支持RF無線傳輸的pH傳感器參考設計
發布時間:2020-02-20 來源:Erbe D. Reyta 和 Mark O. Ochoco 責任編輯:wenwei
【導讀】如果係統精度、效率和可靠性至關重要,設計傳感器節點 無線數據傳輸以用於遠程監控會是一個相當大的挑戰。溶 液的pH值是許多行業需要考慮的一種測量,例如農業或醫 療領域。本文的主要目的是評估pH玻璃探針的特性,從而 解決硬件和軟件設計的不同挑戰,並提出一種利用射頻收 發器模塊從探針無線傳輸數據的解決方案。
簡介
本文第一部分介紹pH探針,然後探討與前端信號調理電路相關 的各種設計挑戰,以及如何實現低成本、高精度、高可靠性的數 據轉換。為了提高數據處理的精度,討論中還會涉及校準技術, 例如一般多項式擬合,即利用最小二乘法逼近分散的預定義數 據來校準pH值。本文最後一部分提供一種無線監控係統參考電 路設計。
了解pH探針
pH值定義
水溶液可分為酸性、堿性和中性三類。在化學中,酸堿度通過一 種數值尺度來衡量,稱為pH值。依據嘉士伯基金會的定義,pH值 代表氫離子濃度。此尺度是一個對數尺度,範圍為1到14。pH值的 數學表達式為:pH = –log(H+)。因此,如果氫離子濃度為1.0 × 10–2 摩爾/升,則pH = –log(1.0 × 10–2) = 2。蒸餾水等水溶液的pH值為 7,這是一個中性值。pH值小於7的溶液為酸性溶液,大於7的溶液 為堿性溶液。對數尺度反映了一種溶液相對於另一種溶液的酸 性程度。例如,pH值為5的溶液,其酸度是pH值為6的溶液的10倍,是pH值 為8的溶液的1000倍。
pH指示器
有很多辦法可測量水溶液的pH值,包括通過石蕊試紙指示器或 使用玻璃探針。
石蕊試紙
石蕊試紙指示器通常由從地衣提取的染液製成,可用來指示pH 水平。一旦與溶液接觸,試紙就會發生化學反應,導致其顏色改 變,由此指示pH水平。這一類大體上包括兩種方法:一種是將已 知pH值對應的標準顏色與利用緩衝溶液浸入測試液體的指示器 顏色進行比對;另一種是將pH試紙先浸沒在指示器中,然後浸入 測試液體中,將其顏色與標準顏色進行比對。雖然上述兩種方法 很容易實現,但是溫度和測試溶液中的雜質很容易引起誤差。
pH玻璃探針
最常用的pH指示器是pH探針。它由一個玻璃測量電極和一個參 比電極構成。典型玻璃探針由玻璃薄膜及其中封入的鹽酸(HCl) 溶液組成。外殼內部有一根鍍AgCl的銀線,其充當參比電極並與 HCL溶液接觸。玻璃膜外部的氫離子擴散通過玻璃膜,置換相應 數量的鈉離子(Na+),多數玻璃中一般都存在鈉離子。這種正離子 很敏銳,大部分限定在玻璃表麵上濃度較低的一側薄膜上。Na+ 的多餘電荷在傳感器輸出端產生一個電壓。探針類似於一塊電池。當把探針置於溶液中時,測量電極產生 一個電壓,其大小取決於溶液中氫的活性,然後將該電壓與參 比電極的電位進行比較。隨著溶液酸性的增強(pH值變低),玻 璃電極電位相對於參比電極陽性增強(+mV);隨著溶液堿性的增 強(pH值變高),玻璃電極電位相對於參比電極陰性增強(-mV)。 這兩個電極之差即為測得電位。在理想情況下,典型的pH探針在 25°C下會產生59.154 mV/pH單位,通常用能斯脫方程表示如下:
其中:

