頻範圍電抗(XL)降致 ESR。當頻率達到高頻範圍感抗(XL)變為主導,所以電抗隨著頻率的增加而增加。由於電解液電導率隨溫度改變而改變,所以阻抗隨著溫度的變化而變化如下圖所示:

4.漏電流
電(dian)容(rong)器(qi)的(de)介(jie)質(zhi)對(dui)直(zhi)流(liu)電(dian)具(ju)有(you)很(hen)大(da)的(de)阻(zu)礙(ai)作(zuo)用(yong)。然(ran)而(er),由(you)於(yu)鋁(lv)氧(yang)化(hua)膜(mo)介(jie)質(zhi)上(shang)浸(jin)有(you)電(dian)解(jie)液(ye),在(zai)施(shi)加(jia)電(dian)壓(ya)時(shi),重(zhong)新(xin)形(xing)成(cheng)以(yi)及(ji)修(xiu)複(fu)氧(yang)化(hua)膜(mo)的(de)時(shi)候(hou)會(hui)產(chan)生(sheng)一(yi)種(zhong)很(hen)小(xiao)的(de)稱(cheng)之(zhi)為(wei)漏(lou)電(dian)流(liu)的(de)電(dian)流(liu),剛(gang)施(shi)加(jia)電(dian)壓(ya)時(shi),漏(lou)電(dian)流(liu)較(jiao)大(da),隨(sui)著(zhe)時(shi)間(jian)的(de)延(yan)長(chang),漏(lou)電(dian)流(liu)會(hui)逐(zhu)漸(jian)減(jian)小(xiao)並(bing)最(zui)終(zhong)保(bao)持(chi)穩(wen)定(ding)。

測試溫度和電壓對漏電流具有很大的影響。漏電流會隨著溫度和電壓的升高而增大(如下圖所示)。
[page]
5.鋁電解電容器的壽命
5.1.忽略紋波電流時的壽命推算
一yi般ban而er言yan,鋁lv電dian解jie電dian容rong器qi的de壽shou命ming與yu周zhou圍wei的de環huan境jing溫wen度du有you很hen大da的de關guan係xi,其qi壽shou命ming可ke以yi由you以yi下xia公gong式shi計ji算suan。與yu溫wen度du比bi較jiao,降jiang壓ya使shi用yong對dui電dian容rong器qi的de壽shou命ming影ying響xiang很hen小xiao,可ke忽hu略lve不bu計ji。

其中,L:溫度 T 時的壽命,L0:溫度 T0 時的壽命
5.2.考慮紋波電流時壽命的推算
疊加紋波電流,由於內部等效串連電阻(ESR)引起發熱,從而影響電容器的使用壽命,產生的熱量可由下式計算

其中,I:紋波電流(Arms),R:等效串聯電阻(Ω)
由於發熱引起的溫升如下式所示:

其中,△T:電容器中心的溫升(℃),I::紋波電流 (Arms) ,R: ESR (Ω),A:電容器的表麵積(cm2), H: 散熱係數( 1.5~2.0x10-3W/cm2℃)
上麵公式(3)顯示電容器的溫度上升與紋波電流的平方以及等效串聯電阻 ESR 成(cheng)正(zheng)比(bi),與(yu)電(dian)容(rong)器(qi)的(de)表(biao)麵(mian)積(ji)成(cheng)反(fan)比(bi),因(yin)此(ci),紋(wen)波(bo)電(dian)流(liu)的(de)大(da)小(xiao)決(jue)定(ding)著(zhe)產(chan)生(sheng)熱(re)量(liang)的(de)大(da)小(xiao),且(qie)影(ying)響(xiang)其(qi)使(shi)用(yong)壽(shou)命(ming),電(dian)容(rong)器(qi)的(de)類(lei)型(xing)以(yi)及(ji)使(shi)用(yong)條(tiao)件(jian)影(ying)響(xiang)著(zhe)△T 值的大小,般情況下,△T<5℃。下圖表示紋波電流引起的溫升的測量處

測試結果:
(1).考慮到環境溫度和紋波電流時的壽命公式

其中,Ld:直流工作電壓下的使用壽命,(K=2,紋波電流允許的範圍內),(K=4,超過紋波電流範圍時),T0:最高使用溫度,T:工作溫度,△T:中心溫升
(2)電容器工作在額定的紋波電流和上限溫度時,電容器的壽命可通過轉化(4)式得到,如下:

其中,Lr:工作在額定紋波電流和最高工作溫度下的壽命(h),△T0:最高工作溫度下的電容器中心容許溫升。
(3)考慮紋波電流,環境溫度時可由(5)式得到下式:

其中,I0:最高工作溫度下的額定紋波電流(Arms),I:疊加的紋波電流(Arms)
由於直接測量電容器的內部溫升存在著困難,下表列出了表麵溫度和內部核心溫度的換算關係。

