電機驅動模塊的電路設計與實現,全速運轉是關鍵
發布時間:2014-09-27 責任編輯:echolady
【導讀】驅動電路采用H型橋式PWM脈寬調製驅動形式,如圖1所示。電路主要由大功率三極管B772、D882、三極管8050和光電耦合器等元件組成。該驅動電路可控製電機的正轉、反轉和停止。
與單片機的接口電路采用光電耦合器隔離。用單片機的I/O口控製驅動電路的兩個控製端,當控製端PWM1為低電平,控製端PWM2為高電平時,左邊的光電耦合器導通,右邊的光電耦合器不導通,Q1、Q2、Q6、Q7全部深度飽和導通,而右邊的Q3、Q4、Q5、Q8全部截止,由於Q6、Q7深度飽和導通,所以其Vceo隻有約0.3伏,在驅動管上消耗的電壓很小,此時電機正轉。反之,當控製端PWM1為高電平,控製端PWM2為低電平時,電機反轉。當控製端PWM1和PWM2同時為高電平或低電平時,電機停止。

圖1:H型橋式PWM脈寬調製驅動電路
由於電機平均功率滿足如下關係:
其中, P為電機兩端的平均功率; Pmax為電機全速運轉時的功率; A為脈寬。可見,電機的平均功率與脈寬成正比。
設電機轉動後的平均功率為: P=fv,則 APmax=Af=fv。式中 v=Avmax,其中, f為拉力, vmax為電機全速運轉時的速度。可見電機的轉速與脈寬成正比。單片機發出的脈衝信號的占空比決定PWM放大器輸出的電壓平均值的大小。
電路部分參數的計算(以左支路為例進行分析):
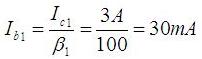
H橋路設計的關鍵是要讓四個功率管始終工作在飽和或者截止狀態下,因此在電路設計時,在功率管(如Q7)前加一級三極管(如Q2)驅動,使得當Q7工作時能處在飽和狀態,不工作時則處於截止狀態。當功率管Q7工作在深度飽和狀態(Ic1=3A電流時),查得B772與D882的電流放大倍數β1≈100 ,此時其基極電流:

因此驅動三極管Q2隻需要提供30mA的電流,由於Q2的放大倍數 β2≈100 ,Q2的基極電流:
由於光電耦合器導通時,接收管的導通電流有50mA 0.3mA,足以使Q2深度飽和。而當Q2不工作時,其Iceo很小,足以使Q7截止。在重負載導通時,功率管7c-e間的電壓隻有0.2V,即三極管處於深度飽和狀態,故該電路的實際效率很高。同理,右支路的參數分析以及工作狀態與左支路相同。
特別推薦
- 噪聲中提取真值!瑞盟科技推出MSA2240電流檢測芯片賦能多元高端測量場景
- 10MHz高頻運行!氮矽科技發布集成驅動GaN芯片,助力電源能效再攀新高
- 失真度僅0.002%!力芯微推出超低內阻、超低失真4PST模擬開關
- 一“芯”雙電!聖邦微電子發布雙輸出電源芯片,簡化AFE與音頻設計
- 一機適配萬端:金升陽推出1200W可編程電源,賦能高端裝備製造
技術文章更多>>
- 築基AI4S:摩爾線程全功能GPU加速中國生命科學自主生態
- 一秒檢測,成本降至萬分之一,光引科技把幾十萬的台式光譜儀“搬”到了手腕上
- AI服務器電源機櫃Power Rack HVDC MW級測試方案
- 突破工藝邊界,奎芯科技LPDDR5X IP矽驗證通過,速率達9600Mbps
- 通過直接、準確、自動測量超低範圍的氯殘留來推動反滲透膜保護
技術白皮書下載更多>>
- 車規與基於V2X的車輛協同主動避撞技術展望
- 數字隔離助力新能源汽車安全隔離的新挑戰
- 汽車模塊拋負載的解決方案
- 車用連接器的安全創新應用
- Melexis Actuators Business Unit
- Position / Current Sensors - Triaxis Hall
熱門搜索
微波功率管
微波開關
微波連接器
微波器件
微波三極管
微波振蕩器
微電機
微調電容
微動開關
微蜂窩
位置傳感器
溫度保險絲
溫度傳感器
溫控開關
溫控可控矽
聞泰
穩壓電源
穩壓二極管
穩壓管
無焊端子
無線充電
無線監控
無源濾波器
五金工具
物聯網
顯示模塊
顯微鏡結構
線圈
線繞電位器
線繞電阻