E = 氫電極電壓,活性未知
a = ±30 mV,零點容差
T = 環境溫度(25°C)
n = 1(25°C),價(離子上的電荷數)
F = 96485庫侖/摩爾,法拉第常數
R = 8.314 伏特-庫侖/°K摩爾,阿伏加德羅氏數
pH = 未知溶液的氫離子濃度
pHISO = 7,參比氫離子濃度
方程表明,產生的電壓取決於溶液的酸度和堿度,並以已知方式 隨氫離子活性而變化。溶液溫度的變化會改變其氫離子的活性。 當溶液被加熱時,氫離子運動速度加快,結果導致兩個電極間電 位差的增加。另外,當溶液冷卻時,氫活性降低,導致電位差下 降。根據設計,在理想情況下,當置於pH值為7的緩衝溶液中時, 電極會產生零伏特電位。
典型pH探針的規格如下表所示。
表1. pH玻璃探針的典型規格

pH探針在本研究中起著重要作用,因為數據可靠性取決於傳感 器的精度和可靠性。選擇pH探針時,有兩個重要因素需要考慮: 緩衝溶液溫度改變之後的穩定時間及其pH值改變之後的穩定時 間。作為例子,下麵的數據摘自Jenway的應用筆記“Jenway高性能 pH電極評估”1 ,顯示了探針在給定測試條件下發生溫度變化後 的穩定性能。製備一種溶液,其緩衝液在20°C時的pH值為7,在 60°C時的pH值為4。讓各電極在以200 rpm轉速攪拌的pH 7緩衝液 中穩定。然後用去離子水清洗電極,並將其轉移到pH 4緩衝液的 等分試樣中放置4分鍾。再次用去離子水清洗電極,然後將其放 回到pH 7緩衝液中。評估讀數持續10秒保持穩定所需的時間。對 每個探針重複測試三次。
表2. 緩衝溶液溫度改變之後的穩定時間

表3. 緩衝溶液pH值改變之後的穩定時間

在所示給定條件下,Jenway探針的性能與通用pH探針相比,響應 時間要快最多50%。使用類似這樣的儀表會非常有利,因為其樣 本吞吐速率很高,分析數據所需的時間會大大縮短。
傳感器模擬信號調理電路
為了理解信號調理電路,必須知道傳感器探針的等效電路圖。 如上一節所述,pH探針由玻璃製成,可形成極高的電阻,範圍從1 MΩ到1 GΩ不等,充當與pH電壓源串聯的電阻,如圖1所示。

圖1. pH探針等效電路配置
即使非常小的電路電流流經電路中各器件的高電阻(尤其是測 量電極的玻璃膜),這些電阻上也會產生相對較大的壓降,嚴 重降低儀表測得的電壓。更糟糕的是,測量電極產生的電壓差 非常小,處於毫伏範圍(理想情況下,室溫時每pH單位對應59.16 mV)。用於此任務的儀表必須非常靈敏,並且有超高輸入電阻。
模數轉換
對於此類應用,給定傳感器的響應時間時,數據采樣速率將是一 個問題。假設傳感器分辨率為0.001 V rms,ADC滿量程電壓範圍為 1 V,則實現9.96位的有效分辨率無需高分辨率ADC。無噪聲分辨 率單位為位,用下式定義:無噪聲分辨率 = log2 [滿量程輸入電壓 範圍/傳感器峰峰值電壓輸出噪聲]。ADC采樣速率對低功耗應用 可能是一個重要因素,因為ADC的采樣速率與功耗直接相關。在 傳感器的響應時間一定時,典型ADC采樣速率可設置為其最低吞 吐速率。可采用集成ADC的微控製器以減少器件數量。
收發器
傳輸pH和溫度數據需要收發器,控製收發器需要微控製器。收 發器和微控製器的選擇涉及到一些重要考量。
選擇收發器必須考慮如下因素:
● 工作頻率
● 最大距離範圍
● 數據速率
● 許可
工作頻率
設計RF傳輸必須確定工作頻率(OF),sub-GHz或2.4 GHz頻率能否滿 足應用要求。在需要高數據速率和使用藍牙等寬帶寬的應用中, 2.4 GHz頻率是最佳選擇。但工業應用通常使用sub-GHz頻率,因 為可用的專有協議能方便地提供網絡鏈路層。專有係統主要使用 sub-GHz範圍內的ISM頻率,即433 MHz、868 MHz和915 MHz。
最大距離範圍
Sub-1 GHz頻率支持25 km以上的長距離、大功率傳輸。當用於點對 點或星形拓撲時,這些頻率可有效穿透牆壁和其他障礙物。
數據速率
數據速率也需要確定,它會影響收發器的傳輸距離能力和功耗。 數據速率較高時,功耗較低,可以用於短距離傳輸;而數據速率 較低時,功耗較高,可以用於長距離傳輸。要降低功耗,提高數 據速率是一個好辦法,因為它隻在很短的時間內以突發方式消耗 電流,但這樣做也會縮短無線電覆蓋距離。
收發器功耗
收發器功耗對電池供電應用非常重要。這在許多無線應用中也是 一個考慮因素,因為它決定了數據速率和距離範圍。收發器有兩 個功率放大器(PA)選項以提供更大的使用靈活性。單端PA可以輸 出最多13 dBm的RF功率,差分PA可以輸出最多10 dBm的功率。表 4總結了一些PA輸出功率與收發器IDD電流消耗的關係。為完整起 見,表中同時給出了接收模式的電流消耗。
表4. PA輸出功率與收發器IDD電流消耗小結