壽命的推算公式,原則上適用於周圍環境溫度為+40℃到最高工作溫度範圍內,但由於封口材料的老化等因素,實際的推算壽命時間一般最大為 15 年。

表 5-1 壽命推算曲線
延伸閱讀:電解電容的使用壽命
淺談電解電容壽命——請注意測試條件!
[page]
6.冗餘電壓
鋁電解電容器先充電,再放電,而後再將兩引線短接,再將其放置一段時間後,兩端子間存在電壓上升的現象;由(you)這(zhe)種(zhong)現(xian)象(xiang)所(suo)引(yin)起(qi)的(de)電(dian)壓(ya)稱(cheng)之(zhi)為(wei)再(zai)生(sheng)電(dian)壓(ya)。當(dang)電(dian)壓(ya)施(shi)加(jia)在(zai)介(jie)質(zhi)之(zhi)上(shang)時(shi),在(zai)介(jie)質(zhi)內(nei)部(bu)引(yin)起(qi)電(dian)子(zi)的(de)轉(zhuan)移(yi),從(cong)而(er)在(zai)介(jie)質(zhi)內(nei)部(bu)產(chan)生(sheng)感(gan)應(ying)電(dian)場(chang),其(qi)方(fang)向(xiang)與(yu)電(dian)壓(ya)的(de)方(fang)向(xiang)相(xiang)反(fan),這(zhe)種(zhong)現(xian)象(xiang)稱(cheng)之(zhi)為(wei)極(ji)化(hua)反(fan)應(ying)。在(zai)施(shi)加(jia)電(dian)壓(ya)引(yin)起(qi)介(jie)質(zhi)極(ji)化(hua)後(hou),如(ru)果(guo)兩(liang)端(duan)子(zi)進(jin)行(xing)放(fang)電(dian)一(yi)直(zhi)到(dao)端(duan)子(zi)間(jian)的(de)電(dian)壓(ya)為(wei)零(ling),而(er)後(hou)將(jiang)其(qi)開(kai)路(lu)放(fang)置(zhi)一(yi)段(duan)時(shi)間(jian)後(hou),一(yi)種(zhong)潛(qian)在(zai)的(de)電(dian)勢(shi)將(jiang)出(chu)現(xian)在(zai)兩(liang)端(duan)子(zi)上(shang),這(zhe)樣(yang)就(jiu)引(yin)起(qi)了(le)再(zai)生(sheng)電(dian)壓(ya)。再(zai)生(sheng)電(dian)壓(ya)在(zai)電(dian)容(rong)器(qi)開(kai)路(lu)放(fang)置(zhi) 10~20 天時達到峰值,然後逐漸降低,再生電壓有隨元件變大而增大的趨勢(基板自立形)如ru果guo電dian容rong器qi在zai產chan生sheng再zai生sheng電dian壓ya後hou,兩liang端duan子zi短duan路lu,瞬shun間jian高gao電dian壓ya放fang電dian可ke能neng引yin起qi組zu裝zhuang線xian上shang的de操cao作zuo員yuan工gong的de恐kong懼ju感gan,並bing且qie,有you可ke能neng導dao致zhi一yi些xie低di壓ya驅qu動dong元yuan件jian(如CPU,存儲器等)被擊穿的危險,預防出現這種情況的措施是在使用前加 100Ω~1KΩ的電阻進行放電,或者在產品包裝中用鋁箔覆蓋引起兩端子間短路。
7.極性
鋁lv電dian解jie電dian容rong器qi一yi般ban是shi有you極ji性xing的de。極ji性xing接jie反fan是shi造zao成cheng鋁lv電dian解jie電dian容rong器qi短duan路lu及ji漏lou液ye的de原yuan因yin,並bing可ke能neng導dao致zhi危wei險xian的de發fa生sheng。因yin此ci在zai無wu法fa辨bian識shi的de電dian氣qi回hui路lu上shang或huo使shi用yong於yu有you極ji性xing變bian換huan設she計ji的de回hui路lu時shi,請qing選xuan用yong雙shuang極ji性xing電dian解jie電dian容rong器qi。
8.電解電容器的儲存
電解電容器應在溫度為 5~30℃,濕度為 75%以下的室內儲存。當電解電容器經過了長時間放置後,由
於原電池的作用使其漏電流有增加傾向。因此在使用經過長時間放置的電解電容器以前,需先施加額定電
壓直至其電氣特性恢複正常。
9.電路設計
在電路設計及生產過程中,應嚴格按照鋁電解電容器的額定性能範圍使用,盡量避免下述情況下使用
(1) 高溫(溫度超過最高使用溫度)
(2) 過流(電流超過最高紋波電流)
(3) 過壓(電壓超過最高額定工作電壓)
(4) 反向加壓或交流電壓
(5) 使用於多次急劇充放電的回路中
電容器外殼、輔助引出端子與正、負極以及電路板間必須完全隔離;當電容器套管的絕緣性能不能保證時,在有絕緣性能特定要求的地方不要使用;
電容選型與應用知識係列大講台—電解電容應用選型篇(二)
- 噪聲中提取真值!瑞盟科技推出MSA2240電流檢測芯片賦能多元高端測量場景
- 10MHz高頻運行!氮矽科技發布集成驅動GaN芯片,助力電源能效再攀新高
- 失真度僅0.002%!力芯微推出超低內阻、超低失真4PST模擬開關
- 一“芯”雙電!聖邦微電子發布雙輸出電源芯片,簡化AFE與音頻設計
- 一機適配萬端:金升陽推出1200W可編程電源,賦能高端裝備製造
- 大聯大世平集團首度亮相北京國際汽車展 攜手全球芯片夥伴打造智能車整合應用新典範
- 2026北京車展即將啟幕,高通攜手汽車生態“朋友圈”推動智能化體驗再升級
- 邊緣重構智慧城市:FPGA SoM 如何破解視頻係統 “重而慢”
- 如何使用工業級串行數字輸入來設計具有並行接口的數字輸入模塊
- 意法半導體將舉辦投資者會議探討低地球軌道(LEO)發展機遇
- 車規與基於V2X的車輛協同主動避撞技術展望
- 數字隔離助力新能源汽車安全隔離的新挑戰
- 汽車模塊拋負載的解決方案
- 車用連接器的安全創新應用
- Melexis Actuators Business Unit
- Position / Current Sensors - Triaxis Hall