許可
Sub-GHz包括433 MHz、868 MHz和915 MHz的免許可ISM頻段。它廣 泛用於工業中,非常適合各種無線應用。它可以用在世界上的不 同地區,因為它符合歐洲ETSI EN300-220法規、北美FCC Part 15法 規及其他類似監管標準。
微控製器
如圖2所示,RF係統的核心是一個處理器單元或微控製器(MCU), 其處理數據並運行與收發器(用於RF傳輸)和pH參考設計(RD)板 (用於傳感器測量)接口的軟件堆棧。

圖2. 無線傳感器數據采集和傳輸框圖
選擇微控製器必須考慮如下因素:
● 外設
● 存儲器
● 處理能力
● 功耗
外設
微控製器應集成SPI總線之類的外設。收發器和pH參考設計板均 通過SPI連接,因此需要兩個SPI外設。
存儲器
借助適當大小的存儲器,微控製器執行協議處理和傳感器接口 任務。Flash和RAM是微控製器的兩個極重要組成部分。為確保係 統不會用盡存儲空間,使用128 kB內存。這必定會讓應用和軟件 算法流暢運行,並且為可能的升級和功能增加(以便消除係統問 題)留有餘地。
架構和處理能力
微處理器必須足夠快,以便處理複雜的計算和流程。該係統使用 32位微處理器。雖然位數較低的處理器可能也可行,但本係統選 擇使用32位以支持潛在更高的應用和算法需求。
微處理器功耗
微處理器的功耗應非常低。對於那些依賴電池供電且必須在無 維保的情況下運行數年的應用,功耗至關重要。
其他係統考量
差錯校驗
通信處理器在發射模式下將CRC附加於有效載荷,在接收模式下 檢測CRC。有效載荷數據加上16位CRC可以利用曼徹斯特編碼技 術進行編碼/解碼。
成本
係統應當使用最少的器件和最小的板尺寸,因為當成本是關鍵 要求之一時,這些常常是決定性因素。不要使用分立器件,必須 考慮由MCU和無線器件組成的集成解決方案。這樣可消除無線 電和MCU之間互連的設計難題,簡化電路板設計,使設計流程更 直接了當,並縮短焊線,使其更不易受幹擾影響。利用集 ARM® Cortex®-M MCU和無線電收發器於一體的單個芯片,可以減少電路 板器件數量,簡化電路板布局布線,降低總成本。
校準
執行校準例程是實現高精度的關鍵環節之一。能斯脫方程所描 述的pH溶液的一個特征是其高度依賴於溫度。傳感器探針僅給 出一個恒定的失調,可認為該失調在所有溫度水平都是恒定的。 由於其高度依賴於溫度,本係統必須有一個確定溶液溫度的傳 感器。
可以使用直接代入能斯脫方程之類的方法,但由於溶液的非理想 特性,可能會產生某種程度的誤差。這種方法僅需測量係統的失 調和未知溶液的溫度。為確定該傳感器引入的失調,需要一種pH 值為7的緩衝溶液。理想情況下,傳感器應產生0 V輸出。ADC讀數 將是係統失調電壓。典型pH探針傳感器的失調可能高達±30 mV。
實踐中常常使用另一種方法,即利用多種緩衝溶液來設置一些點 以構建一般的線性或非線性方程。在此例程中,需要兩種經NIST 認證並可追溯的額外pH緩衝溶液。這兩種額外緩衝溶液的pH值 至少應相差2。
通過緩衝溶液執行校準的方法如下:
● 第1步:從第一種緩衝溶液中移出電極組件並用去離子水或 蒸餾水清洗之後,將帶溫度傳感器的pH探針浸入所選的第 二種緩衝溶液中。
● 第2步:重複第2步,但使用第三種緩衝溶液。
● 第3步:根據利用所選緩衝溶液測得的值建立方程。
可利用多個數學方程導出校準方程。常用公式之一是點斜式直線 方程。此方程使用校準期間獲得的兩點:P1 (Vm1, pH1)和P2 (Vm2, pH2),其中P1和P2是利用所選緩衝溶液測得的點。為了確定未知 溶液的pH值,對於給定點Px (Vmx, pHx),可以利用方程進行簡單的 線性插值:

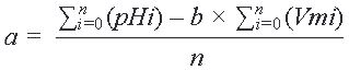
若有多組點,為提高精度,可使用一階線性回歸。給定n個數據 P0 (Vm0, pH0), P1 (Vm1, pH1), P2 (Vm2, pH2), P3 (Vm3, pH3), ... , Pn (Vmn, pHn), 可以利用最小二乘法建立一般方程, pHx = a + b × Vmx, 其中b為直線的斜率,a為截距,其值如下:

以及

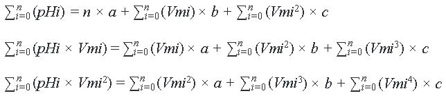
最小二乘逼近法可擴展到更高階,例如二階非線性方程。一般二 階方程可以表示為:pHx = a + b × Vmx + c × Vmx2。a、b和c的值可 計算如下:

這個方程組可通過代入、消元或矩陣方法來求解,從而獲得未知 變量a、b、c的值。
硬件設計解決方案
緩衝放大器
在此給定條件下,為使電路與該高源電阻隔離開來,需要一個高 輸入阻抗、超低輸入偏置電流的緩衝放大器。低噪聲運算放大器 AD8603可用作該應用的緩衝放大器。AD8603的低輸入電流可以 最大限度地減少流過電極電阻的偏置電流所產生的電壓誤差。 就25°C下串聯電阻為1 GΩ的pH探針來說,對於200 fA典型輸入偏 置電流,失調誤差為0.2 mV (0.0037 pH)。即使在1 pA的最大輸入偏 置電流下,誤差也隻有1 mV。雖然不一定需要,但可以利用防護、 屏蔽、高絕緣電阻支柱以及其他此類標準皮安方法來最大限度 地減少所選緩衝器高阻抗輸入端的泄漏。
模數轉換器
低功耗ADC適合這種應用。16位Σ-Δ型ADC AD7792支持精密測量應 用。它有一個低噪聲3通道輸入,當更新速率為4.17 Hz時,噪聲僅 有40 nV rms。該器件采用2.7 V至5.25 V電源供電,典型功耗為400 μA,采用16引腳TSSOP封裝。其他特性包括4 ppm/°C溫漂(典型 值)的內置帶隙基準電壓源、最大1 μA的關斷功耗以及內置時鍾 振動器,因此所需器件數量和PCB空間得以減少。
選擇RF收發器
基於前述要求, ADuCRF101最適合這種應用。
ADuCRF101是一款針對低功耗無線應用而設計的完全集成式數據 采集解決方案,工作頻率範圍為431 MHz至464 MHz和862 MHz至 928 MHz。它集成了通信外設,例如應用所需的兩條SPI總線。片內 提供128 kB非易失性Flash/EE存儲器和16 kB SRAM。它是集成微控 製器和收發器的單芯片解決方案,這使得器件數量和電路板尺 寸減至最小。
ADuCRF101直接采用2.2 V至3.3 V電壓範圍的電池供電,功耗如下:
● 280 nA(關斷模式,非保留狀態)
● 1.9 μA(關斷模式,處理器存儲器和RF收發器存儲器保留)
● 210 μA/MHz(Cortex-M3處理器處於激活模式)
● 12.8 mA(RF收發器處於接收模式,Cortex-M3處理器處於關 斷模式)
● 9 mA至32 mA(RF收發器處於發射模式,Cortex-M3處理器處 於關斷模式)
軟件實現
軟件是無線傳輸係統的關鍵部分之一。它決定了係統如何工作, 對係統功耗也有影響。該係統有兩個軟件部分,分別是協議堆棧 和應用程序堆棧。使用的協議堆棧為ADRadioNet—一種用於ISM 頻段的無線網絡協議。它采用IPv6地址,集合了此類解決方案需 要的大部分特性,例如低功耗、多跳、端對端應答、自愈等。應用 程序堆棧是一個通過SPI訪問pH參考設計板的軟件。
為了高效運行這兩個軟件堆棧,使用了一個簡單的調度程序。一 個非搶占式調度程序處理協議堆棧任務,為其功能分配一定的時 間和資源。然而,係統中定義的任務數量是有限的。為了高效工 作,非搶占式調度程序必須在其時間消逝之前完成已定義任務的 執行。對於係統中的兩個堆棧,非搶占式調度程序正合適,因為 分配給它的已定義任務數量是有限的。
結語
本文介紹了pH無線傳感器監控設計方麵的不同挑戰和解決方 案。已經證明,ADI數據采集產品可用來應對pH測量的各種挑戰。 AD8603運算放大器或任何具有高輸入阻抗的同等ADI放大器,可 用來抵消傳感器的高輸出阻抗,從而提供足夠的屏蔽,防止係統 加載。ADuCRF101數據采集係統IC可提供完整的RF數據傳輸解決 方案。數據采集的高精度既可利用精密放大器和ADC硬件實現, 也可通過軟件校準實現,即利用數學統計建立一個一般方程,例 如各種曲線擬合法。
參考電路
1 Jenway應用筆記,Jenway高性能pH電極評估。Jenway。 Jenway.
推薦閱讀:
特別推薦
- 噪聲中提取真值!瑞盟科技推出MSA2240電流檢測芯片賦能多元高端測量場景
- 10MHz高頻運行!氮矽科技發布集成驅動GaN芯片,助力電源能效再攀新高
- 失真度僅0.002%!力芯微推出超低內阻、超低失真4PST模擬開關
- 一“芯”雙電!聖邦微電子發布雙輸出電源芯片,簡化AFE與音頻設計
- 一機適配萬端:金升陽推出1200W可編程電源,賦能高端裝備製造
技術文章更多>>
- 一秒檢測,成本降至萬分之一,光引科技把幾十萬的台式光譜儀“搬”到了手腕上
- AI服務器電源機櫃Power Rack HVDC MW級測試方案
- 突破工藝邊界,奎芯科技LPDDR5X IP矽驗證通過,速率達9600Mbps
- 通過直接、準確、自動測量超低範圍的氯殘留來推動反滲透膜保護
- 從技術研發到規模量產:恩智浦第三代成像雷達平台,賦能下一代自動駕駛!
技術白皮書下載更多>>
- 車規與基於V2X的車輛協同主動避撞技術展望
- 數字隔離助力新能源汽車安全隔離的新挑戰
- 汽車模塊拋負載的解決方案
- 車用連接器的安全創新應用
- Melexis Actuators Business Unit
- Position / Current Sensors - Triaxis Hall
熱門搜索
按鈕開關
白色家電
保護器件
保險絲管
北鬥定位
北高智
貝能科技
背板連接器
背光器件
編碼器型號
便攜產品
便攜醫療
變容二極管
變壓器
檳城電子
並網
撥動開關
玻璃釉電容
剝線機
薄膜電容
薄膜電阻
薄膜開關
捕魚器
步進電機
測力傳感器
測試測量
測試設備
拆解
場效應管
超霸科技



